Showing 119 of 119on this page. Filters & sort apply to loaded results; URL updates for sharing.119 of 119 on this page
Genus Classification
Genus Biology
Genus and Family - GeeksforGeeks
Genus Biology Examples
Genus - Definition and Examples - Biology Online Dictionary
What Is A Dogs Kingdom Phylum Class Order Family Genus And Species
Animal Classification Chart Kingdom Phylum Class Order Family Genus Species
[BIOLOGY] Levels of Classification: Phylum, Class, Order, Family, Genus ...
Genus - Classification System, Use, Examples and Species
Genus vs. Species: 7 Key Differences, Pros & Cons, Examples ...
Plant Scientific Name Genus And Species at Pearl Brandon blog
Genus | Definition, Classifications & Examples - Lesson | Study.com
Genus Species Examples BIOLOGY] Levels Of Classification: Phylum,
Taxonomy representation at genus and species level. (A,B) Relative ...
Genus and Species Examples
Genus and Species: What's the Difference?
Genus - Definition, Advantages, Uses, Examples - Biology Notes Online
Understanding Plant Genus And Species: A Beginner's Guide | ShunCy
Genus Species
Genus Species Examples
Kingdom Phylum Class Order Family Genus Species Worksheet
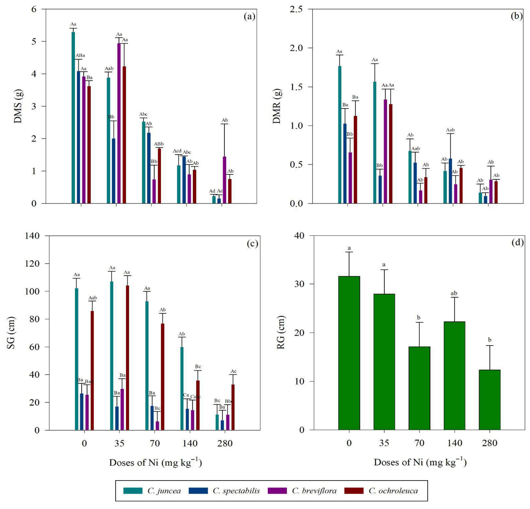
Growth Responses and Phytoremediation Potential of Species of the Genus ...
NATURE ' S NOTEBOOK | Genus Loxodonta | Facebook
5 Spesies Ikan Sapu-sapu Genus Hypostomus | IDN Times
MCQs Hub | Mock Test – Types of Living Organisms (Solved MCQs) | Facebook
Cocoon Creation of Cyana Moths This lichen-feeding genus of moths have ...
A family and order B kingdom and genus C phylum and domain D genus and ...
Diversity in the Genus Apis: : 9780367016005: TGJones
Species | Definition, Types, & Examples | Britannica
Infographic of the Hierarchy of Biological Classification, showing ...
PPT - Taxonomy PowerPoint Presentation, free download - ID:3140943
Classification - MS. ANDERSON'S ZOOLOGY CLASS
Plant & Animal Classification Guide (Biological Taxonomy) – Fauna Facts ...
How to Understand Binomial Nomenclature | Animal classification ...
Order Biology
PPT - Taxonomy and Biological Classification PowerPoint Presentation ...
PPT - Animal Classification PowerPoint Presentation, free download - ID ...
Species vs Genus: Key Differences, Definitions, and Examples
PPT - Taxonomy PowerPoint Presentation, free download - ID:2427874
PPT - Classification PowerPoint Presentation - ID:2241801
PPT - PLANT TAXONOMY PowerPoint Presentation, free download - ID:3077844
Taxonomy - BIOLOGY JUNCTION
PPT - Plant Taxonomy PowerPoint Presentation, free download - ID:141764
PPT - PLANT TAXONOMY PowerPoint Presentation, free download - ID:6055229
Species Examples Biology
Classification of Biodiversity Subtopic 5 3 The need
(PDF) CLASSIFICATION OF ORGANISMS - Universitas Brawijaya · Family ...
General biology ( Classifyingorganisms) - General Biology 2 Classifying ...
Plant and Animal Biology (BIO101) Taxonomy and Classification Notes ...
Discover 42 Plant 🪴 & Animal 🦔 Classification and animal classification ...
Dr. Ball: Tržní náměstí Liberec, projekt plný rizik, rozporů a ...
Osm desítek dobrovolníků si ověřilo postupy, které mohou v reálné ...
Nejvyšší cenu Hasič roku 2025 získal Dan Schwamberg ze sboru ...
Solved: Which of the following taxonomic categories contains all the ...
Sportovcem roku Libereckého kraje je lyžařka a snowboardistka Ester ...
Pseudostaurosira | Diatom Flora of Britain and Ireland
Not a Single Textbook Predicted This: Siberian Diamond Mine Unearths a ...
Mitogenome Characteristics and Phylogenetic Analysis of Six ...
New Species and Records of Nothofagicola n. sp. (Eriophyoidea ...
Prettiest Ducks - Duck Species
Meet the "Huaxi": A Deadly New Snake Species Found Deep in a Chinese ...
Footage recorded 2.4 miles beneath ocean surface shows gobsmacking ...
Dinosaurs | Do you think that is it possible that two species of ...
New Ardisia species found in Yunnan
@SandyofCthulhu The Maned Wolf is not a wolf. It's the sole Species in ...
coral of the day the grooved brain coral (Diploria labyrinthiformis) 🪸 ...
NASCAR Mexico Series Transforms Tulum Airport Into Racing Hub
Mozambique ‘sky island’ expeditions found four new species of chameleon ...
New man-o-war jellyfish species found further north in Japan
Ancient amber reveals a true bug equipped with claws, a highly unusual ...
Meet the Huaxi: A deadly new snake species found deep in a Chinese ...
Quae sunt differentiae inter varia genera funium RF?
L’autopista genera uns 200 milions anuals amb 600.000 euros diaris - L ...
Peugeot 208 (2) 1.6 HDI 75 LIKE PROPRE 2 EME GÉNÉRA occasion annonce à ...
New species and warming seas reshape ocean risks
If Eyes could Kill The Tiger (Panthera tigris) is the largest living ...
Bursera ssp. Mexican Mix SEEDS | Premium Quality Seeds for Unique Plants
Strange prehistoric bug with claws found trapped in amber in Myanmar ...
@KingVonPartisan @Genus_Speciez It's not moralizing. It's calling out ...
¿Justin Bieber invitará a Billie Eilish a Coachella? - El Transmisor
Organisms List: 20 Species with Scientific Classification - Studocu
What Two Taxonomic Levels Make Up The Scientific Name
RESTORING NATURE: Studies by entomologist Dr. Douglas Tallamy have ...