Showing 120 of 120on this page. Filters & sort apply to loaded results; URL updates for sharing.120 of 120 on this page
Differentiation from First Principles | TI-30XPlus MathPrint calculator ...
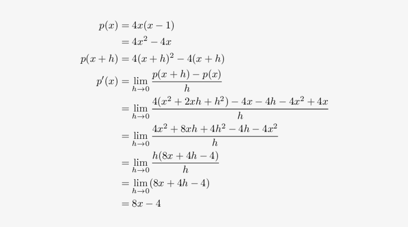
First Principle Differentiation Calculator
First Principle Differentiation Calculator - Amyrilrerrano
Finding the Derivative from First Principles - AS Level/Year 12 ...
Differentiating Using First Principles | CALCULUS | year 1 - YouTube
How to Differentiate by First Principles – mathsathome.com
Calculus - differentiation by first principles - YouTube
First Principles Formula. How To Differentiate x^2 From First ...
Differentiation From First Principles | A-Level Maths - YouTube
Solved 1. Calculus: First Principles Find by first | Chegg.com
FIND DERIVATIVES - By Using FIRST PRINCIPLES || Solved problems || Easy ...
Differentiation from First Principles Formula, Derivation
Differentiating from first principles - YouTube
Differentiation from First Principles | a2-level-level-revision, maths ...
DIFFERENTIATING USING FIRST PRINCIPLES EXAMPLE 1 - YouTube
Calculus The First Principles Formula - YouTube
ten Differentiation from first principles - YouTube
Solved 3. ) Use First Principles differentiation formula to | Chegg.com
💯 The First Principles Differentiation | Derivative from The First ...
GraphicMaths - Differentiation from first principles - a to the power x
First Principles Explained - Calculus Lesson 1 (A-LEVEL Y1) - YouTube
Differentiation from First Principles General Formular with Worked ...
Solved (a) Use the method of first principles to determine | Chegg.com
Using the first principles find the | StudyX
Practising First Principles Differentiation - YouTube
Solved Use the method of first principles to determine the | Chegg.com
Solved (1) using first principles that is, by considering | Chegg.com
Solved (a) Use the method of first principles to determine | Chegg.com
First principles calculations
First Principles Fractions - YouTube
Solved Practice first principles 1. Use the first principles | Chegg.com
Applying First Principles to x² (1 of 2: Finding the Derivative) - YouTube
Differentiation From First Principles | Teaching Resources
First Principles Example Two - YouTube
Differentiation from first principles - Example 1 - YouTube
Differentiation From First Principles | Free Homework Help
UNIT1 First principles definition.png - Example 1: f x = = g —— A ...
differentiating by first principles - YouTube
Download If , Determine Using First Principles - Calculus First ...
Calculus: First principles – GeoGebra
Differentiation from first principles – Miss Norledge's Storeroom
Differentiation from first principles – GeoGebra
First Principles Estimating - Cost Estimator
first principle fx = 2x+2 | First principle, Maths solutions, Principles
Calculus: Differentiation using First Principle - YouTube
Solved: Differentiation from first Principle 4 marks Calculate the ...
Differentiation by First Principle method (Calculus) - YouTube
How to get Derivatives using First Principles: Calculus - YouTube
Differentiation by First Principle | Calculus Introductory Class 1 ...
Solved 1. Find, from first principles, the first derivative | Chegg.com
Differentiating using First Principle (Differentiating a quotient using ...
First Principle of Derivatives | GeeksforGeeks
How to Find derivative by the first principle || Derivative using First ...
Using the First Principle Method, try to find the derivatives of the ...
More examples of differentiating from first principles. - YouTube
How to Find Derivatives Using First Principle
First Principle of Derivatives- applications and solved examples ...
SOLUTION: Finding derivative using first principle - Studypool
Find the Derivative by using First principle rules | 2nd year math ...
First Principle Formula | PDF | Derivative | Logarithm
Solved 12. Using the first principle formula. A simplified | Chegg.com
Solved 23. Using first principles, determine the derivative | Chegg.com
SPM (Add Maths) Differentiation by First Principle Rule - YouTube
Solved (a) Apply first principles, to calculate the | Chegg.com
Differentiation using first principle y = x^2 | Differentiation using ...
How First Principle Works | Differential Calculus | - YouTube
SOLUTION: Differentiation using first principle method - Studypool
calculus - How to find the derivative using first principle formula ...
Calcverter Archimedes Principle Calculator
First Principle Method --Learn how to differentiate with first ...
3. The First Principle – MathsMethods.com.au
Solved (4 marks) Q2 (a) Using the First Principle method, | Chegg.com
1st Principles TYS 1 - solns
Solved Question 1 a) Using the method of first principle | Chegg.com
First principle method for differentiation is a process for finding ...
Who Invented the First Calculator? Exploring the Revolutionary Mind ...
First Principle differentiation of y = 1/(2x +1) | Derivative by First ...
Use FIRST PRINCIPLE RULE TO DETERMINE THE DERIVATIVE OF The FUNCTION ...
DIFFERENTIATION Using First principle method #maths #thenumbernook ...
Find from first principles, the derivatives of | Filo
Fundamental Counting Principle Calculator | Find Total Possible Outcomes
PPT - Efficient Estimation of Vibrational Thermodynamics from First ...
The first lesson that needs to be mastered in first-principles ...
Solved 28. Using the method of "First Principles" and | Chegg.com
PPT - Maths Aim Higher PowerPoint Presentation, free download - ID:391618
PPT - Standards PowerPoint Presentation, free download - ID:1653546
125 questions with answers in FIRST-PRINCIPLES CALCULATIONS | Science topic
PPT - Yoshida Lab M1 Y oshitaka Mino PowerPoint Presentation, free ...
A summary of the results from the first-principles calculations ...
PPT - First-Principles Calculation of YBa2Cu3O6+y Electronic Properties ...
PPT - The crystal structure of the III-V semiconductors PowerPoint ...
Typical workflow for first-principles calculations of point defects ...
The Invention of the Calculator: A Comprehensive History - The ...
a–f) First‐principles calculation results, illustrating the chemical ...
PPT - Yoshida Lab Tatsuo Kano PowerPoint Presentation, free download ...
Conditions of first-principles calculations. | Download Scientific Diagram