Showing 120 of 120on this page. Filters & sort apply to loaded results; URL updates for sharing.120 of 120 on this page
Fibonacci sequence and recursion | Software Development Notes
PPT - Recursion - Fibonacci PowerPoint Presentation, free download - ID ...
Fibonacci Sequence - Anatomy of recursion and space complexity analysis ...
Fibonacci Series and Recursion Explained: A Python Guide from Basics to ...
[SOLVED] The Fibonacci sequence is defined by the recurrence relation ...
Fibonacci Series Using Recursion In C (+Detailed Examples) // Unstop
Solved Solve the recurrence relation for the Fibonacci | Chegg.com
Solved 1. The Fibonacci sequence is given by the recursion | Chegg.com
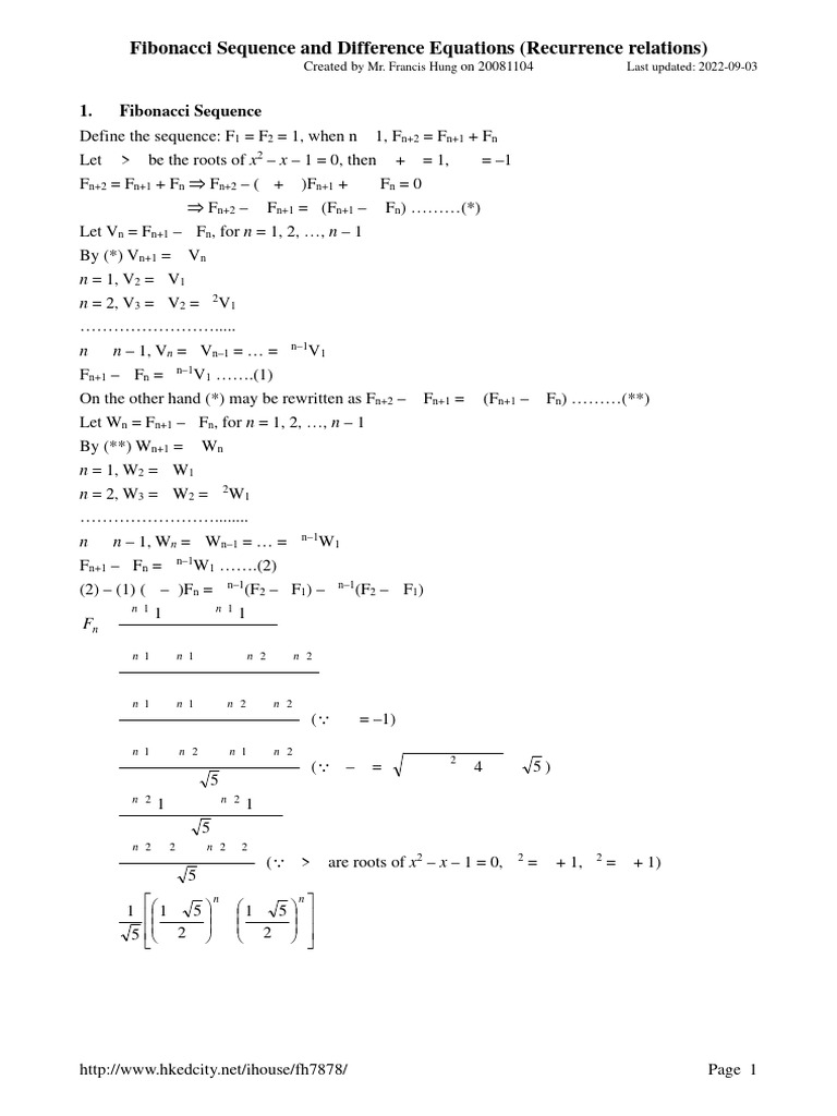
Fibonacci | PDF | Equations | Recurrence Relation
Fibonacci Sequence Difference Equation | PDF | Recurrence Relation ...
Fibonacci Series using Recursion in C with Examples - Dot Net Tutorials
Solved For the Fibonacci sequence, with the recursion | Chegg.com
Fibonacci | PDF | Recurrence Relation | Mathematical Relations
The Rabbit Hole of Fibonacci Sequences, Recursion and Memoization
Time Complexity analysis of recursion - Fibonacci Sequence - YouTube
Fibonacci Series in C Using Recursion
Fibonacci through recursion - YouTube
Solved 37. Solve the Fibonacci recurrence relation | Chegg.com
[Solved] Consider the recurrence relation for the Fibonacci sequence ...
Fibonacci series generation with recursive relation | Download ...
Recursion and Fibonacci Series | PDF | Applied Mathematics | Software ...
Solved Refer to the recurrence relation for the Fibonacci | Chegg.com
discrete mathematics - Fibonacci recurrence relation - Principle of ...
Solved a. Give the recurrence relation for Fibonacci | Chegg.com
FIBONACCI SERIES USING RECURSION
How recursive relation works internally || Recursive Tree| Fibonacci ...
Find Fibonacci sequence number using recursion in JavaScript | sebhastian
Recursion Algorithm - Fibonacci - step by step guide - YouTube
PPT - Power of Recursion in Coding PowerPoint Presentation, free ...
scheme - Fibonacci Tree-Recursion in Structure and Interpretation of ...
Sequences 3: Recurrence Relations & the Fibonacci Sequence - YouTube
PPT - Recursion PowerPoint Presentation, free download - ID:1770430
What Is The Time Complexity Of Following Fibonacci Series
Solving Recurrences Example - Fibonacci (Recursion-Tree Method) - YouTube
Python: Recursion Damian Gordon. - ppt download
PPT - Recursion PowerPoint Presentation, free download - ID:6905108
5 - Modelling with Recurrence Relations - Fibonacci numbers - #Shorts ...
Fibonacci Sequence Formula 1. Consider The Fibonacci Sequence Called
Recurrence Relation (Hindi) - Computer Geek
Geometric Representation of Fibonacci Sequence | PPT
Fibonacci Spiral Equation The Fibonacci Sequence And Linear Algebra
SOLVED: Q5. Below is the code for the Fibonacci sequence. Write a ...
Fibonacci Sequence - Definition, Formula, List, Examples, & Diagrams
Recurrence Relations: Solution to the Fibonacci Recurrence (Example 2 ...
Recurrence Relations Part 15 Fibonacci Sequence. - YouTube
Recurrence Relation - GCSE Maths - Steps And Examples
A Python Guide to the Fibonacci Sequence – Real Python
PPT - CSCI2110 Tutorial 7: Recursion PowerPoint Presentation, free ...
Fibonacci | PPT
Binet formula: explicit formula for Fibonacci sequence derived from ...
PPT - RECURSION PowerPoint Presentation, free download - ID:498478
Functions using Recursion. Fibonacci series using recursion… | by ...
Recursion, Fibonacci Sequence - Discrete Mathematics - YouTube
PPT - A Review of Recursion PowerPoint Presentation, free download - ID ...
PPT - Recursion PowerPoint Presentation, free download - ID:2397749
Introduction to Recursion - GeeksforGeeks
Algorithms: Fibonacci Sequence
Solved The Fibonacci sequence can be defined by the linear | Chegg.com
5.13 Recursion Recursive functions Functions that call themselves - ppt ...
PPT - Fibonacci PowerPoint Presentation, free download - ID:9564685
Program for Fibonacci numbers - GeeksforGeeks
5 Tips for Making Sense of Recursion – The Renegade Coder
4 Linear Recurrence Relations & the Fibonacci Sequence - DocsLib
Understanding Fibonacci Recurrence Relations | Coconote
PPT - Understanding Function, Recursion & Analysis in CSE Lecture ...
Solved The time complexity of the recursive Fibonacci | Chegg.com
PPT - Recursion PowerPoint Presentation, free download - ID:5868541
Solved 2. "Fibonacci" (a) State the recursive relation for | Chegg.com
Fibonacci series & comparision of time complexity(iterative and ...
Solved Recall that the Fibonacci sequence is given by | Chegg.com
VTU 4th Sem Maths | Solve Fibonacci Recurrence | Module 4 – Recurrence ...
Multiple Recursive Calls: Fibonacci Sequence, Part 1 — Understanding ...
Print Only Number Which Is Present In Fibonacci Series - Write a c ...
Fibonacci Recurrence Relation, Solution, Example - Discrete Mathematics ...
Diwan, Shah - Generalized Fibonacci Sequence | PDF | Sequence ...
Solved Problem 2: Recurrence relations The Fibonacci numbers | Chegg.com
PPT - Recursion Part 3 PowerPoint Presentation, free download - ID:2398007
Lec-32 Recursion -Recursion in Computer Science | PPT
Homework 9 - Homework 9 – Recurrence Relations 1 Fibonacci Sequence One ...
PPT - Design and Analysis of Algorithms PowerPoint Presentation, free ...
Analysis of algorithms and BIG-O - ppt download
PPT - Data Structures PowerPoint Presentation, free download - ID:6527727
Answered: {tr(F")}~-1~ n=1 (9) Find a recurrence… | bartleby
PPT - CSC 3323 Notes – Recurrence Relations PowerPoint Presentation ...
Time and Space Complexity of Recursive Algorithms - IDeserve
PPT - Chapter 5 - Functions PowerPoint Presentation, free download - ID ...
Recurrence relations | PDF
LECTURE-MMW-02-FIBONACCI-SEQUENCE-SY-2023.pptx
Will Rosenbaum | How Slow is Recursive Fibonacci?
Recursive Fibonnaci Method Explained – Launch School – Medium
Functions Course conducted by: Md.Raihan ul Masood - ppt download
Chapter 6 - Functions Outline 5.1 Introduction - ppt download
PPT - Algorithm Analysis PowerPoint Presentation, free download - ID ...
PPT - Methods PowerPoint Presentation, free download - ID:6169603
PPT - Chapter 1: Introduction PowerPoint Presentation, free download ...
PPT - Chapter 6 - Methods PowerPoint Presentation, free download - ID ...
PPT - Understanding Recursion: Foundations and Applications PowerPoint ...
PPT - Structured programming PowerPoint Presentation, free download ...
PPT - CSE 3101 PowerPoint Presentation, free download - ID:6270996
PPT - Recursion: Recursive Functions and Examples PowerPoint ...
PPT - Essentials of Algorithm Performance Analysis and Programming ...
Recurrence Relation_Fibonacci_Sequence_ppt__2025_.ppt
PPT - Chapter 10 - JavaScript: Functions PowerPoint Presentation, free ...
Stack Notes for GATE Exam [2024] - GeeksforGeeks
PPT - Recurrence Relations (RRs) PowerPoint Presentation, free download ...
PPT - Solving Recurrence Relations Using Characteristic Roots ...
PPT - Section 5-5 PowerPoint Presentation, free download - ID:2658452