Showing 120 of 120on this page. Filters & sort apply to loaded results; URL updates for sharing.120 of 120 on this page
Solved Determine the generating function for the number hn | Chegg.com
Find a generating function g(x, y, z) whose coefficient of x^r y^s z^t ...
Using a generating function to solve combinatorics problems with ice ...
Generating Functions for Fruit Salad and Seating Arrangements: | Course ...
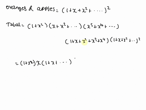
solution to fruit problem that no one got : r/MathWithFruits
Generating functions Problem 3 - YouTube
Generating functions Problem 2 - YouTube
machine learning #6 getting deeper into fruit classification problem ...
Engineering: Generating power from fruit - YouTube
Solving the Fruit Math Problem with Ease
PPT - The Problem of Fruit PowerPoint Presentation, free download - ID ...
Fruit Definition And Function at Eileen Pool blog
What Is A Function Of A Fruit Quizlet at William Everhart blog
Solved 10. Using generating functions, find a formula for | Chegg.com
Generating Functions
PPT - 7.4 Generating Functions PowerPoint Presentation, free download ...
PPT - Chapter 6.1 Generating Functions PowerPoint Presentation, free ...
Generating Functions - Combinatorics - Discrete Mathematics
The fraction allocation to fruits changes as a function of the cost of ...
Fruit Into Baskets - LeetCode
PPT - Generating Functions and Counting Trees PowerPoint Presentation ...
Function Generator Online Math at Kelly Barrios blog
Solved In a garden there are N fruit trees growing in a row. | Chegg.com
Solved Given the folloving function def output(fruit, | Chegg.com
Solved Task 1 Given the following function def output(fruit, | Chegg.com
Can you solve this Fruit Equation? - YouTube
Solved 1. We create an array of fruit in the main function. | Chegg.com
Solved Fruit for Thought Part 1 Each type of fruit | Chegg.com
4.1: The Idea of Generating Functions - Mathematics LibreTexts
PPT - The Effect of Fruits on Generating Electricity PowerPoint ...
Parts of a Fruit and Their Functions - With Diagrams
Balancing Equations: Fruit Explosion Activity by Smile Laugh and Do Math
SOLUTION: Fundamental of fruit production - Studypool
Fruitful Function - Python
Functions of a Fruit - YouTube
Probability and fruit | Growing Math
Fruit math puzzle! 🍑=? 🍓=?🍋=? | Maths puzzles, Cool math tricks, Math
Frontiers | Dynamic perspectives into tropical fruit production: a ...
Solved A fruit tree, the bananapple, is being developed, and | Chegg.com
Fruit Math Puzzles with Addition Equations Simple Logic Puzzle for a ...
Fruit Math Worksheet - Etsy
Fruit Tree Problems: Signs and Solutions – Roots Plants
Fruit Weights Math Problems (Mean, Median, Mode) by Curt's Journey
View question - Some fruit problem, help??
Solved An fruit grower knows from previous experience and | Chegg.com
PPT - An Introduction to Problem solving PowerPoint Presentation, free ...
Fruit Physiology through Signaling Processes: Latest Advances and ...
6 Hacks for a Faster Fruit Production at Your Home Garden
Describe the function of fruits? - Brainly.in
Solved 5. Genetic Algorithm for fruits. Given fruit | Chegg.com
Fruit and Functions Worksheet - Download & Print Now!
"Seed Fruit Theory of a Problem"
Solved Summative Questions What is the function of a fruit? | Chegg.com
Fruit - Veggies Equations - презентация онлайн
Can You Solve This Fruit Math Puzzle, IIT-JEE physics classes - YouTube
Solved # A: Fruit Arithmetics (Total 30pt) * vs * Topics: * | Chegg.com
Stages Of Development From Flowers To Fruit at Bernadette Williams blog
Fruit Electricity Experiment - YouTube
Parts of the FRUIT Montessori Botany Unit Study 5-Part Card Definition ...
10. A hungry math major visits the school's cafeteria and...
Response functions for fruits per plant and rotten fruits according to ...
Solved Given the following diagram, answer the following | Chegg.com
PPT - Function-Generating Problems PowerPoint Presentation, free ...
PPT - Mastering Fruitful Functions in Python PowerPoint Presentation ...
PPT - Rule-Based Reasoning PowerPoint Presentation, free download - ID ...
Solved 6. [6+6 = 12 pts] (Generating functions) We are | Chegg.com
PPT - Chapter 38: Plant Reproduction and Development PowerPoint ...
Most People Can't Solve This Easy Problem. Do YOU Know The Answer?
Solved Generate the output for the following Python code | Chegg.com
python Unit II Fruitful Functions - YouTube
Introduction to Functions | Boundless Algebra
PPT - Plant Reproduction and Floral Organs: A Detailed Explanation ...
Python Programming | JNTUA | UNIT 2 | Fruitful Functions | | PPTX
Lecture 5 Fruitful Functions Bryan Burlingame 27 February
fruit: Image-Based Systems of Linear Equations (Numeric)
PPT - Functions of Plant Parts PowerPoint Presentation, free download ...
Solution Problems Math at Carroll Zabala blog
PPT - Plant Reproduction and Responses PowerPoint Presentation, free ...
Plant Fruit: Types, Parts, Development, Functions, Facts
Multiscale Static Compressive Damage Characteristics of Kiwifruit Based ...
Solving linear equations using fruit! - YouTube
fruit2: Image-Based Systems of Linear Equations (Single-Choice) | R ...
circuits with fruits : r/MathWithFruits
Solved 3. Distribution of fruits in Negeri Sembilan from | Chegg.com
mathematics - Fruity system of equations - Puzzling Stack Exchange
3 Regressions of estimated number of fruits ( potential production ...
Fruits Development | PPT
Real-Time Prediction of Growth Characteristics for Individual Fruits ...
Most People Can't Solve This Easy Problem. Do YOU Know The Answer ...
Solved Given the following variable, fruits = ['apple', | Chegg.com
Solved In [3]: fruits= c("Apple", "Orange", "Banana", | Chegg.com
Solved QUESTION FIVE (5) fruits = ["Apple", "Banana", | Chegg.com
Math, Grade 6, Getting Started, Ways of Thinking and Properties of ...
PPT - From Flowers to Fruits: Understanding Plant Development ...
PPT - Tutorial Chapter 2 PowerPoint Presentation, free download - ID ...
Maths Picture Fruits Equation with Answer
Fruits Math, 600 Puzzles: Addition, Subtraction, Multiplication ...
Problems of fruits and vegetables Presentation2.pptx
Plant Organs