Showing 120 of 120on this page. Filters & sort apply to loaded results; URL updates for sharing.120 of 120 on this page
Blog- Modelling the 1947 GWR in P4 and OO - More renunbering- Kings and ...
Blog- Modelling the 1947 GWR in P4 and OO - 2800 basket case part 2 ...
GWR Python P14 update. - GWR Rolling Stock: model and prototype - RMweb
GWR Python A
GWR broadgauge 2501 class in P4 scale built by Morgan Gilb… | Flickr
Choppers Railway: Watergate Halt: GWR Python wagon in the engineers train
Return of the Sith - Sithlord's Railway Blog: Chivers GWR Python
GWR Python Covered Carriage Coach Van – PECO
P4 EP15 Function Attributes Coding in Python Object Oriented ...
P4 EP40 Project Solution Account Balance in Python Object Oriented ...
Network Prototyping Made Easy with P4 and Python - Open Networking ...
GWR diagram P4 permanent way open wagon - how were they used? - GWR ...
Indonesian python makes GWR hissstory as the longest measured wild ...
Blog- Modelling the 1947 GWR in P4 - Centenary conversions pt2 - Layout ...
LEGO GWR Bloater van and python parcel updated/built | Flickr
GWR Python Van on Wrenn Chassis | #245063095
P4 EP64 Project Solution in Python Object Oriented Programming OOP ...
Gaiety GWR Pannier Restoration and build in P4 - Page 2 - Kitbuilding ...
Introduction to GWR models | Applied Geospatial Data Science with Python
P4 EP5 Objects and Classes Coding in Python Object Oriented Programming ...
MALLARD MODELS KIT BUILT OO GAUGE GWR PYTHON A COVERED CARRIAGE WAGON ...
P4 EP31 Python Builtin and Standard Types in Python Object Oriented ...
P4 EP52 Rich Comparisons Coding in Python Object Oriented Programming ...
P4 EP30 Class and Static Methods Coding in Python Object Oriented ...
A level | P4 | Python | RECURSION |LECTURE 6 - YouTube
Solved Python - Assignment P4 - Orbital Motion. Build a | Chegg.com
P4 - Inputs & Variables - Python - YouTube
KIT BUILT GWR Python Van Wagon Needs Finishing Metal Wheels & 3 Link ...
P4 / PYTHON / Créer et utiliser une fonction - YouTube
EM / P4 FINESCALE Hornby Dublo GWR 4-6-0 Castle Class 5034 Corfe Castle ...
P4 EP17 Initializing Class Instances Coding in Python Object Oriented ...
P4 EP2 Prerequisites in Python Object Oriented Programming OOP - YouTube
Blog- Modelling the 1947 GWR in P4 - Centenarys pt3 - Layout ...
P4 | Python Program to Find If Given Number Is Prime Or Not. | Python ...
Ian Kirk 1:76 (4mm) Plastic Model Kit 8850 - GWR Python (Covered Carri ...
Parkside Models PC37 – GWR Python Covered Carriage Coach Van – 00 Gauge ...
P4 EP19 Creating Attributes at Run Time Coding in Python Object ...
GWR Showcase: Roger Bailey's 7mm passenger stock and 'brown' vehicles
Choppers Railway: Watergate Halt: Some more wagon progress - GWR MInk ...
GWR Ballast wagon (diagram P4) - Netherport and Basuto Quay - GWR 1908 ...
Parkside Models PC37 - GWR 'Python' Covered Carriage Truck - Decals ...
Paul Bartlett's Photographs | GWR non passenger coaching stock NPCCS ...
GWR/WR Herring P22 Hoppers in P4 part 1 - Ullypug's tales from the ...
GWR 'Python' CCT
GitHub - mkordi/pygwr: Geographically Weighted Regression (GWR) in Python
GWR/WR Herring in P4 - part 2 - Ullypug's tales from the tinking table ...
GWR "Python" fleet number 567 | #239303948
Interpretation of a basic GWR model and its calibration. | Download ...
Peco Parkside PC37 GWR 'Python' Covered Carriage Truck OO Gauge Plastic ...
[P4/4] Python For Loop | Python Control Flow | Python Basics | Python ...
[P4/7] Python Range Function | Python Control Flow | Python Basics ...
GWR Large Prairies by Swiftwin4ds on DeviantArt
Tp4 Python | PDF | Python (Langage de programmation) | Interface ...
Robotics 2 U1 (Kinematics) S6 (Parallel Manipulators) P4 (Python ...
1418
Gallery 2 - Mainly 4mm
GitHub - pysal/gwr: This is a repository for the geographically ...
【PyGIS-04】地理空间加权回归模型(GWR)的Python实战——以纽约枪击犯罪事件分析为例 - 知乎
GitHub - learn-co-curriculum/python-p4-intro-to-deployment
学习使用Python执行P4操作_p4python-CSDN博客
GitHub - gardin1997/python-p4-iam-lab
利用python实现地理加权回归(GWR)与网约车订单数据挖掘-腾讯云开发者社区-腾讯云
gwr_animation/python/GWR_Animation_Examples.ipynb at master ...
GitHub - fancybyegon/python-p4-request-response-cycle
【时空面板】分别使用ArcGis、R语言、Python进行时空面板数据的OLS、TWR、GWR、GTWR、MGTWR模型 - 知乎
p4python/P4.py at master · perforce/p4python · GitHub
GitHub - learn-co-curriculum/python-p4-how-the-web-works
GitHub - learn-co-curriculum/python-p4-deploying-flask-api-to-render
1427
初步了解MGWR:多尺度地理加权回归的Python实现-腾讯云开发者社区-腾讯云
ParScale/ParScale-Qwen-3B-P4-Python · Hugging Face
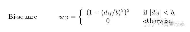
地理加权回归(GWR)原理及其实现 - 知乎
¿Sera Este El futuro?, Redes más la programación (Python, P4, Go, Rust ...
咕泡 P4:Python基础入门实战班(Python基础+高级)_2米资源网
Screenshots of GWR4.0 interface. | Download Scientific Diagram
Guinness World Records added a... - Guinness World Records
GitHub - learn-co-curriculum/python-p4-chatterbox-lab
P4:Python基础入门实战班(Python基础+高级)_大虾资源站
他山之石|基于网络权重矩阵的地理加权回归(NWM GWR) - 知乎
地理加权回归_利用python实现地理加权回归(GWR)与网约车订单数据挖掘_weixin_39600510的博客-CSDN博客
Python:地理加权回归(GWR)模型操作应用命令合集_as_函数_https
GitHub - panos-ece/Networking-Protocols-using-P4-and-Python ...
GitHub - learn-co-curriculum/python-p4-request-response-cycle