Showing 117 of 117on this page. Filters & sort apply to loaded results; URL updates for sharing.117 of 117 on this page
Compas Polare 4'' horizontal RIVIERA - Compas de route pour bateau ...
C# Helper: Draw a horizontal compass in C#
Solved Horizontal Compass with Vertical WireA horizontal | Chegg.com
HUD UI Animated Element Linear Compas 4K - Etsy
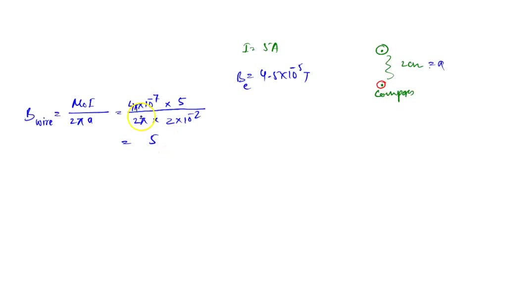
Solved Compass A horizontal compass is placed 0.300 cm due | Chegg.com
Solved Problem 3 A ? Compass A horizontal compass is placed | Chegg.com
Solved Problem 6 N WA >E Compass A horizontal compass is | Chegg.com
Solved I N ܝܛܶ E S Compass a A horizontal compass is placed | Chegg.com
Answered: A horizontal compass is placed 0.9cmdue South from a straight ...
Solved A horizontal compass is placed 1.600 cm due South | Chegg.com
Solved A horizontal compass is placed 1.3 1.3cm due South | Chegg.com
SOLVED: (II) A horizontal compass is placed 18 cm due south from a ...
Solved A horizontal compass is placed 2.000 cm due South | Chegg.com
Solved A horizontal compass is placed 1.300 cm due South | Chegg.com
problem 8 a horizontal compass is placed 24 cm due south from a ...
Solved A horizontal compass is placed 2.5cm due South from | Chegg.com
Solved Compass A horizontal compass is placed 1.800 cm due | Chegg.com
Solved A horizontal compass is placed 0.600 cm due South | Chegg.com
Solved A horizontal compass is placed 20 cm due south from a | Chegg.com
Solved A horizontal compass is placed 11 cm due south from a | Chegg.com
Solved (II) A horizontal compass is placed 18 cm due south | Chegg.com
Horizontal compass outputs from different vehicles during 360 degree ...
(II) A horizontal compass is placed 18 cm due south from a straight ...
Solved Plz help! A horizontal compass is placed | Chegg.com
Solved A horizontal compass is placed 18cm due south from a | Chegg.com
Solved A horizontal compass is placed 18 cm due south from a | Chegg.com
Solved A horizontal compass is placed 15 cm due south from | Chegg.com
Solved Problem 6 >E Compass A horizontal compass is placed | Chegg.com
(28-8) A horizontal compass is placed 18cm due south from a straight ...
Solved A horizontal compass is placed 18 cm due south from | Chegg.com
3. Measuring Horizontal Angles
SOLVED:(II) A horizontal compass is placed 18 cm due south from a ...
Special compass where not only the horizontal component but also the ...
Solved 5. There is a horizontal compass and a horizontal | Chegg.com
Horizontal Compass Stock Photo 262478312 | Shutterstock
Plastimo Offshore 75 Flushmount Horizontal Compass White 63858 j160224
Horizontal Compass Stock Photo 262478321 | Shutterstock
Compass Horizontal Direction at Allison Britt blog
Solved A horizontal compass is placed 17 cm due south from a | Chegg.com
Solved I N : →E S Compass A horizontal compass is placed | Chegg.com
Plastimo Offshore 75 Flushmount Horizontal Compass Black 63857 j160224
Solved Needle on a CompassPoints:10A horizontal compass is | Chegg.com
Solved Let the four horizontal compass directions north, | Chegg.com
Triangle Set 45 Degrees Horizontal Compass: เวกเตอร์สต็อก (ปลอดค่า ...
Solved A horizontal compass is placed 14 cm due south from a | Chegg.com
Answered: A horizontal compass is placed 19 cm due south from a ...
Is a horizontal compass possible? : r/css
Basic horizontal compass with waypoints to hopefully help anyone get ...
Solved A horizontal compass is placed 16 cm due south from a | Chegg.com
Solved 1 E S Compass A horizontal compass is placed 0.800 cm | Chegg.com
Compass tilt referenced to horizontal plane | Download Scientific Diagram
Compas de route pour bateau - IOTA/1 - Cassens & Plath GmbH ...
Compas de route pour bateau - C15/150-0064 - Autonautic Instrumental ...
Answered: A horizontal compass is placed 16 cm due south from a ...
Sailing yacht compass. Horizontal close up shot Stock Photo - Alamy
Horizontal compass sundial for latitude 42 degrees | Science Museum ...
Boat Compass Horizontal at Gwendolyn Samuels blog
Horizontal compass sundial, for about 59° latitude, in lidded case ...
Plastimo Offshore 75 Horizontal Surface Compass Silver | Waveinn
Solved A horizontal compass is placed 12 cm due south from a | Chegg.com
Solved A horizontal compass is placed 19cm due south from a | Chegg.com
Compas de route pour bateau - DELTA/1 - Cassens & Plath GmbH ...
Solved Part A A horizontal compass is placed 17 cm due south | Chegg.com
Solved south of east A horizontal compass is placed 14 cm | Chegg.com
Compas de relèvement pour bateau - TYPE/11 - Cassens & Plath GmbH ...
Solved Constants Correct A horizontal compass is placed 16 | Chegg.com
Horizontal dial compass hi-res stock photography and images - Alamy
Compas Olympic 115, horizontal, noir, rose noire conique
Solved Part A A horizontal compass is placed 11 cm due south | Chegg.com
Horizontal Compass Demo
Compas Olympic 115, horizontal, noir, - 60997 PLASTIMO
Compas Geometry
Magnetic Field Direction Measurement and Compasses Murchhana Roy
SOLVED: Problem 6 n W
Compass math tool Banque de photographies et d’images à haute ...
Compass Directions - BBC Bitesize
Navigation - Magnetic, Directional, Orientation | Britannica
Solved 18.P.73 A compass originally points north; at this | Chegg.com
Solved The declination in Columbus (Ohio) is about -7°, | Chegg.com
Directional Compass Stock Photo - Download Image Now - Direction ...
High-precision-horizontal-bubble-compass-with-complete-specifications ...
Solved A small compass is held horizontally, the center of | Chegg.com
MAPS: DIRECTION, SCALE, LATITUDE AND LONGITUDE
Surveyor compass hi-res stock photography and images - Alamy
A Beginner's Guide to Compasses - The Modest Man
juego de compases de dibujo para dibujo, herramienta de medición ...
SOLVED: "N 4
Geographical Compass Directions Horizon: стоковая векторная графика ...
Professional Compass Stock Photo - Download Image Now - Direction, East ...
Trigonometry and Angles
A beginners guide to the compass | OS GetOutside
Constructions Introduction. Drawing shapes with compasses and ...
Deluxe Compass Bar #Compass#Deluxe#Bar#Systems | Compass, Unity, Unity ...
Hand Holding Compass For Finding Direction Stock Photo - Download Image ...
Using A Compass In Geometry
Compass Directions Explained at Jamie Spencer blog
Compass Stock Photo - Download Image Now - Horizontal, Manufactured ...
At a certain location in Africa, compass points `12^@` west of ...
How to use the Compass on iPhone | iMore
Vintage marine wind rose, nautical chart. Monochrome navigational ...
Exploring Prismatic Compass Surveying: Methods, Components, and ...