Showing 120 of 120on this page. Filters & sort apply to loaded results; URL updates for sharing.120 of 120 on this page
Schematic diagram of the human body movement capacitance model. (a ...
Measuring Human Body Capacitance (or any Capacitance) | ElectroBoom
Sensing method of the capacitance system. The human body is a conductor ...
Noise Immunity-Enhanced Capacitance Readout Circuit for Human ...
Body Capacitance - Human Body Electricity
Figure 1 from Human Body Influence On A Parallel Plate Capacitance ...
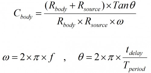
Figure 3 from Why the human body capacitance is so large | Semantic Scholar
(PDF) Human Body Influence On A Parallel Plate Capacitance
capacitor - Human body capacitance - Electrical Engineering Stack Exchange
Capacitance Sensors for Human Interfaces to Electronic Equipment ...
Implemented set-up for measuring the human body capacitance through DC ...
(a) Measured capacitance w.r.t. various distances a human finger was ...
Electronics: Human body capacitance - YouTube
Implemented set-up for measuring the human body capacitance by AC ...
F191 - Human Body Capacitance | PDF | Capacitance | Electrostatic Discharge
Measuring Human Body Capacitance (or any capacitance) - YouTube
Human Body Capacitance Measurement - Body Measurement Info
Capacitance distribution of the human posture. (a) Subject in supine ...
[Solved] Find the level of human body capacitance | SolutionInn
Capacitive Sensor - sense the electrical capacitance of the human body
Physics of human body capacitance and skin conductivity — Visual ...
Figure 1 from Toward Understanding the Return Path Capacitance in ...
(a) shows a simplified model of the capacitance between the sensor ...
Static charge calculation - For capacitance of person and Charge Built ...
(PDF) The Contribution of Human Body Capacitance/Body-Area Electric ...
Basic structure of a body capacitance sensing method, including a ...
The Contribution of Human Body Capacitance/Body-Area Electric Field To ...
Comparison of the Capacitance of a Cyclically Fatigued Stretch Sensor ...
Human Motion State Recognition Based on Flexible, Wearable Capacitive ...
Respiratory Motion Sensor Measuring Capacitance Constructed across Skin ...
A Non-Contact and Real-Time Measurement Technique of Human Body ...
Energy Savings in Buildings Based on Image Depth Sensors for Human ...
Human Toxicity Potential → Area → Sustainability
How a packed church turned into a human tomb in seconds
Enriching the medical profession with a human touch – The Irish Times
The National Human Rights Commission commenced a two day capacity ...
AI era pushes shift from efficiency metrics to human value
Boosting human skills to succeed in an AI world | Luxatia International
Science and ethics converge to define the human future - Exaudi
Mechanical load inhibits cancer growth in mouse and human hearts | Science
Enterprises embrace AI 'guided autonomy' but keep human oversight
Animal-linked influenza D multiplies efficiently in human respiratory ...
Enterprises embrace AI networking but keep human oversight
AI-powered networking gains traction but human oversight remains key
Andrea Bolaños Vargas and the future of human rights defenders ...
The Union That Makes Us Human — Yoga, Biology and the Path Back to ...
National Human Resource Survey Report 2023/24 Highlights Private Sector ...
The Soul’s Journey: An Islamic Perspective on Human Nature
How Does Humidity Affect the Human Perception of Heat? → Learn
Research suggests that the human population has already exceeded the ...
AI reshapes vocabulary learning but still needs human touch
Which One is More Dangerous? 50Hz or 60Hz in 120/230V & Why?
Human-Body Model and Electrostatic Discharge (ESD) Tests - In ...
PPT - TOUCH ME NOT PowerPoint Presentation, free download - ID:6010661
(PDF) Advances in measurement and analysis of electrostatic discharge ...
ST Rolls Out IMU Geared for Industrial and Robotic Designs - News
Design concept of the proposed capacitance-based sensing system for ...
How Do Capacitive Touch Sensors Work? | Elektor Magazine
When a conductive object (human body) comes near the sensor, a ...
Application of an Improved Correlation Method in Electrostatic Gait ...
Design of a Capacitive Tactile Sensor Array System for Human–Computer ...
Human-like Capacitor Design | Stable Diffusion Online
capacitor aiot process with automated optical inspection and defect ...
3a-Wearable sensors for physiological signal measurement.pdf
Figure 5 from A Comparison-Based Interface Circuit for Detection of ...
A Review of Recent Advances in Human-Motion Energy Harvesting ...
Dealing with Passive-Aggression: Strategies for Handling a Passive ...
Abu Dhabi to Dubai Travel Time to Drop to 50 Minutes Under UAE ...
Vast Tropical Regions Show Massive Potential for Natural Forest ...
Digital Life is Fragile (Cyber Life is Fragile) – AI and new ...
The evolution of the services industry is transitioning from "Human-Led ...
The Agency Transfer: What Happens When Machines Make Decisions Humans ...
How Songbird Brains Generate New Neurons: Insights That Could Transform ...
chinese wisdom sayings: Chinese proverb of the day: 'Beware lest your ...
Where Does Most Human-Generated CO2 Come From? → Learn
News Explorer — Competition for Energy Resources Intensifies as AI ...
The Death of B2B: Why "Human-to-Human" is the Only Surviving Framework ...
Human-in-the-Loop Recruitment: Why AI... | Treegarden Blog
#capacitybuilding #resiliencebuilding #behaviourchange # ...
Studies urge human-AI balance to safeguard academic integrity
EPA Issues New Guidance Streamlining Clean Air Act Operating Permit ...
Is AI smarter than humans? It’s complicated
Rocket Bungee-human catapult in Sicily (PA) from 190€ | Yumping
Cuban priest Alberto Reyes: "Marxist doctrine can only lead to a failed ...
AI work capacity doubling every 90 days as major releases loom
Spacious trunk capacity of the Peugeot 3008
Greenlandic proverb of the day: 'When you've come so far that you can't ...