Showing 120 of 120on this page. Filters & sort apply to loaded results; URL updates for sharing.120 of 120 on this page
Fundamental Homomorphism Theorem | Mathematics education, Math geometry ...
Basics of Homomorphism | Sumant's 1 page of Math
FUNDAMENTAL THEOREM ON VECTOR SPACE HOMOMORPHISM BSc II math major ...
Homomorphism | theory and example | abstract algebra | MATH with Akash ...
group theory - Visualize Fundamental Homomorphism Theorem for $\phi: A ...
Structure Homomorphism -- from Wolfram MathWorld
Connecting Homomorphism -- from Wolfram MathWorld
Group homomorphism | PPTX
PPT - Graph Homomorphism Revisited for Graph Matching PowerPoint ...
Homomorphism and Theorems - HOMOMORPHISM AND THEOREMS Homomorphism ...
Graph Homomorphism - GeeksforGeeks
abstract algebra - How to Count Homomorphism from any finite group G to ...
No of Homomorphisms/Group Homomorphism #easymaths #mathematics #math # ...
Homomorphism - lecture 47/ discrete mathematics - YouTube
Group Homomorphism | PDF | Group (Mathematics) | Ring (Mathematics)
abstract algebra - how to prove homomorphism - Mathematics Stack Exchange
Fundamental theorem of homomorphism || MATHEMATICS ANALYSIS - YouTube
group theory - Homomorphism understanding - Mathematics Stack Exchange
Solved HOMOMORPHISMS Most sets in math have additional | Chegg.com
PPT - Math 3121 Abstract Algebra I PowerPoint Presentation, free ...
Homomorphism Properties and Examples in Group Theory (MATH 202) - Studocu
Kenal of a Homomorphism - BSC Mathematics - Studocu
PPT - 6.5 The fundamental theorem of homomorphism for groups PowerPoint ...
4. Module Homomorphism | THEORY OF RINGS & MODULES (313705) | Masters ...
Group Homomorphisms: Homework & Solutions - Math 412
PPT - Homomorphism Mapping in Metabolic Pathways PowerPoint ...
Fundamental Homomorphism theorem - BSC Mathematics - Studocu
Notes on Ring Homomorphisms - Linear Algebra | MATH 214 - Docsity
PPT - Introduction to the min cost homomorphism problem for undirected ...
Understanding Homomorphism Vs Isomorphism (A Clear Guide) - All The ...
The mathematics of homomorphism
PPT - Software as Math PowerPoint Presentation, free download - ID:1040536
Lect20 Ring Homomorphism | PDF | Ring (Mathematics) | Field (Mathematics)
abstract algebra - How to verify this property of homomorphism ...
A homomorphism between two algebras A and B | Download Scientific Diagram
Homomorphism | Group Theory (Abstract Algebra) | What is a group ...
Group Homomorphism and its Application | CSIR NET Mathematics | IIT JAM ...
Fundamental Homomorphism Theorem
Schematics of a group homomorphism f : G → H. To be a homomorphism the ...
Solved Show that the map (:)-a is a homomorphism from the | Chegg.com
(PDF) ON HOMOMORPHISM GRAPHS
A schematic illustration of the graph homomorphism G ! G H. (a) G and ...
Lecture Notes on Homomorphisms and Factor Groups | MATH 5310 | Study ...
Homomorphism | PDF | Integer | Group (Mathematics)
Number of group homomorphism from zm to zn IIT Jam 2016 Mathematics ...
Homomorphism AND Isomorphism - BSC Mathematics - Studocu
abstract algebra - Is the left translation $T_a(x) =ax $ a homomorphism ...
Isomorphism Vs Homomorphism - lecture 79/ discrete mathematics - YouTube
Solved How many onto homomorphism f:Z7→Z15. are | Chegg.com
algebraic topology - Induced homomorphism in homology between Moore ...
Group homomorphism | PPT
Fundamental Homomorphism Theorem | PDF | Group (Mathematics ...
PPT - 2. Basic Group Theory PowerPoint Presentation, free download - ID ...
Visualising Homomorphisms
PPT - States PowerPoint Presentation, free download - ID:5602428
Homomorphisms | PPT
Groups-and-Types-of-Groups-in-Abstract-and-Linear-Algebra.pptx
Intro to Group Homomorphisms | Abstract Algebra - YouTube
Section 13 Homomorphisms Definition A map of a group G into a group G ...
Unit-IV : Algebraic Structures Algebraic systems Semi groups Monoids ...
Solved 2. Which of the following maps are homomorphisms? If | Chegg.com
PPT - Algebraic Structures and Properties in Mathematics PowerPoint ...
Solved b) Define a map α:R→Z[a0bc]longmapstoaShow that a | Chegg.com
L-49,Homomorphism,kernel of homomorphism(MCA 1st sem Discrete ...
04.8 Homomorphisms and Isomorphisms | PDF | Group (Mathematics ...
abstract algebra - Elementary question about well-definedness of ...
"Homomorphisms and Isomorphisms"
PPT - The Fundamental Group PowerPoint Presentation, free download - ID ...
Solved 2. Describe all homomorphisms between the groups: (a) | Chegg.com
PPT - Section 13 Homomorphisms PowerPoint Presentation, free download ...
MAT-314 Relations and Functions | PPT
Quiz & Worksheet - Group Homomorphisms | Study.com
Solved Problem 1 With proof, describe all homomorphisms (a) | Chegg.com
Solved (1 point) Determine the number of group homomorphisms | Chegg.com
3.Ring Homomorphisms | PDF | Ring (Mathematics) | Functions And Mappings
Lie Group and Lie Algebra Homomorphisms - Mathematics Stack Exchange
[Solved] Which of the following maps are homomorphisms? If the map is a ...
7.1: Homomorphisms - Mathematics LibreTexts
Solved Homomorphism: a map between groups o: (G,.) → (G', *) | Chegg.com
Understanding Group Homomorphisms: Key Concepts and Examples | Course Hero
Free Video: Abstract Algebra - Ring Homomorphisms from Michael Penn ...
PPT - Foundations of Mathematics: Sets, Relations, Functions ...
Group Theory - Discrete Mathematics.pptx
logic - Proof of unique homomorphim between two structures ...
Solved 1. Let ϕ:G→G′ be a group homomorphism. Show that (a) | Chegg.com
Lecture 4.1: Homomorphisms and Isomorphisms: Matthew Macauley ...
Solved Problems 1. [2 pts] (a) Find all group homomorphisms | Chegg.com
1. Determine all possible homomorphisms for each of | Chegg.com
SOLUTION: Group Homomorphisms Compositosition of Mapping Mathematical ...
Homomorphisms of Groups | PDF | Group (Mathematics) | Space
Graphs and Homomorphisms (Oxford Lecture Series in Mathematics and Its ...
Mathematics- Normal Subgroups, Homomorphisms, Permutation Groups ...
abstract algebra - A small doubt on the connection between ...
4.3: Homomorphisms - Mathematics LibreTexts
Solved Which of the following maps are group homomorphisms? | Chegg.com
Homomorphisms of Groups 3 | PDF | Group (Mathematics) | Mathematical ...
modules - The form of the tensor product of homomorphisms - Mathematics ...
Algebra(02)_160229_01 | PPT
Homomorphisms (Abstract Algebra) - YouTube
abstract algebra - Consider the following diagram of homomorphisms ...
Fundamental Theorem of Group Homomorphisms | Math, Algebra, Group ...
15.4: Normal Subgroups and Group Homomorphisms - Mathematics LibreTexts
086-092 Homomorphisms of Groups | PDF | Group (Mathematics) | Group Theory
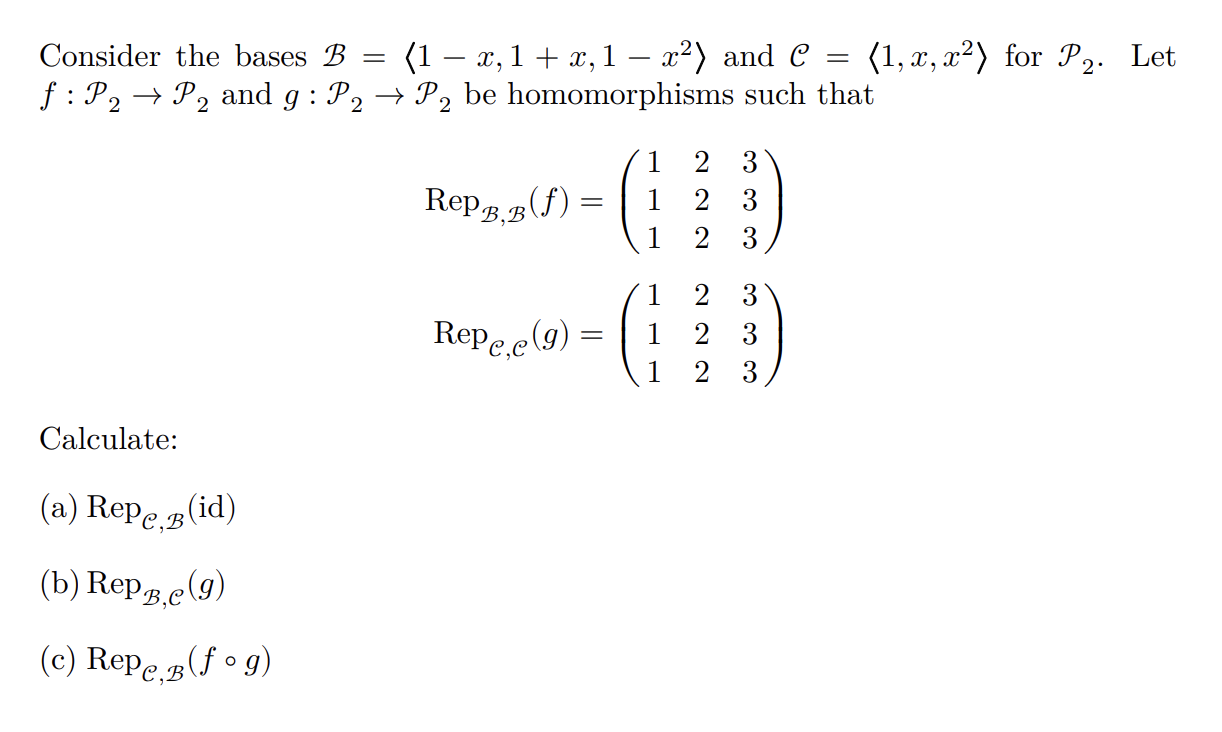
Solved Calculte the representation of the homomorphisms with | Chegg.com