Showing 120 of 120on this page. Filters & sort apply to loaded results; URL updates for sharing.120 of 120 on this page
PPT - Filter Design and Applications PowerPoint Presentation, free ...
Design A Filter at Jenny Abate blog
Basic Filter UI Design Elements
Filter UI Design tutorial: Mastering filtering user experience (might ...
19+ Filter UI Examples for SaaS: Design Patterns & Best Practices
T and pi filter design - tolfsociety
Filter Design #28. How to Design Capacitively End-Coupled Half ...
PPT - Active Filter Design Techniques - 2 PowerPoint Presentation, free ...
Filter Design Part 10. How to Design a Bandpass Filter Using Lumped ...
Butterworth Filter : Design of Low Pass and High Pass Filters - YouTube
Analog Filter Design - FDI Online Design Guide
Filter Design Part 11. How to Design Bandpass Filter BPF with Top ...
Online Filter Calculator: Filter Design Tool – WARRMX
How to Design a Modern Filter UI in Power Apps - YouTube
Web Filter Design 8 Guidelines For Search Bar & Filter Design
Filter Design #14. How to Design a Tapped Inductor Bandpass Filter, BPF ...
Bandpass Filter Design Tutorial: Low Pass Prototype Elements
Filter Design Made Simpler with Filter DesignGuide - YouTube
Filter Design In Css at Jason Lyon blog
Advanced design System #ADS - Getting Started [ Low pass filter design ...
A Guide to designing Better Filter UI Compponents | UI/UX Design Tips ...
Mobile Filter UX Design Patterns and Best Practices
Types Of Filter Design - Design Talk
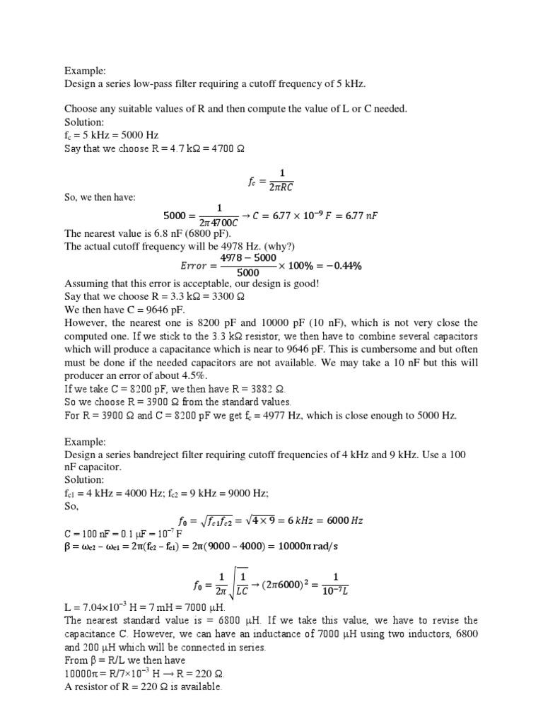
A filter design example
Filter Design Guide
Dual Media Filter || Design & Working Principle of Dual Media Filter ...
Filter Design Tables at Garry Richmond blog
Filter design – Artofit
How to Design a Low-Pass Filter | EMA Design Automation
Web Filter Design
Design Tutorial of Waveguide Iris Bandpass Filter - YouTube
Filter Design and Analysis - MATLAB & Simulink - MathWorks India
What Is The Purpose Of Filter Design at Katrina Berg blog
Filter Design Theory at Erminia Heavner blog
Filter UX Design Patterns - Analysis & Best Practices | Filters, Best ...
iir filter design solved problems
Filter Design Simulator at Lucile Hart blog
How to design modular DC-DC systems, Part 2: Filter Design - Electrical ...
How to Design Lowpass Filter (LPF) with λ/8 Microstrip Open-ended Shunt ...
Simple low-pass filter design
Low Pass Filter Simulation for Your PCB Design
Two general phases of proposed method for filter design | Download ...
The Diameter-Length Tradeoffs of Filter Design
Digital filter design for the low-pass filter (a) and the bandpass (b ...
Step-by-step Design of third Order cavity Bandpass Filter for 0.9GHz ,2 ...
Hypex Filter Design
Low Pass Filter design – Engineering Radio
PPT - CHAPTER 7 Digital Filter Design PowerPoint Presentation, free ...
How to Design Notch Filter Circuit with Calculation | Wira Electrical
Low Pass Filter Design - RF and Microwave Engineering - Lecture Slides ...
PPT - Low-Pass Filter Design Example PowerPoint Presentation, free ...
Polyphase Filter Design | Tutorials on Electronics | Next Electronics
Filter Design for Engineers | PDF | Hertz | Electronic Filter
Build a Programmable Low-Pass Filter Design Using A Digital Pot And ...
How to Design High-Pass and Low-Pass Filter Circuits Quickly – Homemade ...
Low pass filter design using Hamming window for M=7. - YouTube
Filter Design Studio at Carly Decosta blog
How to Design Notch Filter Circuit with Calculation – Wira Electrical
EHB372E Week-7 : Filter Design
Cavity Notch Filter Design at Anna Kowalski blog
Low pass pi filter design - fertmember
Efficient Microwave Filter Design by a Surrogate-Model-Assisted ...
Integrated Filter Design for Analog Field Mill Sensor Interface
Low Pass Prototype to Low Pass and High Pass Filter - RF Filter Design ...
Low Pass Filter Design | PDF | Low Pass Filter | Bandwidth (Signal ...
High-Pass Filter Design | Tutorials on Electronics | Next Electronics
Day 1249・Filter UI Components Design :: Behance
Introduction to Discrete Filter system Design.pptx
Unlocking the Power of Filter UI Design: Use Cases and Examples by ...
A Guide to Designing Better Filter UI Components
15 Hacks to Build Ultimate Filter UX/UI
Filtering UX – Smart Interface Design Patterns
Filter Basics Part 2: Designing Basic Filter Circuits
Pi filters design - wolfflat
Design of Filters - Structville
Electronic Filters Design Guide | Theory, Numerical Recipes Practice ...
Key Points in the Selection and Design of Filters for Ventilation and ...
How to Design Microstrip Bandpass Filter, BPF with Quarter-Wave λ/4 ...
Low Pass Filter - Design, Schematic, advanced guide - SM Tech
Coupled Resonator Bandpass Filter at Edward Call blog
Design of Active High and Low Pass filter. | Download Scientific Diagram
Complex Filters UX – Smart Interface Design Patterns
ltspice - How to properly design LC bandpass filters? - Electrical ...
Low Pass Filter Tutorial at Glenda Rutkowski blog
Filter Basics 11: What Are S-Parameters and What Can They Tell Us About ...
Final versions of the filter designs and their respective updated ...
Complex filters - ux/ui best practice by Miri on Dribbble
【Matlab】如何使用Filter Design设计低通、高通、带阻滤波器_matlab高通滤波-CSDN博客
Filters Example from Aavi Mobile App UI Kit
PPT - Lecture 19 High Pass Filters, 2 nd Order Filters, Active Filters ...
Advanced Filtering by Jon Moore on Dribbble
AC Filters | Design, Criteria, and Types - Engineeringa2z
PPT - EE513 Audio Signals and Systems PowerPoint Presentation, free ...
Low Pass Filters | Design, Types, Applications | DOREXS