Showing 119 of 119on this page. Filters & sort apply to loaded results; URL updates for sharing.119 of 119 on this page
GRAPHOMOTOR FUNCTION by Yael Almani on Prezi
Summer Blog Series Post #7: The Role of Graphomotor Function in ...
Graphomotor skills Worksheets, Preschool, Pre-K, and Kindergarten ...
Developing Graphomotor Skills, Visual Motor Worksheets, Preschool ...
Graphomotor Worksheets - Draw a line – Crate Resources
Graphomotor Skills| Pencil Control| Visual Motor Worksheets| Preschool ...
Developing Graphomotor Skills - exercises that help children | Inspire ...
| Schematic representation of latency in relation to graphomotor ...
Figure 1 from Classification of Graphomotor Impressions Using ...
(PDF) Differences in Graphomotor Skills by the Writing Medium and ...
Differences in Graphomotor Skills by the Writing Medium and Children’s ...
Categorisation of exercises focused on the area of graphomotor skills ...
Graphomotor skills in early childhood education 2 to 5 years old
Analysis of Graphomotor Tests with Machine Learning Algorithms for an ...
Results of the graphomotor task. (a) Example of the three shapes ...
Graphomotor skills by Miss Bee Ideas | TPT
(PDF) Abstracts from Hebrew The Relationship between Graphomotor ...
(PDF) Graphomotor functions in ADHD - Motor or planning deficit? A ...
Standardised distribution of level of graphomotor skills through ...
(PDF) Neuropsychological Parameters of Graphomotor Skills in Typically ...
Examples of Neuro-psychological Graphomotor Tests | Download Scientific ...
Graphic Dictation| Developing Graphomotor Skills|visual Motor ...
Mental function examination | PPT
graphomotor exercises for children | PDF
Predicted median time to complete the Zurich Graphomotor Test trail for ...
Integration of Speed and Quality in Measuring Graphomotor Skills: The ...
Graphomotor Skills - North Shore Pediatric Therapy
From Scribbles to Script: Graphomotor Skills’ Impact on Spelling in ...
Graphomotor Skills Worksheets Android App
Promote Graphomotor Skills | Exercises to Improve Visual and ...
Graphomotor skills - Fun-filled Educational Resources for Kids
Drawing acquisition protocol with the selected graphomotor tasks ...
Graphomotor Worksheets - Draw a shape – Crate Resources
Frontiers | Rhythmic training, literacy, and graphomotor skills in ...
Figure 11-1 from Chapter 11 THE DEVELOPMENT OF GRAPHOMOTOR SKILLS ...
Figure 3 from Analysis of Graphomotor Tests with Machine Learning ...
Developing Graphomotor Skills Exercises That Help Children Build ...
Neuropsychological Parameters of Graphomotor Skills in Typically ...
(PDF) Flexibility of orthographic and graphomotor coordination during a ...
Graphomotor Skills Workbook for Kids 30 Fun PDF Pages to Develop Fine ...
Graphomotor Spring Practice. by Martha Fenton | TPT
22 Graphomotor activity ideas | activities, preschool activities ...
Graphomotor Images - Free Download on Freepik
Figure 2 from Classification of Graphomotor Impressions Using ...
Understanding Graphomotor Skills in Children | PDF | Drawing | Hand
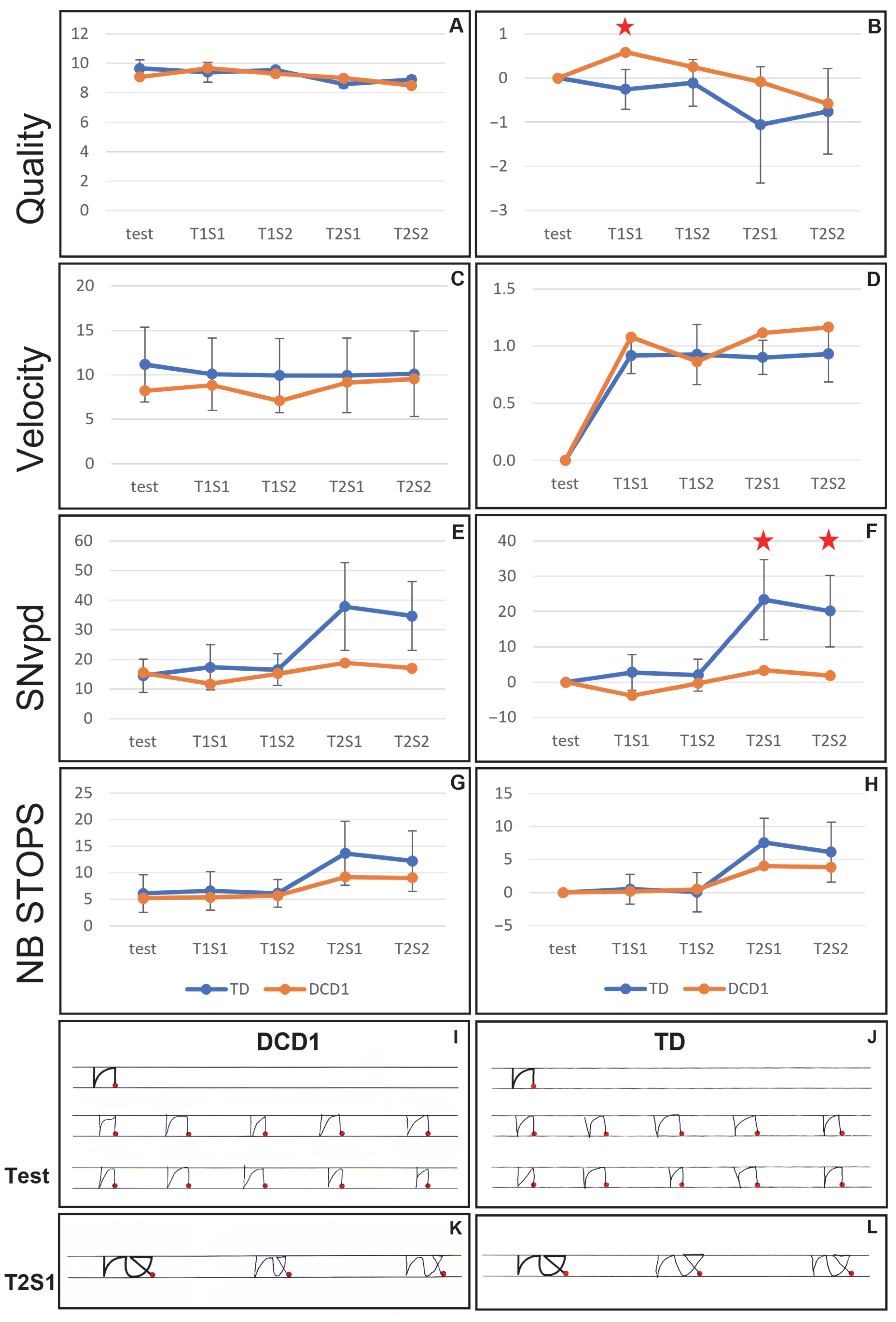
Figure 1 from Development of early graphomotor skills in children with ...
Graphomotor Skills Test | PDF | Neuroscience | Cognition
What is a graphomotor assessment?
(PDF) Evolution of Graphomotor Parameters in Kindergarten Children's ...
Figure 1 from Advanced Parametrization of Graphomotor Difficulties in ...
The Relationship between Young Children’s Graphomotor Skills and Their ...
(PDF) The Relationship between Young Children’s Graphomotor Skills and ...
Learning and Transfer of Graphomotor Skills in Three 7- to 10-Year-Old ...
Top 10 Graphomotor Skill Exercises for Learning to Write
Effect of Drawing Hand and Age On Figural Fluency A Graphomotor Study ...
| Results of the experiment in terms of graphomotor skills. (A) Results ...
Grafomotricidad- Graphomotor Skills by Stefany Sandoval | TPT
(PDF) Interaction between orthographic and graphomotor constraints in ...
Fine motor and graphomotor skills exercises – Artofit
Figure 11-2 from Chapter 11 THE DEVELOPMENT OF GRAPHOMOTOR SKILLS ...
Figure 2 from Development of graphomotor fluency in adults with ADHD ...
Frontiers | Physical Activity With Eduball Stimulates Graphomotor ...
Premium Photo | Girl doing fine graphomotor skills exercises
(PDF) Rhythmic training, literacy, and graphomotor skills in ...
Developing Graphomotor Skills | Montessori Parenting
Effectiveness of Psychomotor Therapy among Children with Graphomotor ...
The experimental graphomotor setup with a pen tablet, school desk, and ...
Graphomotor Skills Workbook: 65 Printable Tracing & Coloring Worksheets ...
Graphomotor Skills Definition, Areas & Deficits - Lesson | Study.com
Graphomotor Skills: What it is and How to Help Children Develop it | 2026
Learnigo Product Feature: Handwriting Program | Learnigo
PPT - The Neurodevelopmental Constructs PowerPoint Presentation, free ...
A Creative Journey in Writing and Motor Skills Development! 40 Dual ...
PPT - Welcome Back! PowerPoint Presentation, free download - ID:2406137
Frontiers | Cognitive Writing Process Characteristics in Alzheimer’s ...
Examples of visual and procedural graphomotor-based neuropsychological ...
Preventing Dysgraphia: Early Observation Protocols and a Technological ...
Graphomotorics worksheet by Kanok Nipa | TPT
Number Formation in Early Years Education - Innovamat Blog
Graphomotor: Developing and Supporting Fine Motor Skills
Cognitive Test Z-Scores: Attention/Executive Functions (TMT-Part A ...
Printable Workbooks | Learning Activities for Kids - Fun-filled ...
PPT - The Many Faces of Cerebral Palsy PowerPoint Presentation, free ...