Showing 120 of 120on this page. Filters & sort apply to loaded results; URL updates for sharing.120 of 120 on this page
Indian graduate student at Penn State solves 100-year-old math problem
Solved Problem 10: Graduate students in the Applied | Chegg.com
Problems for Graduate Homework 2 - Introduction to Topology | MATH 531 ...
Solved This is for a graduate math class. Please be as | Chegg.com
Solved A8 - 3.) This is graduate level math methods in | Chegg.com
Math Exam Solutions for Graduate Studies | PDF
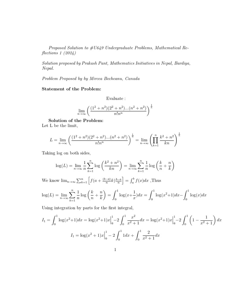
Math Problem Solution for Undergrads | PDF | Mathematics | Calculus
How I take notes and study for graduate level math exams - YouTube
College Math Problems Examples Answers
Solved 5. [40 points, this problem is only for graduate | Chegg.com
The problem given to one of post graduate prospective mathematics ...
Problem solving in GCSE (9-1) Maths: examples of good practice
Top Math Topics for Post Graduate Students | Expert Picks
Problem 4. Graduate Student Dilemma (1+1+1 marks) An | Chegg.com
Sample Thesis Problem in Math | PDF | Thesis | Mathematics
Solved This is for a graduate math course. Please be as | Chegg.com
Free Video: Basic Math Problem That Stumps College Graduates - No ...
MATH 105- Problem Set 3.docx - Percentiles and statistical measures ...
Solved This is MATH 632 A Transition to Graduate Level | Chegg.com
Introduction to Graduate Analysis - Assignment 14 Questions | Math 205 ...
An example math problem with the generated questions and their answers ...
Mathematical Problem Solving Examples | Exams Mathematics | Docsity
3. Graduate and undergraduate students? Problem | Chegg.com
MATH TOPICS FOR GRADUATE STUDY
Math Problem Solving Terminology Posters with Math Journal-2nd 3rd grad
Penn State Student Solved a 100-Year-Old Math Problem That Could ...
Introduction to Graduate Analysis - Questions for Homework 2 | Math 205 ...
Two-Step Word Problem Practice Worksheets | Math Problem Solving for ...
College Math Master Math Problem Example | Topics and Well Written ...
Math Tutor for Graduate Students Online - Graduate Math Courses Online
Challenge Problems From Graduate Analysis | PDF
Algebraic Topology Problem Set 6 â Solutions - Strickland, Neil
SOLUTION: Linear algebra: graduate level problems and solutions - Studypool
Math 20D General Information
Introduction To University Mathematics MATH40001/MATH40009 Problem ...
Mathematics | Graduate Program Finder | University of Delaware
Experimental Math Problems: SIAM Challenge & Solutions
Grad Cylinders - Math Problems Printable Measurement Graduated Volume ...
Samplemath 093 - Sample Math Problems - Sample Math Problems – Fall ...
Math Problems and Samples
Grade 9 - Math - Problems For Lessons 9 and 11 | PDF | Numbers ...
Solved 7) two mathematics majors are graduate students. | Chegg.com
Solved The graduate class of the University of Flatland, | Chegg.com
The Hardest and Most Tested Math Topics on the GRE - GRE and Grad ...
PPT - Planning for graduate school PowerPoint Presentation, free ...
These 30 Memes May Help You Get Through Another Day Of Doing Math ...
Linear Algebra: Graduate Level Problems and Solutions - DocsLib
Linear Algebra: Graduate Level Problems and Solutions / linear-algebra ...
Math Problems To Do
College Math Problems
How to Write an Equation for Real-World Problems | Math | Study.com
Problem Set 1 Answers - Problem Set 1 Answers Problem 1 A group of ...
Math Exercises & Math Problems: Complex Numbers and Complex Equations
Do the Math! | Harvard Graduate School of Education
Only 19% Of Adults Can Solve All 24 Of These School-Level Math Problems ...
The number of mathematics Ph.D. degrees awarded from 150 US math ...
Task: Apply mathematical problem solving skills to a variety...
Midterm Exam Questions Solutions - Introduction to Graduate Analysis ...
Problem-Solving with GCF and LCM: Grade 5 Math Word Problems | Made By ...
How to Master GMAT Problem Solving - GMAT Ninja
Math notes for entry-level grad students | University of Utah CSM Group
(PDF) Five Things to do as a Graduate Student in Mathematics
(PDF) Should Graduate Mathematics Courses Be Taught Fully Online?
Graduate Algebra: Noncommutative View: 91 (Graduate Studies in ...
Graphic: Example math problems
Mcas Math Grade 5 Practice Test
Math Challenge Worksheets For 3rd Grade - 3rd Grade Math Worksheets
Solved The WSU math and stats department needs 4 graduate | Chegg.com
Harvard University entrance exam question | A nice math olympiad ...
Formula d | Math methods, Statistics math, Math
WAKE UP AMERICA!: Math Problems: Knowing, Doing, and Explaining Your ...
Percent Word Problems Worksheets - Math Monks
Quick Math Word Problems at Frank Duke blog
Advanced Math Questions: 50 Problems for Course MATH 101 - Studocu
Graduate Engineering Mathematics
Graduate Mathematics Module 2 - Working With Straight Lines - YouTube
Mathematic Course In Arithmetical Problem Solving | Free Essay Example
(PDF) The Mathematical Behavior of Six Successful Mathematics Graduate ...
320 GRE Math Problems arranged by Topic and Difficulty Level by Dr ...
Graduate Admission Overview | Department of Mathematics
(PDF) A Systematic Review on Graduate Mathematics Theses and ...
7th Grade Common Core Math Worksheets
The Best Advice for Mathematics Students (from a mathematics graduate ...
Radical and Variation Math Problems | PDF | Exponentiation | Equations
Math Problems for Students | PDF
General Math Problems and Solutions | PDF | Area | Triangle
50+ Math Word Problems worksheets for 4th Class on Quizizz | Free ...
Ordinary Differential Equations: Graduate Level Problems ... / ordinary ...
Amazon.com: Operator Theory by Example (Oxford Graduate Texts in ...
Graduate Texts in Mathematics Advanced Mathematical Analysis: Periodic ...
Can you pass the mathematics GRAD test for high-school students? - MinnPost
REAL ANALYSIS PROBLEMS SEQUENCE 3 books coaching online test ...
Master's Program | Statistical Sciences and Operations Research ...
Amazon.com: Inverse Problems for Fractional Partial Differential ...
SOLUTION: Mathematics high school graduation exam problems - Studypool
GRE Algebra Word Problems Guide | PDF | Fraction (Mathematics) | Rectangle
Applied Mathematics Example Problems and Answers
Mathematics practice sample problems | Study notes Mathematics | Docsity
Anyone know how to solve this problem? [Graduate Math: Linear Algebra ...
FREE 42+Thesis Templates in PDF
Ph.D. Requirements | Department of Mathematics | Vanderbilt University
College Algebra Problems
Two Step Addition and Subtraction Word Problems | Free | Grades 3-5
A Basic Course In Partial Differential Equations | PDF
Senior Sample Problems
An Invitation to Mathematical Logic (Graduate Texts in Mathematics, 301 ...
Video: Experimentation using a Confederate