Showing 120 of 120on this page. Filters & sort apply to loaded results; URL updates for sharing.120 of 120 on this page
Geometric Unsharpness Formula | X Ray | Electromagnetic Radiation
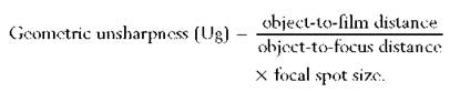
Geometric Unsharpness in Radiography
Nomogram - Geometric Unsharpness ll ASNT Level 3 Radiographic testing ...
NDT Non Destructive Testing: Geometric Unsharpness
3) Geometric Unsharpness (Radiographic) | PDF | Welding | Construction
Geometric Unsharpness (X-ray Penumbra) - YouTube
Geometric Unsharpness Explained at Mary Aplin blog
What is Determining Geometric Unsharpness in Radiographs
Effect of geometric unsharpness on the defect sizing | Download ...
Mastering Geometric Unsharpness in Radiologic Physics
Geometric Unsharpness in Radiography | PDF | X Ray | Electromagnetic ...
Geometric Unsharpness Calculations [Hindi] ll Radiography Testing ll ...
Geometric Unsharpness - YouTube
Radiology FRCR Physics Revision Notes: Geometric Unsharpness & Imaging ...
Geometric Unsharpness (ph
Geometric Unsharpness 2 - YouTube
Geometric Blurring, Magnification and Unsharpness | X-ray Physics ...
Geometric Unsharpness Formula | PDF | X Ray | Electromagnetic Radiation
Geometric Unsharpness Calculations Hindi ll Radiography Testing ll ...
Geometric unsharpness
Answered: calculate the geometric unsharpness for… | bartleby
What Is Geometric Unsharpness? | Fujifilm NDT
Non Destructive Examination-NDT/NDE!.RT-Geometric Unsharpness Formula ...
Radiographic Testing lecture 2.Geometric Unsharpness & Gamma ...
Geometric Unsharpness. | Download Scientific Diagram
Geometry used in unsharpness determination. | Download Scientific Diagram
Roentgenographic Unsharpness of the Shadow of a Moving Object—IIRadiology
Understanding X-ray Image Unsharpness | PDF
Radiographic Unsharpness at Broderick Evenson blog
Unsharpness characteristics of digital detectors for industrial ...
Calculating Radiographic Exposure Times, Geometric Unsharpness, and ...
(PDF) Unsharpness characteristics of digital detectors for industrial ...
Clark's Radiography: Image Sharpness
Nondestructive Evaluation Physics : X-Ray
Advanced Radiography Pitfalls & Pro Tips | ScanTech
PPT - FRCR: Physics Lectures Diagnostic Radiology PowerPoint ...
MACRORADIOGRAPHY.pptx
Nondestructive Evaluation Techniques : Radiography
Image quality - Radiology Cafe
PPT - Radiographic Quality Visibility and Sharpness PowerPoint ...
PPT - BMFB 4283 NDT & FAILURE ANALYSIS PowerPoint Presentation - ID:1863932
PPT - RADIOGRAPHY TEST PowerPoint Presentation, free download - ID:3624560
Instrumentation — X-ray imaging: Physics, Instrumentation & Applications
PPT - Image Quality Radiographic Resolution. PowerPoint Presentation ...
Flashcards - X-ray lecture 3
Radiography Testing Presentation
Projectional radiography - radlines.org
Radiographic Inspection | SpringerLink
PPT - Seeram Chapter 11: Image Quality PowerPoint Presentation, free ...
Radiography Testing procedure
Microfocus technology | Innovative Microfocus X-ray Tubes from X-RAY WorX
Radiographic parameters employed. | Download Scientific Diagram
PPT - Invisible X-ray image PowerPoint Presentation, free download - ID ...
An Introduction to Radiography
Image quality | Radiology Key
Focal Spot Size – Digital Radiographic Exposure: Principles & Practice
Basic Principles of Radiography and Digital Technology - Clark's ...
Radiation beam blocker with non-cylindrical through-hole causing ...
(a) The optical scheme of the X-ray test system and (b) the scheme of ...
NDT Tools & Training | Non-Destructive Testing Calculators | NDTCalc.com
SOLVED: Derive formulas and compare the sizes of the left and right ...
Invisible Xray image 1 2 Formation Characteristics Xray
radiographic Image quality by Astuti Mishra | PPT
Radiographic Testing Procedure
PPT - Components of Radiographic Image Quality PowerPoint Presentation ...
Radiography Ug Formula at Wallace Yang blog
Radiographic Imaging and Exposure
Qa of ct and mamography | PPT
positioning x ray .pdf
Components of Radiographic Image Quality Radiologic Technology 244
Cineangiographic Imaging, Radiation Safety, and Contrast Agents ...
Resident Physics Lectures The Radiographic Image Geometry George
Understanding Shape Distortion in Radiography - X ray physics - YouTube
Magnification(macro and micro radiography), distortion | PPTX
Invisible x ray-image | PPT
Projection Radiography and its Applications | PDF
6. Geometry and components of the cone beam configuration for X-ray ...
The Benefits of Small Focal Spot Size in Radiography – NDT
FRCR Physics Lectures Diagnostic Radiology Lecture 1 An
BMFB 4283 NDT FAILURE ANALYSIS Lectures for Week