Showing 120 of 120on this page. Filters & sort apply to loaded results; URL updates for sharing.120 of 120 on this page
Honey Bee Optimization HBO Algorithm - YouTube
Class diagram of the implementation of the HBOS algorithm | Download ...
Flowchart of the HBO algorithm for tuning the hyperparameters of LSTM ...
HBO launches ‘Recommended by Humans’ tool to help you escape algorithm ...
Flowchart of the proposed optimal NR algorithm by HBO. | Download ...
Jall analysis of MoHBO algorithm | Download Scientific Diagram
Management algorithm for necrotizing fasciitis in breasts. HBO ¼ ...
HBO Max Finally Lets You Tell The Algorithm What You Actually Think ...
HBO Max goes live today, axes algorithm for sections curated by humans
Evaluation of multispectral unmixing algorithm for HbO2 and HbR | SPIE ...
Block diagram of the proposed algorithm main steps. | Download ...
Algorithm (S) (2021) - FilmAffinity
Algorithm for modeling hemodynamic response | Download Scientific Diagram
The Honey Bee Optimization (HBO) algorithm [60], | Chegg.com
A Novel Center of Mass Optimization (CMO) Algorithm for Truss Design ...
The History of Google Algorithm Updates: How Search Has Evolved
The HBBO/Complex algorithm feasibility and cost of each objective for ...
How YouTube's Algorithm Could Prioritize Conspiracy Theories (HBO ...
What is an Algorithm | Introduction to Algorithms - GeeksforGeeks
Monthly optimum storage resulting from HS algorithm, HBMO algorithm and ...
GitHub - swarm-intelligence/HBO-Algorithm: Particle Swarm Optimization ...
Fast Anomaly Detection With Python | Towards Data Science
Fitness value for HBO and GA algorithms for the first test case ...
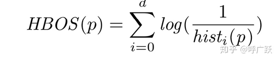
Histogram-based Outlier Score (HBOS): A fast Unsupervised Anomaly ...
The framework of the proposed B_HBO for feature selection based on KNN ...
异常检测算法之(HBOS)-Histogram-based Outlier Score - 知乎
Flowchart of HBO-algorithm for tuning hyperparameters of LSTM Networks ...
HBO Reveals Brand New Recommendation Algorithm—Human Beings! - The Credits
Changes in HbO with Stimulus presentation for an individual participant ...
Algorithms for Hyperparameter Tuning of LSTMs for Time Series Forecasting
(PDF) Combined Size and Shape Optimization of Truss Structures Using ...
HBO Max is taking on Netflix with human curation instead of solely ...
Potential mechanisms of HBO therapy. Note: Many of the pathways work ...
How to Search in a Document Easily
A rate model of the HBO’s visually entrained dynamics leading to ...
The mechanisms by which hyperbaric oxygen therapy (HBO) affects ...
High-density HbO & Hb Measurements in the Flat structure used to train ...
HBO Max: Coming in July 2025 - Solzy at the Movies
| Examples of filtered HbO C 2 and HbR C signals with Amplitude 1 for ...
Here’s a first look at HBO Max’s interface - The Verge
The significance of HbO concentration in different conditions (i.e ...
| Comparisons of HbO values in each ROI by three different speeds of ...
Demonstration of HBO treatment protocol in different groups. | Download ...
Legacy of HBO Max & its powerful, scalable technical stack
Average MSE of HbO 2 and HHb in the steady state with iteration number ...
Example of the decomposition of the HbO signal of the near channel, The ...
Volumetric HbO and HbR images at 12 seconds post-stimulus-onset in ...
Frontiers | Reduction of Onset Delay in Functional Near-Infrared ...
Average HbO activation across all subjects for motor execution (a) and ...
BB Media - The Evolution of HBO. From premium cable to streaming giant
Image gallery for Algorithms - FilmAffinity
Clinical trial schema incorporating hyperbaric oxygen (HBO) into ...
The filtered HbO signals of channel 1 for subject 1 using all six ...
Comparison of the characteristics of the existing algorithms with our ...
HBO Treatment Tables
HBOS异常检测算法_hbos算法-CSDN博客
HBOS算法详解:一种基于直方图的异常检测方法-CSDN博客
Chronic Refractory Osteomyelitis
Grand averages of HbO and HbR concentrations for visual and auditory ...
Channels with significant change in HbO across condition and time ...
Reconstruction of HbO 2 and Hb using (L-R): Tikhonov for L 2-norm ...
| Mean HbO levels for each stage throughout the night. Vertical axis ...
The effect of HBO, HBA and NBO treatment initiated at different times ...
Chronic Heart Failure – Cardio Guide
View of all the structures of HBO derivatives involved in this work ...
Mean concentration changes of HbO in three different phases for each ...
Definitions of task and baseline HbO data. (a) is HbO curves of 48 ...
IBS increments of HbO signals. (A) Heatmaps of the F values for the ...
| hbO examples for Figure 1a (subject 2). Channels 4, 9, and 10 were ...
The group average HbO images for each model under the condition of left ...
American Association of Clinical Endocrinology Consensus Statement ...
High-density HbO & Hb measurements in the S-by-D structure used to ...
How HBO Max and Discovery+ Use Human Curators (and Algorithms) to ...
Optimal Configuration of a Hybrid Photovoltaic/Wind Turbine/Biomass ...
Here's What to Expect From the Much-Anticipated HBO Max
0-20 sec section of HbO and HbR concentration changes for subject 5 ...
Online prediction accuracy of HBO samples in three run periods. (a ...
HbO (left) and HbR (right) t-maps (IGD group -CTRL group) in response ...
Overview on therapeutic mechanisms of HBO 2 related to elevations of ...
How Streaming Services Use Algorithms — Arts Management and Technology Lab
| Measured and 1.63 s ahead predicted signals (q = 15) of HbO (left ...
Molecular phenotype and differentiation efficiency at key stages of HBO ...
Stars get 'Soprano names' from HBO in honor of the show's 20th ...
Get it together HBO and fix your search algorithm!! In what world would ...
HbO concentration change during controlled breathing in Experiments 1 ...
PPT - Fundamentals of Chronic Wound Care PowerPoint Presentation, free ...
Average HbO and HbR activation for a single optode for each task ...
HbO 2 /Hb responses to game onset and first encounter with an enemy ...
Sky teases 'big things are coming' to your TV with surprise event weeks ...
4 The absolute differences in ∆[HbO 2 ], ∆[Hb], and ∆[Hb total ...
HBOS significance analysis. HBOS with different proportions of outlier ...
Topographical plots of levels of HbO concentration across all ...
Comparison of the averaged HbOs over the activated channels and 10 ...
查询优化器RBO CBO HBO核心原理与优化技术-开发者社区-阿里云
HBO treament features; summarized treatment results | Download ...
Schematic representation of the schedule of HBO treatments and ...
a) Schematic indicating the mechanism of HBO‐facilitated enhancement of ...
Characterization of the differentiation capacity of HBOs into both ...
How HBO Max and Discovery+ Use Human Curators, Not Algorithms, to ...
HbO / Hb response during a single trial (raw data): (a) when the red ...