Showing 120 of 120on this page. Filters & sort apply to loaded results; URL updates for sharing.120 of 120 on this page
Limit - Formula List | PDF
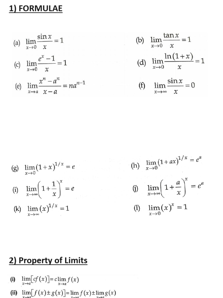
In Figure List Of Limit Formulas Are Shown - Class 11 Limits Formula ...
Limit Formula - GeeksforGeeks
Limit Formula - What is Limit Formula?, Examples
(PDF) A regularized extraction formula in the enclosure method
SOLUTION: A MATH FORMULA EXTRACTION AND EVALUTION FRAMEWORK - Studypool
Frequency domain feature extraction extremely calculation formula ...
Example of the formula extraction | Download Scientific Diagram
Mathematical Formulas Extraction | PDF | Formula | Teaching Mathematics
Extraction Theory Formula – Extraction Data Examples - AEROH
15 a) The estimation of the (m/q) limit for the proper extraction of ...
Open-pit&underground extraction limit and optimal ultimate pit depth ...
limit formula | Writing words, Maths algebra formulas, Algebra formulas
Solved In the formula (below) used for extraction FA is _and | Chegg.com
Fixing Cell Data Size Exceeds Limit Error in Apify Data Extraction | Clay
2020-06-05: Math formula extraction from scholarly papers using ScanSSD
BASIC IMPORTANT FORMULA OF LIMIT #limits #jee #maths #jeemaths #class12 ...
Limits - Formula Sheet | PDF
Limits Formula Sheet - Chapter 13 Class 11 Maths Formulas - Teachoo
Limits Formula » Formula In Maths
PPT - Solvent extraction PowerPoint Presentation, free download - ID ...
Feature extraction formulas for maximum, minimum, mean, and median ...
Answered: In liquid-liquid extraction process,… | bartleby
PPT - Solvent extraction PowerPoint Presentation, free download - ID:655864
Analytical Chemistry -→ Extraction Problem. Use the | Chegg.com
Extraction Ratio Calculation at Janelle Hernandez blog
PPT - ERT 313 BIOSEPARATION ENGINEERING EXTRACTION PowerPoint ...
PPT - Extraction Techniques for Purification of Chemical Mixtures by Dr ...
Liquid liquid extraction sy 2014 | PPT
Excel Formula Extraction: How to Find & Extract Formulas in Excel - YouTube
Extraction Efficiency Calculator - Calculator Doc
Figure 1 from Mathematical formulas extraction | Semantic Scholar
2 Total daily extraction limits (ML/day) | Download Table
Limits - Formula Sheet | PDF | Trigonometric Functions | Angle
Limit Theorems || Basic Limit Formulas || Limit Results || Limit of ...
Limit Formulas - Calculus 1 - YouTube
Limits Formula Sheet (Properties, Formulas, Conditions for Continuity)
Solved Using the formula below, determine whether or not it | Chegg.com
Limit Using Expansion: Formula, Series
Chemical Design of Extraction Column | PDF
Limit Formulas | Limit (Mathematics) | Trigonometric Functions
Bitumen Extraction Test | PDF | Building Materials | Materials
Limit Equation
Why can’t I use my method to evaluate this limit of a real function ...
🔄 BREAK VLOOKUP Limits: Extract Multiple Columns with 1 Formula in ...
Overview of the genetic algorithm for formula extraction. | Download ...
limits formula class-11 #maths - YouTube
PPT - Quantifying the Extraction of Energy from Moving Water with a ...
Solved The theoretical limit for extracting solute S from | Chegg.com
Limits Formula Sheet Handwritten | PDF
Calculation Details For Extraction Yield Equations With Interstitial ...
SOLUTION: Limits mathematics formula notes - Studypool
Liquid-Liquid Extraction - Chemical Engineering | Page 1
Big - Glycerin vs Ethanol vs Oil Which extraction unlocks the most ...
Limits Formula For 11th Class » Formula In Maths
Financial Data Extraction functionality in Sage X3
Factor levels of extraction parameters. | Download Scientific Diagram
Extraction efficiencies, blank values and detection limits of the ...
Limit Formulas | PDF
SOLUTION: Formulas limit converted - Studypool
Solvent Extraction with Example ||Chapter 2||F.Sc Chemistry Part-1 ...
Trying to Extract Data from a Table in a Formula and Hitting a Pack ...
Limits Formula | PDF | Complex Analysis | Trigonometry
(a) Application procedure of fitting function to extract (q c ) limit ...
How do you calculate extraction efficiency?
Basic Limit Formulas | Class 12th [Hindi] - YouTube
evaluating-limits-2 | Math quotes, Math formula chart, Math formulas
Limits Formula | PDF
Limit Math Questions and Answers PDF [2026] - Poly Notes Hub
basic formula of limits #theorems of limits #maths formulae #limits of ...
GitHub - gipplab/chem_formula_extractor: The chemical formula ...
Equations for calculation of extraction rate constant (y) as a function ...
Formulas Of Limits Solution
PPT - Solvent Selection for Separation PowerPoint Presentation, free ...
Extractables and leachables in pharmaceutical packaging
Limits in Maths - Definition, Types, Functions, Properties and Questions
Liquid–Liquid Extractions
PPT - Chem. 231 – 2/11 Lecture PowerPoint Presentation, free download ...
[Solved] 4. When performing extractions it is often better to do ...
Calculus All-in-One For Dummies Cheat Sheet | dummies
Maths Formulas - NCERT Maths Formulas For CBSE Class 6 to 12
Calculus Limits Comprehensive Formulae
Calculus Cheat Sheet: Derivatives, Integrals, Limits (PDF) | Calculus ...
Ray on HubPages
2.1 Rates of Change and Limits - ppt download
Limits Formulas | PDF
How to Use the FILTER Function in Excel
Formulas Clipart Math Note Pattern Collection Of Free Download, Label ...
Figure 12 - Examples Liquid-Liquid-Extraction
SOLUTION: Limits formulas - Studypool
Formulas of Useful Limits | PDF
GitHub - alandgmendes/excel_extraction_formulas_facilitadora
OrgoSolver
7.7: Liquid-Liquid Extractions - Chemistry LibreTexts
Factors Influencing Yields in Extraction, Part I: Understanding the ...