Showing 120 of 120on this page. Filters & sort apply to loaded results; URL updates for sharing.120 of 120 on this page
The Heaviside function
Heaviside Function Introduction (Part 1) - YouTube
Heaviside step function replacement | Download Scientific Diagram
heaviside unit step function 1 a 6 v source is switched on at time t4 ...
Regularized Heaviside function and its derivatives. (a) Heaviside ...
Solved The following step function is known as the Heaviside | Chegg.com
Function in terms of Heaviside Unit Step Functions - YouTube
Heaviside Function (Unit Step Function) - Part 1 - YouTube
Heaviside Function (Unit Step Function) - Statistics How To
Unit Step Functions / Heaviside function | L-35 | Easy Explanation ...
Definition of Heaviside Unit Step Function - YouTube
Heaviside step function in Laplace transfrom.pptx
Solved (2) Consider the Heaviside function H, defined by | Chegg.com
The Heaviside Function or Step Function | PDF | Laplace Transform ...
Solved 3. The Heaviside step function is defined as | Chegg.com
Heaviside Step Function -- from Wolfram MathWorld
Solved (a) The Heaviside step function is defined as | Chegg.com
Solved 2. Intro to the Heaviside Function Heaviside formula: | Chegg.com
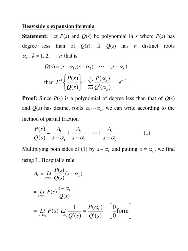
Heaviside Expansion Formula Explained | PDF | Algebra | Functions And ...
6. The Heaviside step function is piecewise-defined as H(x)...
(Color online) Heaviside step function and modified step function ...
Comparison between the Heaviside step function and its approximated ...
Solved Problem 4) Heaviside step function [10 points] The | Chegg.com
Solved: Find a formula for the function graphed Use u for the Heaviside ...
Heaviside step function - Wikiwand
Solved: Consider a graph of the function f(t) : Using the Heaviside ...
C2Sec3 - these are function notes - 2 Defining the Heaviside function ...
Solved The Maple Heaviside function is the unit step | Chegg.com
HEAVISIDE STEP FUNCTION EXPLAIN WITH EXAMPLE - YouTube
Behind the Guesses: Derivative and Integral of the Heaviside Step Function
Heaviside function and exponential function. | Download Scientific Diagram
Heaviside Step Functions Explained by Student - YouTube
Step Function or Heaviside Function - Signals and Systems - YouTube
Solved The Heaviside function H(x)={0,1,x
The schematics of Regularized Heaviside step function and its gradient ...
Regularized Heaviside function with different q | Download Scientific ...
Solved 40. The Heaviside function The Heaviside function is | Chegg.com
Visualisation of the Heaviside step function H(x) (in Orange line) and ...
Derivative of order 0.2 of the Heaviside unit-step function H (t ...
Solved The Heaviside step function is widely used in physics | Chegg.com
Derivative and integral of the heaviside step function the
Heaviside step function - encyclopedia article - Citizendium
(PDF) A NOTE ON THE HEAVISIDE STEP FUNCTION
Solved 6. Recall that the Heaviside function is the function | Chegg.com
Solved Write the function in terms of Heaviside functions. C | Chegg.com
Solved Using the Heaviside function u(t) write down a | Chegg.com
Solved 2. Convert the following function to a Heaviside | Chegg.com
Solved - Convert the following function to a Heaviside | Chegg.com
Approximated and smoothed Heaviside function with different values of ...
Solved 1. Use the Heaviside function to redefine the | Chegg.com
The Heaviside Function (A Function and Limit of Engineering Calculus ...
Step Function Notation What Is The Value Of The Unit Step Function At
Heaviside's function | PPTX
Heaviside step function. | Download Scientific Diagram
What is Heaviside Unit Step Function? - YouTube
Laplace Transforms 9: Introduction to the Heaviside (unit step ...
Unit Step Function (Heaviside Step Function) - YouTube
Solved In terms of unit step function (Heaviside function, | Chegg.com
Heaviside Step Function: Definition, Properties, and Applications
Unit Step Function (Heaviside Function) - YouTube
Heaviside MATLAB | Learn Heaviside MATLAB to Calculate the Unit Step
Problem 4 The Heaviside step function, or the unit | Chegg.com
Heaviside Unit Step Function: Introduction and Applications - Studocu
Answered: Consider a graph of the function f(t): 12 12 Using the ...
Heaviside's step function is defined by 0, I x'. A | Chegg.com
Unit-Step (Heaviside) Function and its Laplace Transform - YouTube
Solved Heaviside formula: L[ua(t)f(t−a)]=e−asF(s) Given | Chegg.com
Solved The Heaviside functionH(x)={0,x
Explain Heaviside expansion formula using Heaviside's expansion formula t..
Solved (2) The Heaviside step function, the derivative of | Chegg.com
Paul Dirac’s Delta Function | Galileo Unbound
Solved Problem 1 as follows (Custom Heaviside function) The | Chegg.com
Heaviside - Laplace Transform (Brown University, Applied Mathematics)
Solved 6. Piecewise to Heaviside practice Heaviside formula: | Chegg.com
Piecewise functions in terms of Heaviside functions - YouTube
Function - 99+ Examples, Format, How to Identify, PDF
Solved Write a formula for f(t) as a sum of Heaviside | Chegg.com
Solved Heaviside Functions & Simulation Write the Heaviside | Chegg.com
Solved 4. (20 pts) Heaviside functions The following step | Chegg.com
Introduction to Heaviside step function.pptx
Solved 3. Evaluate in terms of Heaviside functions. You may | Chegg.com
⏩SOLVED:Unit step functions or Heaviside functions are commonly used ...
Week 5 and 6: Laplace Transform — Applied Math 2
Fourier Convergence Theorem
Laplace Transform Of Heaviside’s Unit Step Function.pptx
Lecture 8 slides - Heaviside's theory - Circuit switching (ON/OFF ...
SOLVED: point) The graph of f(t) is given in the figure. Represent f(t ...
Solved Problem 1. (Heaviside rhs −4 N only) Consider the | Chegg.com
From Perceptron to Deep Learning | https://databeauty.com
PPT - MA5238 Fourier Analysis PowerPoint Presentation, free download ...
Scipy Discontinuous Functions
Solved (8 points) The graph of f(t) is aiven helnw.a. | Chegg.com
Math Tutor - Functions - Theory - Elementary Functions
Regularized Heaviside(H ) and Heaviside(H) Functions | Download ...