Showing 71 of 71on this page. Filters & sort apply to loaded results; URL updates for sharing.71 of 71 on this page
#2. Greedy best first search algorithm Solved Example in Artificial ...
Exploring Greedy Best First Search Algorithm in AI | Bangla - YouTube
Solved Write a python program using greedy best first search | Chegg.com
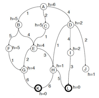
Greedy Best first search algorithm - GeeksforGeeks
AI_Session 7 Greedy Best first search algorithm.pptx
unit 3 chapter 8 greedy best first search - YouTube
Greedy Best First Search dan A* Algorithm - YouTube
AI3391 Session 9 Greedy Best first search algorithm.pptx
SOLVED: a python program to solve 8 puzzle using greedy best first ...
Greedy Best First Search | Quick Explanation with Visualization - YouTube
Greedy Best First Search Algorithm | Informed Search Algorithm ...
Greedy Best First Search - YouTube
Breadth First Search in Python (with Code) | BFS Algorithm | FavTutor
Best First Search in AI: How It Works, Types and Examples
Greedy Best-First Search in AI - GeeksforGeeks
Greedy Best-First Search in Artificial Intelligence - Tpoint Tech
Greedy Algorithm in Python
AI - Lecture 1.4.1 - Informed (Heuristic) Search: Greedy Best First ...
Best First Search (Informed Search) - Scaler Topics
Best First Search algorithm
4-Greedy Best first search algorithm | PDF | Algorithms | Algorithms ...
The Best-First Search Algorithm in Python - YouTube
Greedy Best-First Search Example - YouTube
GBFS (Greedy Best First Search) Algorithm in Artificial Intelligence ...
PPT - Introduction to Heuristic Search Techniques in AI PowerPoint ...
Greedy Best-First Search Explained | Informed Search & Heuristics - YouTube
Understanding the Greedy Best-First Search Algorithm
Greedy Best-First Search Algorithm Explained | PDF | Computer Science ...
PPT - Informed Search Strategies in Artificial Intelligence: Chapter 4 ...
Greedy search algorithm
AI Greedy | Best-First | Algorithm | Simple Python Tutorial - YouTube
PPT - Informed search algorithms PowerPoint Presentation, free download ...
GitHub - ayax537/Greedy-Best-First-Search-GBFS-Maze-Solver: This Python ...
PPT - Informed Search Methods PowerPoint Presentation, free download ...
PPT - Informed search algorithms PowerPoint Presentation - ID:3600342
Informed search algorithms.pptx
Informed search algorithms - ppt download
PPT - Informed Search Algorithms PowerPoint Presentation, free download ...
PPT - Search Strategies PowerPoint Presentation, free download - ID:2471411
PPT - Artificial Intelligence Chapter 4: Informed Search and ...
PPT - Chapter 4: Informed Heuristic Search PowerPoint Presentation ...
PPT - Informed Search I (Beginning of AIMA Chapter 4.1) PowerPoint ...
PPT - Informed Search Strategies Lecture # 8 & 9 PowerPoint ...
PPT - HEURISTIC SEARCH PowerPoint Presentation, free download - ID:2832371
Informed search algorithms - ppt video online download
PPT - Informed Search PowerPoint Presentation, free download - ID:3384584
PPT - Review: Search problem formulation PowerPoint Presentation, free ...
Lecture 4: Informed/Heuristic Search - ppt video online download
PPT - Using problem specific knowledge to aid searching PowerPoint ...
PPT - Artificial Intelligence PowerPoint Presentation, free download ...
PPT - Midterm Review PowerPoint Presentation, free download - ID:829905
PPT - HW #1 Due 15/9/2008 PowerPoint Presentation, free download - ID ...
PPT - CS.462 Artificial Intelligence PowerPoint Presentation, free ...
PPT - CS 4700: Foundations of Artificial Intelligence PowerPoint ...
PPT - A General Introduction to Artificial Intelligence PowerPoint ...
PPT - Pencarian Heuristik PowerPoint Presentation, free download - ID ...
PPT - CS 4100 Artificial Intelligence PowerPoint Presentation, free ...
PPT - Route/Path Planning PowerPoint Presentation, free download - ID ...
PPT - CS 312: Algorithm Analysis PowerPoint Presentation, free download ...
PPT - Princess Nora University Artificial Intelligence PowerPoint ...