Showing 120 of 120on this page. Filters & sort apply to loaded results; URL updates for sharing.120 of 120 on this page
Gghfgh - YouTube
gghfgh | Blusas, Pantalones, Pijamas
gghfgh | Fashion, Vanessa hudgens style, Vanessa hudgens
GGHFGH HEHRHRH - YouTube
gghfgh - YouTube
Gghfgh #fypシ゚viral #givemecookies #bringbackthedragonpuppetcommunity # ...
Gghfgh
gghfgh Given that L = 4m, m = 18kg, theta = 30 | Chegg.com
Pin by gghfgh gghgh on Trending | Anime memes funny, Funny memes ...
gghfgh | ngankute2010 | Flickr
Pin by gghfgh gghgh on Trending | Relatable, Really funny, Losing faith ...
Gghfgh🥲hfhjdh lk hohj - YouTube
Pin on Love to Laugh
gfghgh - video Dailymotion
Pin on Quick Saves
Pin on my camera roll
Pin by 𝓯𝓻𝓮𝓪𝓴𝔂 to a T on haha in 2025 | Funny memes, Funny images, I ...
Pin on Random stuff 🤪
Pin by monina on CHISPO 😜 | Just for laughs videos, Hysterically funny ...
Pin on my 🧠💭
rttt# ggHfgh# hhjgh# - YouTube
if you died nothing in my life would change
Viral stories in 2025 | Tumblr funny, Really funny, Funny laugh
Pin on Funny
Pin on Funnies
Pin on bruh
Pin by togi on memez in 2025 | Tumblr funny, Really funny pictures, Funny
Pin by Reitc on Random Stuff | Internet funny, Tumblr funny, Funny ...
Pin on assya nadas
forgot abt her tbh | Funny memes, Funny me, Tumblr funny
Pin on Pins by you
Pin by William Afton on my camera roll in 2025 | Really funny memes ...
Pin by enhyfen on tweets | Funny memes, Funny images, Memes
Pin by ri on tweets | Funny, Silly memes, Tumblr funny
who would have thunk | Really funny pictures, Funny memes, Funny images
Pin by Blue Chip on Humour | Tumblr funny, Funny laugh, Silly images
I hate when the volume button gets in the way of my screenshot 😔 in ...
50 Overconfident People Who Got Ridiculed For It Online (New Pics)
Pin på Fagottini
Pin by ♡♡♡ on Funny | Memes, Funny me, Funny memes
Pin by ☹︎ₛₜᵤₚᵢd gᵢᵣₗ☹︎ on críticas sociais | Internet funny, Silly ...
This Is The One Thing Experts Recommend When It Comes To Truly ...
Pin by lotte. on 방탄소년단 | Kpop funny bts, Kpop funny, Hysterically funny
Ghim của Otter trên My Favorite Tweets | Hài hước, Hình vẽ, Hình vẽ hoa
!!!spoiler!!! she killed dewey😭😭 nel 2025
Pinterest | Internet funny, Silly words, Funny facts
mwhahahaa in 2025 | Really funny pictures, Really funny, Funny me
Debatable - Funny | Funny texts, Hysterically funny, Funny
Panjabi For Man
forgot abt her tbh | Funny me, Really funny, Tumblr funny
Most awkward interaction of the millennia in 2025 | Incorrect quotes ...
7 Texts To Send Your Crush To Help Start A Conversation | Internet ...
La Verità Nascosta di Ethan Whitmore - Мedincom info
50 Scammers Who Got Baited And ‘Destroyed’ By The People They Were ...
Pin di vinta su Quick Saves | Humor divertente, Divertente, Muscoli
Real Madrid vs Manchester City Preview Ft @KiyanSo and Lucas - YouTube
Reposted! I just wanna humiliate this guy as many times as i can :> in ...
Church Choir – 1st Northern Virginia Ghanaian SDA Church
Decadent And Creamy Chocolate Chip Cheesecake Cookie Recipe DEALiciousness
VAMP🧛🏻♀️ | Funny facts, Funny images, Funny laugh
Terkoneksi - Digital Marketing - SMK Ma'arif 2 Temon
23 January 2024 - YouTube
Nilai KKM 2014 | PDF
1 de diciembre de 2024 - YouTube
Pin de Ezra Death en love the lgbt because IM IN IT | Memes
DEFENSE THROUGH FIRST 4 GAMES - iFunny | Memes, Popular memes, Nfl memes
FACEIT
Shabbos Tapetastic craft – Skool Krafts
Dragon Industrial Wrap on LinkedIn: #structuralintegrity # ...
9 Best Lake Erie Beaches to Visit Near Cleveland, Ohio - Lake Access
Instagram
ca 1-1 ol part07.flv - YouTube
Draw the full mechanism for the E1 dehydration of 4-methylcyclohexanol ...
Плевен За Плевен – Крум и Виктория – плевенски деца, олимпийци на ...
Game crashes instantly on start up, cant even see the Minecraft menu ...
Teröre darbe! 17 sığınak imha edildi | 3. Sayfa
কলা খাবেন শক্তি বাড়াবেন - YouTube
Bruco's MAGGI Schweinebauch ... my best Bauch ever :-) | Seite 13 ...
The Monthly Friendship Club~~~ - BAY AREA ENTERTAINER
여자 겨울신상 인기폭발 따뜻한 퍼 베스트 양털조끼 코디 : 네이버 블로그
#shorts # baharbanke#🙄 - YouTube
Anil Sawhney on LinkedIn: #construction4 #industrializedconstruction # ...
Pin by ABD ALMUHSEN on جديد | Casual style outfits, Casual outfits, Fashion
Anatomie pied valgus Banque de photographies et d’images à haute ...
자동수평몰탈 시공 제대로 알고 선택하는 방법 : 네이버 블로그
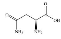
Find the pl for Asparagine. | Homework.Study.com
sÁCH | PDF
Write the balanced equation for the isomerization of maleic acid to ...
انواع الشعر - Tbset
INALTo ICI302K.1 30cm Induction Cooktop User Manual
Pin on Mode
Reliance Defence in pact with Emirati company | India.com
CONRAD 2632385 Projector Wall Mount Instruction Manual
#funny #mr #sahab #sk #trend #viralvideo #foryou #29766 - YouTube
24 arrested, 31 others sought for selling 'cartel' quality meth in ...
Pin di lou chao su 冬天卫衣 nel 2024
Cursed / Прокълнати (2005) - Хубави филми
Acoustic Sounds to Record Blues Festival in High-Resolution DSD ...
Наклейка Ewrqw PNG - AVATAN PLUS
銀幣/台灣曾出現的錢幣/西班牙銀圓/英國"站人"站洋)/西班牙銀幣又稱「佛頭銀」佛頭銀,鑄造於一七七三年/「交易最尚番錢,紅毛所鑄銀幣也」其中 ...