Showing 118 of 118on this page. Filters & sort apply to loaded results; URL updates for sharing.118 of 118 on this page
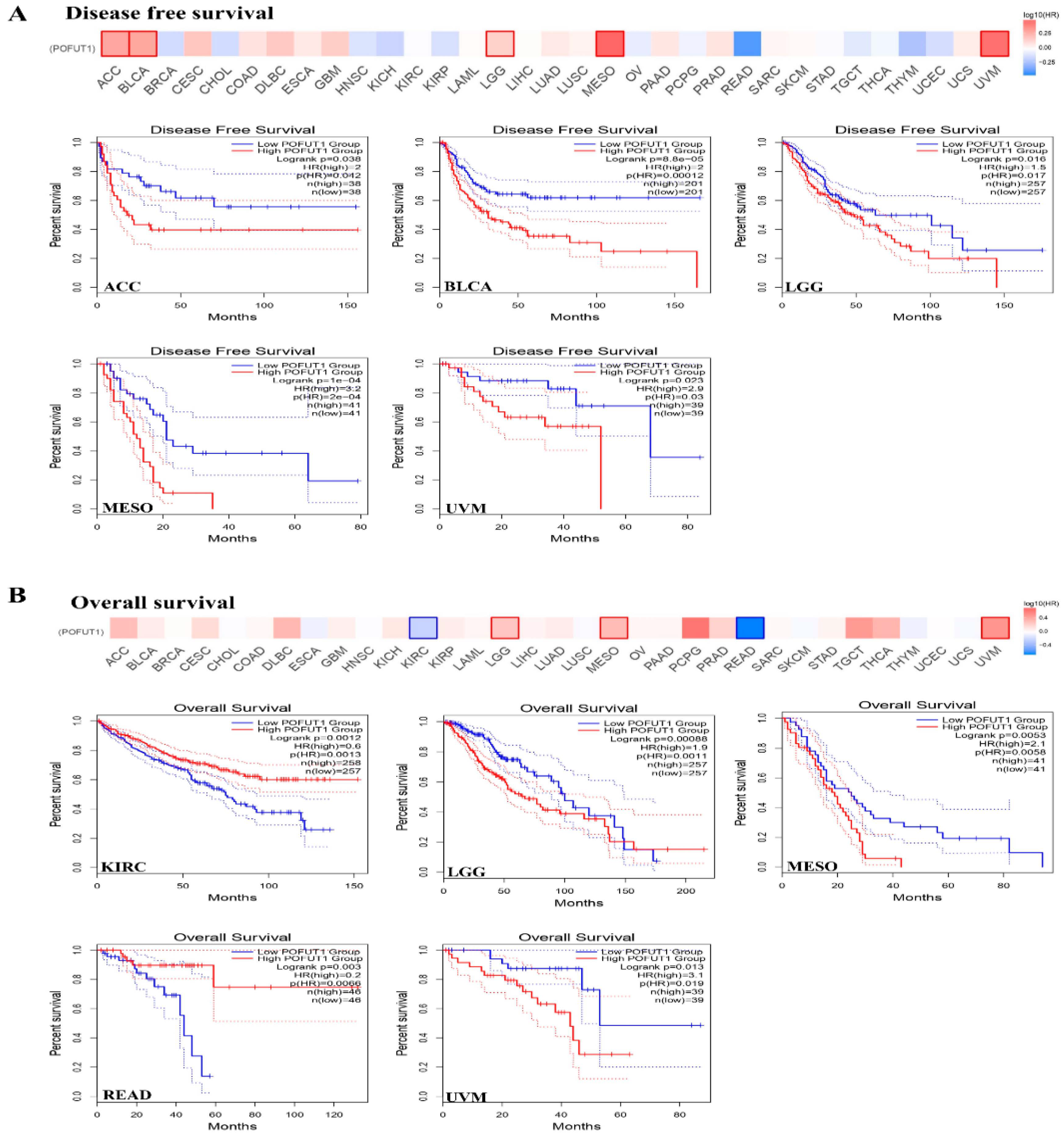
Comprehensive Pan-Cancer Analysis Identifies POFUT1 as a Prognostic ...
Sepsis in the Emergency Department: Different Faces, Same Fate? A Sex ...
Comparison between Oncotype DX test and standard prognostic criteria in ...
Frontiers | TNFSF10: A Promising Prognostic Biomarker and Therapeutic ...
$IBTA I post a lot about commodities. Very little about other stuff ...
Prognostic factors in the surgical treatment of non-functioning ...
Prognostic Implications of Physiologic and Radiographic Changes in ...
Inflammatory Biomarkers in Cerebral Venous Thrombosis: Prognostic ...
Prognostic Diagram: Analyzing Seabird Populations and Economic Factors ...
Palpites Marseille x Nice em 26 de Abril • Liga 1 - Campeonato Francês ...
Frontiers | The Prognostic Value of the CALLY Index in Sepsis: A ...
POSSIBLE DIAGNOSTIC AND PROGNOSTIC ROLE OF microRNA-122 IN ...
Glioma | Prognostic role of delta radiomics in pediatric pontine ...
Advances in myeloma genomics: characterizing structural variation and ...
Análise e Prognósticos: West Ham x Everton
Bahia x Santos Palpites - Prognóstico do Brasileirão Série A - 25/04
Heparin Responsiveness In Vitro as a Prognostic Tool for Vascular Graft ...
MRI before prostatectomy isn’t just staging… it’s prognostic. New meta ...
Prognóstico Linda Noskova - Emiliana Arango - Odds & Estatísticas - 24 ...
Betis - Real Madrid: Prognósticos, melhores apostas e odds | Flashscore.pt
Prognóstico FC Felgueiras 1932 UD Leiria - Segunda Liga - 25/04/26
There is probably no established treatment regimen specifically for # ...
Palpite Toronto Raptors x Cleveland Cavaliers - NBA - 23/04/2026
Sporting - Casa Pia: Prognósticos, melhores apostas e odds | Flashscore.pt
Sjeverac okreće na jugo: Prognostičar objavio što nas čeka u Zagorju ...
Remo x Cruzeiro Palpites - Prognóstico do Brasileirão Série A - 25/04 ...
Santos x Internacional palpites- Prognóstico do Campeonato Brasileiro ...
Exciting new real-world data from #ChaeLab @NorthwesternMed on the ...
Prognóstico Sunderland - Nottingham: são esperados poucos gols
Palpite Minnesota Timberwolves x Denver Nuggets - NBA - 23/04/2026
Heading to #AACR2026 in San Diego. Here's what I'm watching in a # ...
Prognóstico Botafogo - Internacional. Brasileirao Serie A | 25/04/2026
In early TNBC, at ~86 months follow-up: • iDFS HR 0.56 • DDFS HR 0.41 ...
Atalanta x Lazio Prognósticos, Estatísticas e Odds
Prognóstico Napoli - Cremonese: Napolitanos na luta pelo vice
Prognóstico IA: Homburg vs SG Barockstadt Fulda-Lehnerz - 25/04 - Liga ...
Inflammation is a hidden threat in CVD.¹,² But it leaves a trail. You ...
Time-dependent diffusion MRI as in vivo histology: microstructural ...
Quick Flash Cards - Division
I didn´t realize it was this high. if 20-30% of heart attacks are in ...
Prognóstico Spring Hills FC - Melbourne Victory FC Youth - Odds ...
Adults with Fontan circulation: prognostic value of exercise pulmonary ...
Prognóstico Atlanta Hawks NY Knicks - NBA - 23/04/26
Frogtastic 2 | NuMuKi
Table 1 from Review for time-dependent ROC analysis under diverse ...
Frogtastic | NuMuKi
Frogtastic - Play for free - Online Games
You Are Frogtastic Screen Printed Tea Towel Frog Kitchen Decor ...
Frogtastic: Play Frogtastic online for free now.
Frogtastic Multiplication
Frogtastic free of ads
I’m Feeling Frogtastic 5x7” Art Print - Etsy
Frogtastic - Play Frogtastic Game For Free
Frogtastic: Exciting Zuma-Inspired Puzzle Adventure
Frogtastic 2 - Play Online on Flash Museum 🕹️
Frogtastic - Δωρεάν Online Παιχνίδι | FunnyGames
Frogtastic (由 CodeThisLab):网上免费玩 Playhop
Frogtastic Game Online - Play Free
Frogtastic Frogs - Enamel Pins Project Update: Frog update #9 - Thank ...
You Are Frogtastic Art Print Digital Download - Printable Artwork ...
Frogtastic Marble Adventure | Zuma Games 🕹️ Play For Free Online Now
Feeling Frogtastic
Frogtastic by Michelle Belisle | DigitalScrapbook.com Digital Scrapbooking
FROGTASTIC - Play FROGTASTIC on Humoq
Frogtastic - Free Play & No Download | FunnyGames
Get Frogtastic Marble Adventure - Microsoft Store en-IN
QuotesAndWisdom.com - Quote: You are frogtastic
Frogtastic! by RudyTime on DeviantArt
Fronk
Frogtastic - AI Generated Artwork - NightCafe Creator
Frogtastic 1 | PDF
Frogtastic - Play Online on Flash Museum 🕹️
T shirt design i am frogaholic with frog and gray Vector Image
Frogtastic Journey Latest Version for Android/iOS - TapTap
Home | Frogulism
FROGTASTIC - Play Frogtastic Online on Friv Original
Frogtastic APK for Android Download
Frogtastic 2 - Play Now 🕹️ Online Games on UFreeGames.org
Frogtastic Journey android iOS apk download for free-TapTap
Frogtastic
Frogtastic Juega en línea
Frogtastic - Play The Free Game Online
Your Best Fronic by Abbysek on DeviantArt
Frogtastic Faces Fabric | Spoonflower
Premium Photo | Frogtastic Adventures A Charming Disney Cartoon Creation
Ani20/Z - Frogtastic Frogs - Just Sew Penrith
Frogtastic Marble Adventure
Frogtastic 2 Game Online - Play Free
Frogtastic - Gry dla dziewczyn
Frogtastic Walkthrough - YouTube
How to make Frognoise - YouTube
Faunagenic - Pluralpedia
Frogtastic | Game Walkthrough Review - YouTube
Frogtastic 2 Game - FlashStorage.games
Frogust: the bridge between Summer Joust and SHIPtember [Feature] - The ...
Play Frogtastic Game Online (Free and Full Screen) | MSN Play
Play Frogtastic Online Game For Free at GameDizi.com
Frogtastic | Walkthrough - YouTube
Frogtastic Puzzle APK for Android Download
Frogtastic (van CodeThisLab): speel gratis online op Playhop
Frogtastic (by CodeThisLab): Play Online For Free On Playhop
protag of frogtastic | Childhood games, Childhood memories, Childhood ...
Play Frogtastic 2 Online Game For Free at GameDizi.com