Showing 120 of 120on this page. Filters & sort apply to loaded results; URL updates for sharing.120 of 120 on this page
fsdfsdfds fsdfdsf - Business Cat Meme Generator
How to pronounce fsdfdsf | HowToPronounce.com
Fsdfdsf Sticker - Fsdfdsf - Discover & Share GIFs
FSDFDSF | PDF
1. Módulo 8. Clase 1 - FSDFDSF - de Industrias ####### DIPLOMADO ...
fsdfdsf (5) | Cinestesia
fsdfdsf - ConneriesQc
fsdfdsf - Mind Map
fsdfdsf | BusinessChannel.ph
GUIA 6 tabla normal - fsdfdsf - Probabilidad z z El valor de la tabla ...
fsdfdsf
Analyse fable 3 - fsdfdsf - Premier mouvement : le désir du roi, la ...
fsdfdsf - YouTube
Kịch bản về Tính Trì Hoãn: Nguyên Nhân và Giải Pháp - FSDFDSF - Studocu
20Cont - fsdfdsf - CONTINUITÉ DES FONCTIONS Tout le cours en vidéo ...
fsdfdsf Meme Sound Effect Button for Soundboard by ...
FSDFDSF | PDF | Las emociones | Drogas
fsdfdsf fsdfdsfs - YouTube
Fsdfdsf worksheet | Live Worksheets
Esp summary - fsdfdsf fsdfsd fsdfdsf - Sa aming naging talakayan ...
fsdfdsf by victoria s on Prezi
Oscar Guerrero Paso2 - fsdfdsf - Paso 2 –Ejecutar el proyecto Oscar ...
fsdfdsf by CutoffOverdriveLimiter39386
Revisalo Hector GAA - fsdfdsf - 1. INTRODUCCION: El fútbol es uno de ...
Tarea 4 - fsdfdsf - Algoritmo y Estructura de Datos UNICIT tarea Turno ...
fsdfdsf - Wokwi ESP32, STM32, Arduino Simulator
Tema 9 FADE - fsdfdsf - FADE TEMA 9: ESTRUCTURA ORGANIZATIVA DE LA ...
Oferta TÉ Cnica - fsdfdsf - OFERTA TÉCNICA La consultoria para diseno ...
Manec ( Midterms) - FSDFDSF - Chapter 1: The Fundamentals of Managerial ...
fsdfdsf on Make a GIF
Exploring Diverse Cultures by fsdfdsf adfda on Prezi
02 01 2024 - FSDFDSF - SV11 024663 098079 20240103 DATOS DE LA FACTURA ...
fsdfdsf -爱奇艺
dfdfd. fsdfdsf | by Anton Jarl | Medium
GIỚI THIỆU MÔN NGỮ VĂN - fsdfdsf - 1. GIỚI THIỆU MÔN NGỮ VĂN Ngữ văn là ...
Cơ sở văn hóa - fsdfdsf - Qua việc nghiên cứu đề tài này chúng ta phần ...
FSDFDSF - YouTube
Btl chi tiết máy - fsdfdsf - TRƯỜNG ĐẠI HỌC GIAO THÔNG VẬN TẢI BỘ MÔN ...
Care map revised.NGN - dvdsvsd fsdfdsf d - Problem # ____ RECOGNIZE ...
Fsdfdsf Free Games online for kids in Nursery by sdfdsfs
1 - fsdfdsf - VĂN HOÁ A]KHÁI NIỆM 1/VĂN HOÁ PHƯƠNG ĐÔNG Thế giới phương ...
Calificado secundaria 1 ds sd ads dfsd fsdfdsf df - SISTEMA EDUCATIVO ...
Qui son els clients - ddsadf fsdfdsf - Qui son els clients? - No sempre ...
Square Cement Poles, Thickness: Fsdfsd, Fsdfdsf at Rs 545/piece in Bagasara
Protocolo - FSDFDSF - Usted ha sido elegido para formar parte de la ...
Tarea de estadisitica - fsdfdsf - Universidad Tecnológica del Perú La ...
NSTP 2 Weekly journal - fsdfdsf - Ryan Narag 1 BSBAMM NSTP 2 JOURNAL 2 ...
Fsdfdsf
sdfdsfs: fsdfdsf - YouTube
SSRN-id3467998 - sfdsfdsfg svdsfs fsdfdsf fdsf sdfds dfsfds - Tháng 9 ...
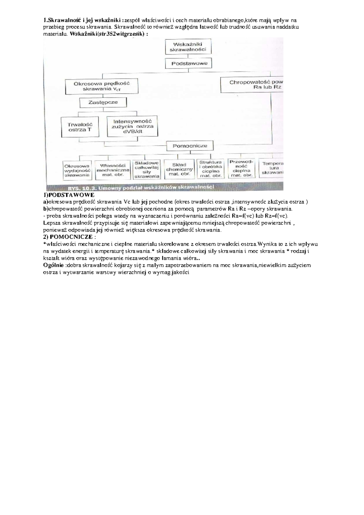
Skrawanie ćw 4-1 - fsdfdsf - 1ść i jej wskażniki :zespół właściwości i ...
fsdfdsf (@dsfsdf23431) | Twitter
Proposal Kegiatan - fsdfdsf - PROPOSAL KEGIATAN ISTIGHOSAH / DOA ...
Ss - aasa adsadfd dsfdf fsdfdsf ds dfvsf dsf ssd fsdf dsf ds sdfvdsf ...
Demografische Wandel by skdsd fsdfdsf on Prezi
Algerian Armed Forces | Page 65 | DefenceHub | Global Military ...
How to say "fsdfsdfsdfsdf"! (High Quality Voices) - YouTube
Filmdokumentation über den Friedenslauf „Flame for Peace“ | Aachener ...
Special Agent for Metal Fires Based Portable (Stored Pressure Type ...
fsdfdsf.fw_ Facultad de Medicina Universidad Nacional del Nordeste
Biologiste365 - Article Principal Bio test
fsdfdsf_高清1080P在线观看平台_腾讯视频
Toro Rosso – Οι καλύτερες κατατακτήριες της σεζόν – F1fan.gr
fsdfdsf.avi - YouTube
Commander des leds de puissances : application éclairage velo ...
Tokyo sushi-fsdfdsf - San Andreas State Police Frank Wiley Nazwa firmy ...
fsfdfs ai generated images - 88stacks
WRP - Brandschäden in der Branche - Strategien zur Vorbeugung und ...
كتابة محتوى بروفايل الشركات بأحترافية عالية - Al Wisam Marketing
Tarjeta de video ASUS Dual GeForce RTX 3050 OC Edition 6GB GDDR6, PCI-E ...
Amazon.com: Boho Affirmation Station Bulletin Board Motivational ...
Angelus Bio - C Repair - GloriaExports.com
Humanity | Inspirasi desain grafis, Referensi desain, Desain kaos oblong
Cordless Paint Gun Hi Tex - New Quality Ware
fsdfdsf醉拳 - YouTube
판사 출신 이현곤 변호사님 반응 - 유머/움짤/이슈 - 에펨코리아
Dự án phát triển cảng QT Cái Mép-Thị Vải - Tổng công ty Xây dựng trường Sơn
Fsdfjlsdk Fsdfdsf, Нахичевань, Азербайджан, место жительства, аккаунт ...
අතපත්තුගේ වීර ක්රියාවෙන් බංග්ලාදේශය පැරදවූ ශ්රී ලංකාවට අවසන් පූර්ව ...
Paraná vai receber evento internacional de Indicações Geográficas e ...
Rác từ biển trôi dạt vào khu du lịch Quảng Ninh
Medium Heart Locket in 14K Yellow Gold - Besttenethome
Quảng Ninh dẫn đầu chỉ số PAPI 2024
Ponderosa students earn top honors at MESA regional competition at ...
Brigada Estatal de Búsqueda de Desaparecidos-Baja California - Revista ...
Una nevada abriga con varios centímetros de nieve Bembibre
sdfsd — Teletype
STL file PJ Mask - Cat Boy - Cookie Cutter 🐱 ・Model to download and 3D ...
TQ - Lắp Mạng Internet Wifi Cáp Quang Viettel 2023 | Page 3 | VOZ
Chapitre 1 - fdsfdsfds - CHAPITRE 1 : Quels sont les sources et les ...
Τίτλοι τέλους για την Instashop στην Ελλάδα | Banks.com.gr
For Sale | Arne Jacobsen Swan chair in whisky classic leather