Showing 113 of 113on this page. Filters & sort apply to loaded results; URL updates for sharing.113 of 113 on this page
Python for Fantasy Football - Feature Engineering for Machine Learning
Python for Fantasy Football - Introduction to Machine Learning
Predict Football Scores with Python & Machine Learning - SilkCourses.com
Python Machine Learning Project - Prediction of football player ...
Python for Fantasy Football - Addressing Class Imbalance in Machine ...
Machine Learning Football Python at Chase Behr blog
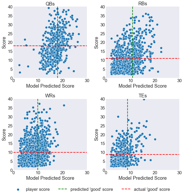
Can you win at Fantasy Football with Machine Learning and Python?
Case Study: Predicting Fantasy Football scores using Python and Machine ...
Proyect Predict Football Match Winners With Machine Learning and Python ...
Predict Football Match Winners With Machine Learning And Python - YouTube
Machine Learning Fantasy Football - How to Draft the Best Team - reason ...
Machine Learning Python Example | Predicting Football Player Market ...
Fantasy Football Data Pros: Learn Python with Fantasy Football
Learn to Code with Fantasy Football - Python for Fantasy Football Data
Analyze Fantasy Football Dataset Using Python - YouTube
Learn to Code Python with Fantasy Football #Python « Adafruit ...
Guide to Setting Up Python for Fantasy Football Analysis | Fantasy ...
Track Your Weekly Fantasy Football Scores With Python and Tableau ...
How to Analyze Your Fantasy Football Season with Python - YouTube
Game Changers: The Growing Role of Machine Learning and AI in Fantasy ...
Python & ESPN API: Pulling Current Year Fantasy Football Data - YouTube
Building a Simple Football Prediction Model Using Machine Learning | by ...
Machine Learning In Football at James Glassop blog
Learn Python for Fantasy Football (For complete beginners) : r ...
Learn Python with NFL Data - Next Gen Stats | Fantasy Football Data Pros
Football Match Predictor Using Machine Learning
Python for Fantasy Football - Introduction
Fantasy Football Data Analysis with Python | Towards Data Science
Using Python and Linear Programming to Optimize Fantasy Football Picks ...
Python for Fantasy Football - Getting and Cleaning Data
Learn Python with Fantasy Football - Projecting Kicker Performance ...
Why machine learning football predictions are the new standard - Sportmonks
Python Project on Analyzing Football Data | Great Learning - YouTube
Learn Python with Fantasy Football - In Depth Rushing Analysis ...
Learn Python with Fantasy Football - Opportunity Ratings | Fantasy ...
Machine Learning Football Analytics at Susan Mcdaniel blog
How to Deploy Machine Learning Models | Streamlit App in Python for ...
Analyzing Football Data with Python | by Tactics FC | Medium
How to Use Python with the ESPN Fantasy API - YouTube
Football Scores Python at Roy Bush blog
AI Fantasy Football Analyst | Sourcetable
Learn to Code with Football - Python for Football Data
Learn to Code with Fantasy Football Blog - Scraping ADP Data from ...
Computer Vision for Football Analysis in Python with Yolov8 & OpenCV ...
Learn Python with Football | Football/Soccer Data Analyst Course ...
AI Project for Beginners: NFL Game Predictions with Python & Machine ...
Fantasy Football Schedule Generator in Python!!! Handles Divisional ...
The Complete Football Analytics Course in Python
Create & Customise Football Pitches in Python using mplsoccer! Football ...
Football Player and Team Detector in Python with Artificial ...
ML model evaluation: Measuring the accuracy of ESPN Fantasy Football ...
Football AI Tutorial: From Basics to Advanced Stats with Python ...
Fantasy Data Pros - Learn Python with Sports
GitHub - brock-ricker/fantasy_football: Using machine learning to ...
Dominate your 2017 Fantasy Football League with Artificial Intelligence ...
Jump start your learning of StatsBomb football data (including 360 data ...
New Máster´s Degree in Advanced Python Applied to Football
Review: Football Analytics with Python & R - Stringfest Analytics
Learn Python with Fantasy Football! - SOS Continued : r/fantasyfootball
Learn Python with Fantasy Football: 2021 Draft Model Continued ...
Python Football Data Project using Pandas, Seaborn and Matplotlib ...
Learn Python with Fantasy Football: Which receivers are under ...
Learn Python with Fantasy Football: Evaluating SOS : r/fantasyfootball
Learn Python with Fantasy Football: Yards After Catch Analysis ...
Machine Learning in Sports Analytics | Catapult
python-for-fantasy-football/9 - Feature Engineering for Machine ...
Building an AI/ML Football Analysis System with YOLO, OpenCV, and ...
GitHub - carvilla333/Fantasy-Football-Analysis: Project utlizing Python ...
Building a Fantasy Premier League Selection Dashboard: A Step-by-Step ...
Learn Python with Football: Visualizing Air Yards : r/fantasyfootball
GitHub - KnightAdz/Premier-League-Fantasy-Football: Python code to pull ...
Football/Soccer Data Analytics in Python - Getting Started with ...
Fun project I built in Python leveraging Open AI API to inform your ...
Fantasy Premier League x Data Analysis: Being Among the Top 2% | by ...
Coding with fantasy football: An introduction to programming and ...
College Football Conference Realignment — Clustering | by Giovanni ...
Getting Soccer Data with API-Football in Python - AI-Powered Course
Football-Analytics-with-Python--R-Learning-Data-Science-Through-the ...
GitHub - imarranz/modelling-football-scores: My aim to develop a model ...
Football-Analytics-With-Python/03. Analyzing Event Data/dribble_code.py ...
Predicting-Fantasy-Football-Points-Using-Machine-Learning/README.md at ...