Showing 119 of 119on this page. Filters & sort apply to loaded results; URL updates for sharing.119 of 119 on this page
Natural Log Examples _ Examples Of Logarithms – FPSN
Law Logarithms Examples Mathematics Log 1 Stock Vector (Royalty Free ...
Different types of log examples | Download Table
Solved 1. [TRUE / FALSE] log(n!) E O(n log n) | Chegg.com
Solved: Determine if the following statement is true or false. -log ( x ...
False Log Book Violation Points | RLLC
[ANSWERED] 1 True or False log a p The value of a must be positive T or ...
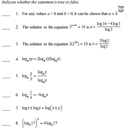
Solved Indicate whether the statement is true or false. loge | Chegg.com
Fake Log Generator | Create Realistic Test Logs
Solved: log (xy)=log (x)log (y) True False [Math]
What is a false log and when will one result in an out-of-service order ...
Logarithm Laws Made Easy: A Complete Guide with Examples – mathsathome.com
Log Of Log Rules at Jasmine Parker blog
Log Rules Explained! (Free Chart) — Mashup Math
Solving Log Equations Worksheet - Acicabuja
Understanding False Log Book Violation Penalities
700+ False Log Stock Photos, Pictures & Royalty-Free Images - iStock
100+ False Analogy Examples
Examples of false alarms in February log. | Download Scientific Diagram
Solved: log _by=x means: log base b of y equals x. True False [Math]
⏩SOLVED:Answer the following true or false. Study your logarithm ...
Solved: log n/log 2 =log n/2 True False [Math]
FREE 15+ Log Book Samples in PDF
Relationship between the natural log of the false positive rate at 50% ...
False Log Prevention - YouTube
Fire Log Example at Margaret Kyzer blog
False Log Stock Photos, Pictures & Royalty-Free Images - iStock
Solved TRUE or FALSE (a) log A/log B = log A - log B (b) | Chegg.com
False Statements: Key Examples and Implications
Log Rules Practice Problems With Answers | ChiliMath
Log Rules - GeeksforGeeks
560+ False Log Stock Photos, Pictures & Royalty-Free Images - iStock
False log corners and siding : r/loghomes
Fire Safety Log Book: Professional Alarm Testing Ledger | Inspection ...
Logarithm - Definition, Function, Rules, Properties & Examples
Log True or False 1 - YouTube
Logarithms Examples
Understanding Log Rules at Erin Hopkins blog
Understanding True/False Questions and Log Probabilities
Log errors for Example 1 [Colour figure can be viewed at... | Download ...
Log and semilog plots | Plots.jl Tutorial
Understanding the Properties of Log Functions - mathodics.com
How To Use Log Rules at Dina Mcalpin blog
Template Free Printable Fire Watch Log Sheet at Marcia Chester blog
False Positive Test Examples at Savannah Buckmaster blog
Log Sheet Templates - astra.edu.pl
Examples of False Memories and Their Impact
False Dilemma Fallacy | Examples & Definition
Logs Examples by msbradymaths - Flipsnack
Training and validation log loss over periods We also compare the false ...
a Local User Can Log on to Multiple Systems in a Domain. True False ...
Issue Log Templates | 4+ Free Printable Word & Excel Logs | Report ...
10+ False Log Illustrations, Royalty-Free Vector Graphics & Clip Art ...
Top: Proportion of false negatives () and false positives (•) in log ...
Negative Log Likelihood Loss: Why Do We Use It For Binary ...
Negative log likelihood explained | by Alvaro Durán Tovar | Deep ...
False Analogy Fallacy Examples What Is... A Logical Fallacy Mental
What is an Issue Log in Project Management? | PM Study Circle
PPT - Properties of Logarithms PowerPoint Presentation, free download ...
Solved How can the logarithmic expression be rewritten? | Chegg.com
EulerFalseLog | Wolfram Function Repository
Solved True or False: 1. The term logarithm is used to refer | Chegg.com
Answered: True or false? 1. log, n = o(log3 n) 2.… | bartleby
SOLVED:True or False? (a) log(A+B) is the same as logA+logB (b) logA B ...
Properties of Logarithmic Functions - True or False Test Practice ...
Solved: How can the logarithmic expression be rewritten? Select True or ...
SOLVED: Decide whether each of the statements below iS true Or false ...
Answered: For any real number b > 1, and any real numbers x True False ...
True or False: $_2 (x^2 - 16) - _2 (2x - | StudyX
Solved Are the following statements true or false? (log | Chegg.com
[Solved]: 19 & 20 ()- 19. Is it true or false: log, log:
Logarithms true or false: log(a-b) = loga - logb - YouTube
Logarithms
Logarithms Explained Logarithm | Rules, Examples, & Formulas
Solved True or false? (Assume that x, y, a, b are positive | Chegg.com
10 False Cause Fallacy Examples: Quick Answer & Rules
E-Books: Fire Safety Logbook templates HSSE WORLD
False Logs Still Top Out-Of-Service Driver Violations | CNS
Logarithmic equation: true or false log_a a^a = a? - YouTube
Public Management Work Experience Logbook | PDF | Budget | Experience
Precalculus True or False , logarithm - YouTube
Logs | Study.com ACT& Math Test Prep - Lesson | Study.com
Solved TRUE FALSE 2 = en!) TRUE logn = o(log (n)) FALSE O | Chegg.com
Solved True or False: log(100)=log2(8) | Chegg.com
PPT - Logarithms PowerPoint Presentation, free download - ID:6670622
Circular Reasoning, Hasty Generalizations, False Causes & Limited ...
Logarithmic Equation Rules
Phenomenological dataset: Negative log-likelihood with increasing fault ...
569 Example Fact Images, Stock Photos & Vectors | Shutterstock
A false-positive example. Genomic coverage, original log2 ratios, and ...
SOLVED: True or false? log(n) is big-O ofn but log(n) is not of order n ...
Evaluating logs - example 1 | Numerade
Solving Logarithmic Equations
Unit 4 Mathematics Aims Introduce logarithms applications Objectives
Logbook Ato Requirements at Anthony Sears blog
Mark True or False Worksheet
PPT - Properties of logs PowerPoint Presentation, free download - ID ...
Regression without regrets - worked example - Appendix A — Pseudo-log ...
What Is An Indicator Of False Id at Alejandra Henning blog
False-Negative and False-Positive Percentages for (Normalized) Log-Odds ...
Negative log-likelihood equations used in the model. | Download ...
PPT - Ensuring Fault Tolerance in Distributed Systems: Logging and ...
Exposing x-log using false colors – Rodrigo Polo