Showing 119 of 119on this page. Filters & sort apply to loaded results; URL updates for sharing.119 of 119 on this page
Sample Problems For Function - Differential Calculus MTH 62- Problems ...
PRACTICE PROBLEMS | THE LIMIT OF A FUNCTION | BASIC CALCULUS | PROF D ...
SOLUTION: Composite function chain rule calculus practice problems ...
Basic Calculus Practice Problems | PDF | Derivative | Function ...
SOLUTION: Calculus practice problems function and its inverse linear ...
Integral Calculus Sample Problems | PDF | Teaching Methods & Materials ...
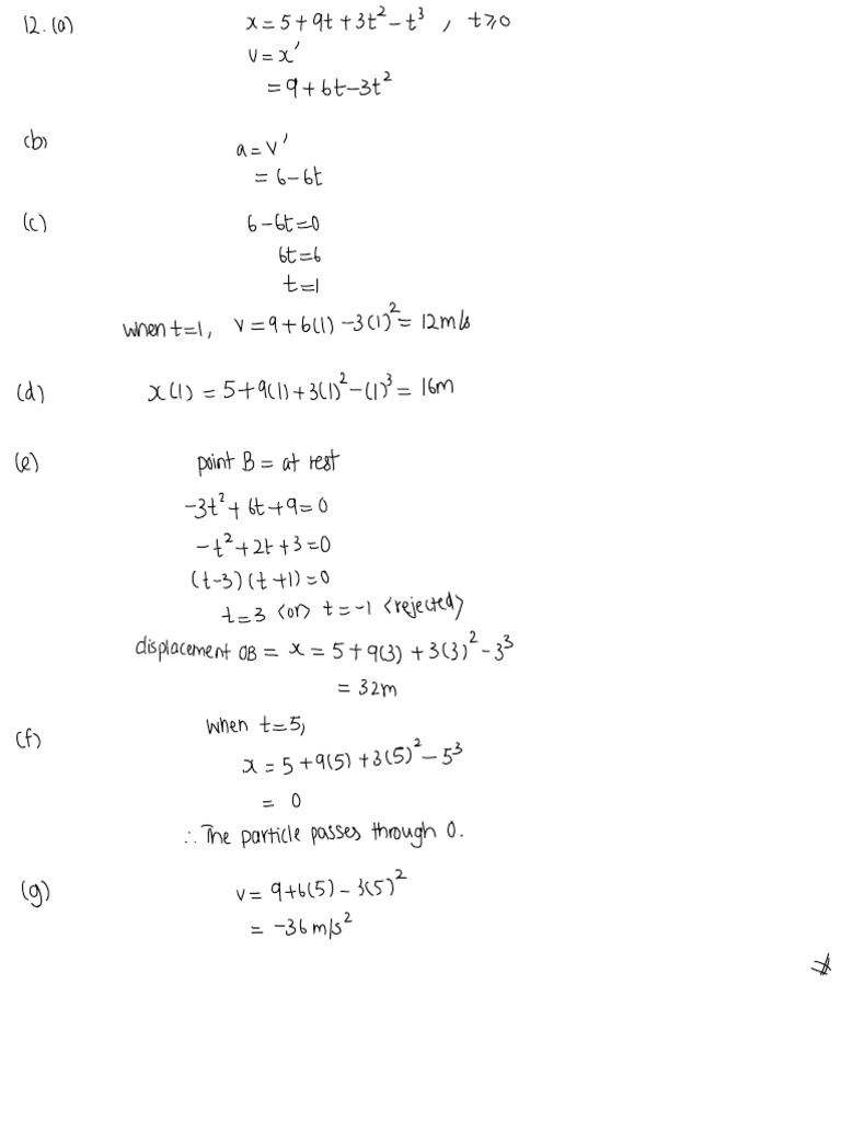
Sample Calculus Problems | PDF | Maxima And Minima | Quadratic Equation
Sample Derivative Problems Quotient Rule For Calculus (w/ Step By Step
Practice Problems (Calculus) | PDF | Function (Mathematics) | Maxima ...
Calculus Example Problems Math Example-Trig Concepts-Working With
Solved Survey of Calculus M161 Practice Problems Page 2 of 9 | Chegg.com
Calculus II Practice Problems 1 x a)
SOLUTION: Calculus functions practice problems - Studypool
Calculus III Practice Problems For Exam 2:: I. Sections of Functions ...
Calculus 1 Study Guide with Formulas, Examples, Practice Problems and ...
Math Function Practice Problems | PDF | Function (Mathematics) | Outlier
Solve Calculus Problems Step-by-Step Online | Mathz AI Guide | Mathz AI
Mastering Functions: Practice Problems for Calculus Success | Course Hero
Calculus 1 Domain and Range Practice Set: Easy to Hard Problems - Studocu
Calculus I Exam 2 Practice Problems
SOLUTION: 25 examples of calculus problems and their answers and ...
Multivariable Calculus Practice Problems with Solutions
Calculus Problems And Answers
Calculus Problems Examples
BC Calculus - Practice Problems for Section 2.3 - Studocu
Solved 14 ADVANCED CALCULUS HOMEWORK PROBLEMS 5.2.) | Chegg.com
Calculus I Practice Problems 5: Answers Answer x
Calculus I Practice Problems 8 y 2
Test 3 Practice Problems - Calculus I | MATH 141 - Docsity
Calculus Limits and Functions Problems
SOLUTION: Practice problems of calculus - Studypool
Answers for Calculus Problems - Worksheets Library
Ap Calculus Calculus Problems Worksheet - Trigonometric Substitution ...
Calculus Problems Examples Complete Idiot's Guide To Calculus:
Example & Original Problems - Calculus Study Guide
Calculus I Practice Problems 6: Answers Answer y
Calculus Derivative Practice Problems
Calculus I Practice Problems 8: Answers y 2
Linear Functions and Tangent Line Problems - Calculus - Studocu
Calculus I Some Guide Problems | PDF
Calculus Problems
Calculus Problems (1) | Calculus | Analysis
100problems - Practice problems - Calculus 1 - Studocu
Discrete Math Sample Problems
Calculus Practice Problems | PDF
SOLUTION: Basic calculus solved problems - Studypool - Worksheets Library
Calculus I Practice Problems
Calculus Practice Problems for Exam #1: Continuity, Derivatives, Limits ...
Calculus 2 Practice Problems - CALCULUS 2 EXERCISE 2 Jhon Kevin Sabida ...
Finding Areas Between Functions: Calculus Practice Problems and ...
Basic Calculus Problems
Solved PRACTICE PROBLEMS IN CALCULUSFind the first | Chegg.com
Practice Problems for Calculating Derivatives of Various Functions ...
Derivative Practice Problems - MATH 1760 Functions and Differential ...
Functions practice problems - Tutorial sheet - YouTube
Math Analysis MATH101 Ch. 4 Extra Practice Problems - Studocu
Initial Value Problems for Vector-Valued Functions (1.5.2) | AP ...
Homework 1 - Limits Practice Problems and Solutions - Studocu
Math Section A: No Calculators Allowed - Practice Problems - Studocu
SOLUTION: Calculus: functions and their graphs, solved problems and ...
Precalculus Problems Worksheets Extra Math Practice Grade 2 Precalculus ...
Precalculus Problems
Practice Problems on Functions (Maths) | Algebra | Mathematical Logic ...
Practice Problems - Functions | PDF
SOLUTION: Calculus 1 sample problem and solution - Studypool
50 implicit differentiation practice problems with solutions advanced ...
A Problem of Function | 3 Different Methods to Solve - YouTube
CALCULUS 1. PRACTICE PROBLEMSdocx | PDF | Derivative | Tangent
Evaluating Functions Worksheet Pdf 15 Function Notation Algebra
Solved Problem 1 Solve the following basic calculus | Chegg.com
Basic Calculus Examples at Kenneth Mcgray blog
Write My Paper How To Solve A Calculus Problem 14 Effective Ways To
Evaluating A Function Worksheet - Adriansonfifth
Free Calculus Worksheets for homeschoolers, students, parents and teachers
Basic Calculus Exercises at Claire Ryder blog
Calculus Problem Set 1: Functions With Solutions. (Online) | PDF ...
Quiz & Worksheet - Fundamental Theorem of Calculus | Study.com
Math Exercises & Math Problems: Continuity of a Function - Worksheets ...
Calculus AB Practice Problems: Derivatives & Integrals
Function Math Examples
Calculus Worksheets With Answer Key 50+ Calculus Worksheets On Quizizz
Calculus Practice Problems: Limits, Functions, and Derivatives | Course ...
Introduction to Functions Practice Problem 2 - Calculus - YouTube
Math Exercises & Math Problems: Indefinite Integral of a Function
Math Exercises & Math Problems: Inverse Function - Worksheets Library
Calculus Practice Problems: Derivatives, Limits, and Functions | Course ...
Printable Function Math Word Problem Worksheets - Worksheets Library
2-Functions-problems - 1 PRACTICE PROBLEMS: PROPERTIES OF FUNCTIONS ...
Unlock the Function: Your Easy Guide
Math Exercises & Math Problems: Analysis of Functions, Properties ...
Applying the Math Section 2 Problems: Practice Before Webinar - Studocu
Multiplication and Division Word Problem Practice (VA Math SOL 3.CE.2)
MATH1720 Problem Set 7 - Logarithmic & Exponential Equations - Studocu
Evaluating Functions Introduction, Algebra 2, Examples and Practice ...
Derivative Practice Solutions - MATH 1760 Functions and Differential ...
[Solved] piecewise. Answer the following piecewise functions. Example ...
SOLUTION: PRACTICE PROBLEM - Differential Calculus: Operation of ...
Derivatives Practice Worksheet Math Exercises & Math Problems: Limit
SOLUTION: Integrals leading to inverse trigonometric functions with ...