Showing 120 of 120on this page. Filters & sort apply to loaded results; URL updates for sharing.120 of 120 on this page
Gradient of a Function
Gradient of a function - Note! The vector points in the direction of ...
Gradient of a function - Function එකක gradient එක ගැන සරල විග්රහයක් ...
Gradient of a Curve - A Level Maths Revision Notes
Gradient Functions - A Level Maths Revision Notes
The derivative interpreted as gradient function by Maths Support Centre
Ex: Find the Gradient of the Function f(x,y)=e^(2x)sin(3y) - YouTube
Sketching Gradient Function | How to sketch the gradient function of ...
Lesson 1 iIntroduction to gradient function | DOCX
Gradient - Notes - Page 1 Jayachandran V VECTOR CALCULUS Point ...
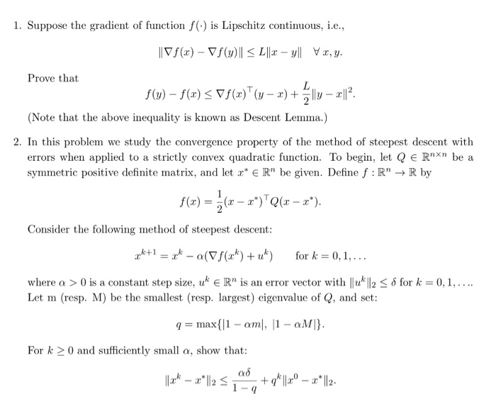
Solved 1. Suppose the gradient of function f(.) is Lipschitz | Chegg.com
Gradient Define the gradient of a function of two variables. State the ...
Finding the gradient function on a tablet device – GeoGebra
Gradient Function 19.2 | PDF
Differentiation - gradient function dy/dx | Calculus by ExamSolutions ...
Gradient of A Function Answers | PDF | Slope | Function (Mathematics)
Gradient - Notes on differentials, gradients and other differential ...
Investigating the Gradient Function – GeoGebra
Gradient Function | Download Free PDF | Derivative | Gradient
Finding the Gradient of a Multivariate Function Example 1 - YouTube
Sketch the function f(x) for the gradient function f'(x) shown below, giv..
Gradient function & Graph - Gradient Function / Rate of Change of ...
Gradient Function Fill-in-the-Blanks | PDF
(전자기학I) Lecture 4 Gradient 필기 | PDF | Gradient | Function (Mathematics)
Draw the gradient function for the following graphs. a) b) Draw the ...
Gradient function differentiation – GeoGebra
SOLUTION: Gradient complete notes - Studypool
Solved: The curve y=f(x) has a gradient function f'(x) as shown below ...
Sketching the Gradient Function – GeoGebra
Finding the Gradient at a Point on a Trigonometric Function - YouTube
Calaméo - The Gradient Function
N5 Maths - Gradient Notes & Worksheet | Teaching Resources
Finding the Gradient of a Vector Function | by Chi-Feng Wang | Towards ...
PPT - Gradient PowerPoint Presentation, free download - ID:2821040
Activity 1 (Directional Derivative and Gradient with minimum 3 ...
Differentiation - IGCSE Maths Revision Notes
Sketching Gradient Functions | Edexcel International A Level (IAL ...
PPT - Gradient PowerPoint Presentation, free download - ID:6305174
BC Activity On Gradient Functions | PDF | Slope | Tangent
Sketching Gradient Functions | Edexcel International AS Maths Revision ...
Formula To Find The Gradient Of A Graph at Jerry Eberhardt blog
Gradient of a Function: Vector Calculus
21 Gradient Functions Worksheet: Sketching Techniques and Analysis ...
Definition of Gradient | Edexcel International A Level (IAL) Maths ...
How Do You Determine The Gradient Of A Graph at Mildred Bruggeman blog
Here’s A Quick Way To Solve A Info About How To Calculate The Gradient ...
Physical Significance of Gradient. The gradient of a scalar field at a po..
Solved 1. Compute the gradient for the following functions: | Chegg.com
Understanding the Gradient of a Function: Definition, | Course Hero
Gradient of a Function: Definition, Examples, and Applications
Gradient Vector| Gradient of a Function| Gradient at a point |#calculus ...
Gradient Slope Formula | Passy's World of Mathematics
NCEA Maths L2 Calculus: Gradient functions - YouTube
GCSE MATH: Lesson 1: Gradient of a curve
Gradient Functions – GeoGebra
How Gradient Descent Works. Simple Explanation - YouTube
Understanding Gradient | CodeSignal Learn
Gradient and the straight line revisited
3.3 Equation & Gradient of Linear Graph
The Gradient at a point on a Curve - ppt download
Gradient Vector Calculus
Maths - Sketching Gradient Functions | Olly Britton
Calculus Gradient functions and rate of change Ultimate revision guide ...
Linear Quadratic Gradients - Deriving the Gradient and Hessian of ...
Solved The gradient of a function. The gradient is the | Chegg.com
Calculus Lesson 3 Gradient Rate of Change Interpreting Graph of ...
The Gradient - Linear Algebra Help | Practice Hub
5. Higher Order Derivatives & Graphing the Derivative Function - ppt ...
Gradient and the directional derivative - Wize University Calculus 2 ...
SOLVED:Find the gradient fields of the functions in Exercises 1-4. f(x ...
Notes On Functions of Many Variables, Gradients Directional Derivatives ...
The Gradient field.pptx
Gradient Fields - Introduction and Definition - YouTube
Sketching Gradient Functions - YouTube
Gradient Descent ExampleConsider the quadratic | Chegg.com
Gradient Functions | PDF
Vector Fields & Gradients Notes | PDF | Vector Space | Applied Mathematics
Vector Calculus: Understanding the Gradient – BetterExplained
Sketching the gradient functions of a given curve - The Student Room
PPT - Vector Calculus PowerPoint Presentation, free download - ID:6776241
PPT - C1: Simple Differentiation PowerPoint Presentation, free download ...
Gradients Functions of Functions – GeoGebra
PPT - Directional Derivatives and Gradients PowerPoint Presentation ...
PPT - Differentiation from First Principles in Calculus PowerPoint ...
PPT - Graphs for GCSE Maths PowerPoint Presentation, free download - ID ...
IGCSEFM Differentiation jfrosttiffin kingston sch uk www drfrostmaths
PPT - Revision: 1.Solving Equations PowerPoint Presentation, free ...
PPT - Introduction PowerPoint Presentation, free download - ID:1804037
Differentiation | Learning Hub
Solved 14.5Calculating GradientsIn Exercises 1-6, find the | Chegg.com
Answered: Compute the gradients of the following functions. (a) f(x, y ...
Conjugate Gradients
PPT - Vector Calculus PowerPoint Presentation, free download - ID:3892629
Stationary Points | DP IB Applications & Interpretation (AI) Revision ...
Introduction to Differentiation: Maths Exam Preparation Guide 2026
PPT - US5244 PowerPoint Presentation, free download - ID:5168268
Solved Use the formula f'(x) = lim f (x +h)-f(x) h to find | Chegg.com
Solved Compute the gradients of the following functions. (a) | Chegg.com
Engineering Math | ShareTechnote
Gradients - Higher Mathematics
PPT - Coordinates and Graphs PowerPoint Presentation, free download ...
Ex 4A & 4B - Linear Functions and Gradients | PDF
Linear graphs gradients | Math | ShowMe
PPT - PHYSICS-II (PHY C132) PowerPoint Presentation - ID:6256310
05: Gradients and Activation Functions — Learning Deep Learning
PPT - Section 6 PowerPoint Presentation, free download - ID:2496296
Multivariable Calculus for Machine Learning - GeeksforGeeks
PPT - Finite Elements PowerPoint Presentation, free download - ID:1290196