Showing 120 of 120on this page. Filters & sort apply to loaded results; URL updates for sharing.120 of 120 on this page
Vertical & Horizontal Compression of a Function - Lesson | Study.com
Reciprocal function vertical compression and stretch - serysandiego
Solved Which equation represents a compression of the parent | Chegg.com
Horizontal Compression Equation of Transform Parabola - YouTube
SOLVED: If g(x) is the function obtained by a vertical compression of f ...
Quiz & Worksheet - Function Stretch & Compression | Study.com
Graphing Exponential Function with Stretch and Compression ...
Optimal compression function | Download Scientific Diagram
A) Type an equation of a function (can't be linear...
PPT - Function Transformations PowerPoint Presentation, free download ...
Function Transformations: Horizontal and Vertical Stretches and ...
SOLVED: Identify a horizontal or vertical stretch or compression of the ...
Horizontal Stretch and Compression - YouTube
Horizontal Compression - Properties, Graph, & Examples
Compression Spring Formulas at Jill Deleon blog
Compression Ratio Efficiency Formula at Carlos Snyder blog
GCSE Computer Science 9-1 OCR J276 compression principles
PPT - Parent Function Transformations PowerPoint Presentation, free ...
Vertical Compression - Properties, Graph, & Examples
Compression Physics Explained | Force Science Learning
Your Transformation Equation y = - a f(-( x ± h)) ± k - a = x-axis ...
Expansion/Compression of a Quadratic Function - YouTube
[FREE] Identify a horizontal or vertical stretch or compression of the ...
Compression and Expansion | Glenn Research Center | NASA
Compared with the graph of the parent function, which equation shows ...
Solved: The function f(x)=4^x-6 is transformed to function g through a ...
SOLVED: write the equation for g (x) if f (x) = x3 had a reflective ...
Transformation of Function
Determine a Vertical Stretch or Vertical Compression - YouTube
Solved: If g(x) is the f(x)=x after a vertical compression by 2/3 , a ...
53 pts!! The function f(x)= 7^x+1 is transformed to function g through ...
Isentropic Compression or Expansion
Compress or Stretch Function Horizontally: f(cx) - Expii
Solved Identify a transformation of the function f(x)=x² by | Chegg.com
Solved: If g(x) is the f(x)=x after a vertical compression by 1/2 , a ...
Choose the equation that accurately depicts the following ...
Physical Chemistry | The Compression Factor (Z) [w/1 example] - YouTube
Compression Spring Formulas: A Complete Guide - EngineerExcel
Solved: If g(x) is the f(x)=x after a vertical compression by 3/5 , a ...
Solved Ft′ft+Fb∗fb≤1.0 For combined compression and (one | Chegg.com
[FREE] Write an equation for the transformation of y=x vertical ...
(PDF) Equations for Compression Index Approximations
Transformation of Functions and Graphs | Easy Sevens Education
Compressions And Stretches of Functions | GeeksforGeeks
Horizontal & Vertical Expansions/Compressions (aka Stretches) of ...
PPT - 3.4 Graphs and Transformations PowerPoint Presentation, free ...
Graphing Techniques Transformations - ppt download
PPT - Algebraic Operations on Functions PowerPoint Presentation, free ...
Graph Functions Using Compressions And Stretches College HORIZONTAL
Vertical/Horizontal Stretch/Compression of Functions - YouTube
Graph Functions Using Compressions And Stretches College
The Math Blog: Transformations of functions
Logarithmic Functions - Formula, Graph, and Examples
PPT - Transformations of Functions PowerPoint Presentation, free ...
Horizontal Expansions and Compressions
Transformations of functions | PPTX
PPT - Graphing Absolute Value Equations PowerPoint Presentation, free ...
PPT - CHAPTER TWO PowerPoint Presentation, free download - ID:422924
PPT - Equilibrium of Concurrent, Coplanar Force Systems PowerPoint ...
PPT - “Speech Compression” PowerPoint Presentation, free download - ID ...
Stretches and Compressions - Wize Grade 11 Mathematics Textbook | Wizeprep
Stretches & Compressions - Maths: Edexcel A Level Pure Maths
Ex: Identify Horizontal and Vertical Stretches and Compressions ...
PPT - Vertical Stretches and Compressions PowerPoint Presentation - ID ...
fetrpractice - Blog
Horizontal And Vertical Graph Stretches and Compressions (solutions ...
2.5 Graphing Techniques; Transformations - ppt download
PPT - JH Review PowerPoint Presentation, free download - ID:6302961
Compressions And Stretches of Functions - GeeksforGeeks
PPT - Library of Functions PowerPoint Presentation, free download - ID ...
PPT - 2.7: Absolute Value Functions and Graphs PowerPoint Presentation ...
2.5 Transformations of Functions | PDF
Common Core Math: Writing Equations for Cube Root Functions with ...
Online course and simulator for engineering thermodynamics
Stretches and Compressions of Functions with Examples - Neurochispas
Shear Strength of Soil and Mohr-Coulomb Theory – Elementary Engineering
3) (15 pts) Consider the fixed temperature ratio Brayton cycle and the ...
4.1 quadratic functions and transformations
Centrifugal Compressor Equations at Esperanza Bruns blog
PPT - Administrasi PowerPoint Presentation, free download - ID:3553606
Lesson 1.3 - Transforming Linear Functions - Mrs. Hahn
PPT - Transformation of Graphs PowerPoint Presentation, free download ...
Stress, Strain & The Young Modulus | Edexcel AS Physics Revision Notes 2015
Compressing functions | Mathematics III | High School Math | Khan ...
Horsepower Required to Compress Air Equations and Calculator
Compressor Thermodynamics
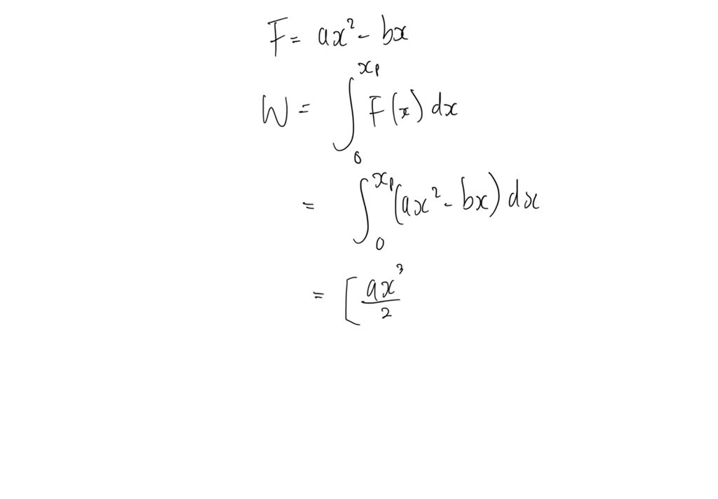
SOLVED: The force required to compress a non-standard spring as a ...
Transformations