Showing 120 of 120on this page. Filters & sort apply to loaded results; URL updates for sharing.120 of 120 on this page
Criteria for resolution of DKA and HHS
2025 - 3 - 17 - HHS OCR Amended Voluntary Resolution Agreement (DO-25 ...
Fillable Online HHS OCR Voluntary Resolution Agreement with UConn ...
HHS Announces Ransomware Resolution Agreement | Jones Day
HIPAA lessons learned: A review of HHS resolution agreements
HHS PPDR Selected Dispute Resolution Entities / hhs-ppdr-selected ...
HHS Revises 340B Administrative Dispute Resolution Final Rule
Democrats introduce resolution demanding transparency in HHS ...
HHS lays out surprise billing resolution process in new rule - Modern ...
HHS lays out surprise billing resolution process in new rule - Nutile Law
HHS finalizes rule to set up dispute resolution process for 340B ...
Fillable Online hhs Resolution Agreement and Corrective Action Plan ...
HHS signs off on 340B dispute resolution rule - Modern Healthcare
HHS finalizes 340B Administrative Dispute Resolution process | TechTarget
HHS Finalizes 340B Dispute Resolution Process: CLA (CliftonLarsonAllen)
HHS Chart: Federal or State Independent Dispute Resolution P
TX HHS Form 3648. DAHS Informal Dispute Resolution (IDR) Request ...
HHS Releases New Interim Rule for Dispute Resolution of Surprise ...
HHS - Commemorating Pakistan Resolution Day 23rd March 1940 – A ...
Senator Alsobrooks Files Resolution Declaring No Confidence in HHS ...
TX HHS Form 3073. Eligibility Dispute Resolution Request – Document ...
TX HHS Form 2407. Informal Dispute Resolution (IDR) Request | Forms ...
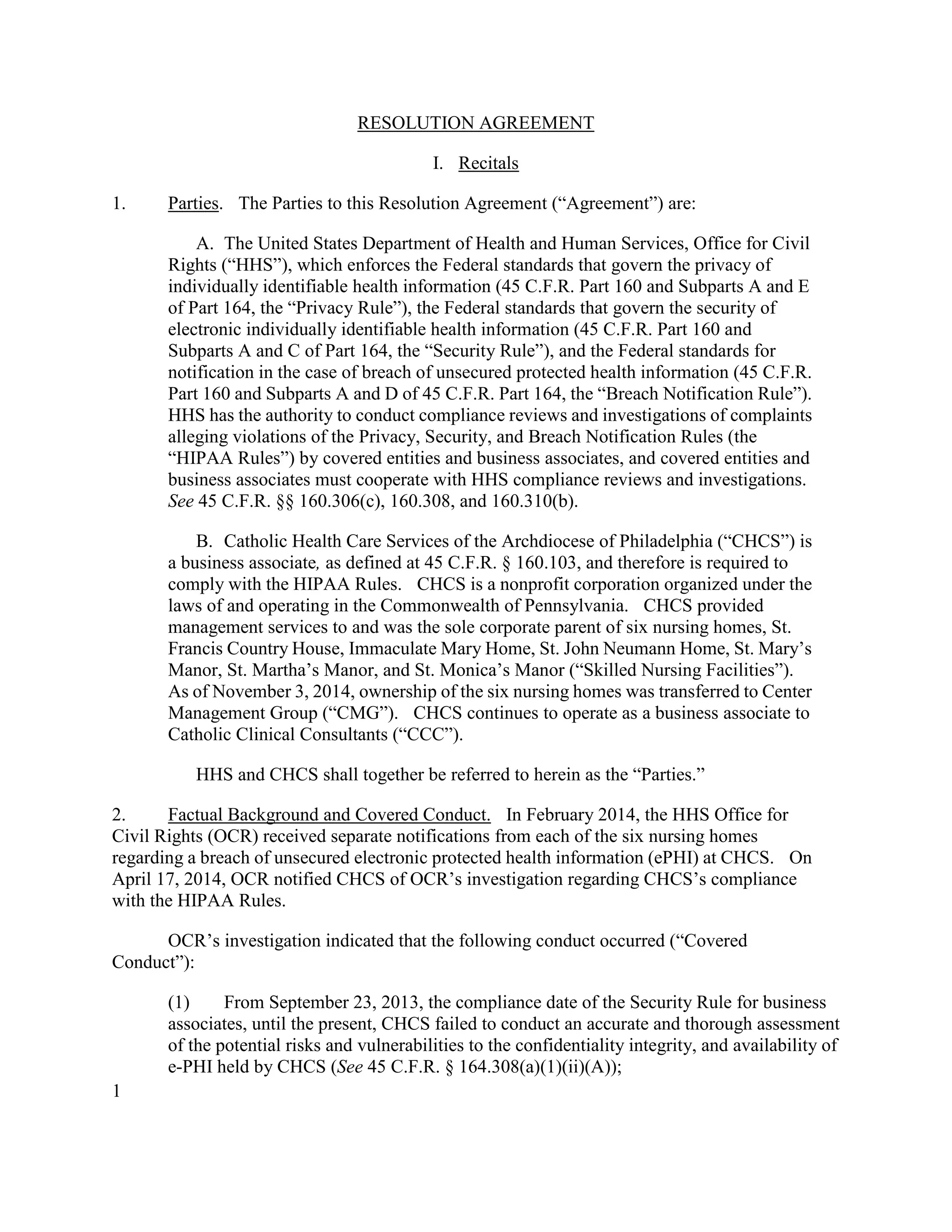
Catholic Health Care Services Resolution Agreement | PDF
Julian André on LinkedIn: HHS Issues 340B Administrative Dispute ...
Hyperglycemic hyperosmolar state hhs | PPTX
Catholic Health Care Services Resolution Agreement and Corrective ...
41+ Free Editable Resolution Agreement Templates in MS Word [DOC ...
HHS Awards $107 Million to Support Health Center Quality Improvement ...
EM Cases: HHS Recognition and ED Management - emDocs
HHS Logo, Seal and Symbol Policies | HHS.gov
Hhs Logo - Department Of Health And Human - Free Transparent PNG ...
Resolution Agreements and Their Compliance Requirements - Aris Medical ...
HIPAA Right of Access Investigation Resolution Agreement and Correction ...
Hhs Logo & Transparent Hhs.PNG Logo Images
New HHS Guidance on Reproductive Patient Information and Privacy
Hhs Authority: Changing Healthcare Laws Explained | LawShun
16 issue resolution template - Free to Edit, Download & Print | CocoDoc
HHS Final Rule Disincentives For Healthcare Providers | ChartRequest
HHS Office for Civil Rights Works with Alabama to Help Young Adult with ...
Sarah Raaii on LinkedIn: HHS Issues 340B Administrative Dispute ...
The HHS Restructuring: What It Means for Healthcare Facilities ...
HHS Finalizes Physician Payment Rule to Enhance Person-Centered Care ...
HHS to Reform Organ Transplant System After Donors Showed ‘Signs of ...
Letter to HHS Leadership on the Importance of Evidence-Based Childhood ...
HHS Releases Proposed Rule to Improve Healthcare Interoperability ...
HHS Score At The Baseline And After Intervention | Download Scientific ...
Democratic attorneys general sue to block HHS changes to ACA health ...
Risk Management: Top Five HIPAA Lessons Learned: A Review of HHS ...
#hhsofficial #hhs #school #happyhomeschool #hhs #learnbydoing… | HHS ...
HIPAA Resolution Agreement for Phishing Cyberattack The U.S. Department ...
Free Health & Safety Committee Resolution Template to Edit Online
Decoding the HHS Reorganization | KFF
Texas HHS Signals Stricter Procurement Standards
Summary of the final HHS rule for reporting and returning of ...
Training & Development – HHS School System
HHS, HRSA Propose Changes to 340B Administrative Dispute Resolution ...
HHS issues notice of proposed rulemaking for new Medicare Quality ...
HHS Announces New CCA Rates - Iowa CCR&R
HHS Overhaul: A Bold Move Towards Health Efficiency | Law-Order
HHS Announces 2024 LEAP in Health IT Awardees with Focus on Data ...
home page – stagging – HHS School System
DOL, IRS, and HHS Release Joint FAQs and Process Guide on Surprise ...
HHS Seeks Public Comments to Advance Equity and Reduce Disparities in ...
HHS Launches Webpage to Empower Patients
Skagit county- HIPAA violation settlement agreement with HHS | PDF
New HHS Rule: What It Means for Web Accessibility in Healthcare | Web ...
Local Health System Integration Resolution | PDF
HHS Proposes Updates To 340B ADR Process
HHS changed the name of transgender health leader on her official ...
Cyber - Looking for a New Year’s resolution that actually sticks ...
Hyperglycemic emergency
340B - NACHC
HHS, HRSA Tell Judge They Don’t Know When They’ll Replace 340B Dispute ...
Human Subject Regulations Decision Charts | HHS.gov
Hyperglycaemic crises in adults with diabetes: a consensus report - PMC
Enforcement Results by Year | HHS.gov
PPT - Ronda L. Cochran, MPH Division of Healthcare Quality Promotion ...
PPT - I am sharing 'ketoacidosis PowerPoint Presentation, free download ...
Pediatric Hyperglycemic Hyperosmolar Syndrome: A Comprehensive Approach ...
HHS-Official/2022-child-and-adult-health-care-quality-measures ...
Major Nursing Home Quality Measurement Sets Agency for Healthcare ...
HHS.gov Brand Guidance | HHS.gov
HHS-logo » The Bridge Run
ACO REACH Financial and Quality Results - Catalog
University of Maryland School of Nursing
Health And Human Services Organizational Chart
File:HHS.jpg - WikEM
House Committee on Appropriations Approves FY 2026 Labor, Health and ...
20 Facts About National Institutes Of Health (NIH) - Facts.net
PPT - Affirming Our Commitment: “A Nation Free of Health and Health ...
HHS, OPM, Treasury, and DOL Proposed Rule: Federal Independent Dispute ...
Department Of Health And Human Services Logo Vector
HHS/Labor/Treasury reopened the No Surprises Act independent dispute ...
Hyperosmolar Hyperglycemic State - Emergency Medicine Clinics
Dan Atkinson on LinkedIn: MVHC received the Gold Health Center Quality ...
Healthcare Providers Should Note That HHS’ Proposed Rule to Reduce ...
Diagnostic criteria for DKA and HHS. Nursing Assessment, Diabetic ...
A look at changes at US health agencies in the 1st week of the new ...
What is the Department of Health and Human Services (HHS)?
Who Regulates Healthcare? Regulatory Agencies WebQuest (CDC, WHO, NIH, HHS)
Health And Human Services Building
Patient Safety and Quality Improvement (US Department of Health and ...
Department Of Health And Human Services
Protocol for management of adult patients with DKA or HHS. DKA ...
How To Streamline Healthcare Regulatory Compliance?
The real reason Congress leaves Washington every August - Roll Call
U.S. Health and Human Services Secretary Xavier Becerra in Albany to ...