Showing 120 of 120on this page. Filters & sort apply to loaded results; URL updates for sharing.120 of 120 on this page
Calc 4.1 Extreme Values | Math | ShowMe
Basic math materials-12 - 6 Defining the Extreme Point Type If point T ...
Solved Give an extreme direction and let a= 5 and f= -10 and | Chegg.com
Extreme Math 1 | PDF
Lecture Video for Function Direction and Extreme Values - YouTube
Math work ch - Math work - direction. (Indicate the direction by ...
Extreme Math Multiplication Guide: Mastering Numbers 25 to 100 - Prongo.com
MATH 11011 IDENTIFYING THE EXTREME VALUES KSU OF
Extreme value of quadratic fractions | Math | ShowMe
Extreme Math: Pushing the Boundaries of Mathematical Mastery - 99 Math ...
How to sketch direction fields — Krista King Math | Online math help
6.2 Function Direction & Extreme Values - MAC1105C9 Analysis - Studocu
Math ch9-2 - math work - SECTION 9 Direction Fields and Euler’s Method ...
Magnitude and Direction TRASHKETBALL Math Game - No Prep PreCalculus Review
Projected X extreme (dimensionless) along search direction α Circles ...
EXTREME Math Quiz CHALLENGE - 1 Minute to Master Integration and ...
Extreme Math - Mathway IQ Test para Android - Descargas gratis y ...
Extreme Math | Sahiwal
analysis - Identify the extreme points and extreme directions of $S ...
Convex Optimization - Extreme Directions
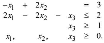
analysis - How to find extreme points and directions of $\{x:x_1+2x_2 ...
Solved Find the extreme points and extreme directions of the | Chegg.com
2.211 Identify the extreme points and extreme | Chegg.com
How to find the direction in linear optimization? - Mathematics Stack ...
5. Extreme Points and Directions Problem. Let the | Chegg.com
Solved [2.50] Find all extreme points and extreme directions | Chegg.com
a find all the extreme points and extreme directions of the following ...
OR in an OB World: Finding Extreme Rays in CPLEX
Solved (1) Find all extreme points and extreme directions of | Chegg.com
Solved (a) Find all the extreme points and extreme | Chegg.com
Solved 5. (a) Find the vertices and extreme directions for | Chegg.com
Second Derivatives and Beyond Extreme Points and How to Find Them
Extreme Values and Graph of a Quadratic Expression - Matherama
Find all extreme points and extreme directions of the | Chegg.com
Solved What are the faces, extreme points, extreme | Chegg.com
Understanding Extreme Points in Calculus: Maxima, Minima, and | Course Hero
PPT - Extreme Calculus PowerPoint Presentation, free download - ID:1452351
How To Calculate Extrema: What Is An Extreme Function – QWXA
Example for the different extreme points. | Download Scientific Diagram
Solved What are ALL the extreme directions of following | Chegg.com
Solved Problem 4 For the following problems find the extreme | Chegg.com
Year 2 Geometry - Position and Direction - Lesson 2 - Grammarsaurus
Solved Linear Programming: Consider a polyhedra with extreme | Chegg.com
Solved Problem 5 For the following problems find the extreme | Chegg.com
Solved (a) Draw the following set and find all extreme | Chegg.com
Unit - 7 Geometry (RED) - ISD High School's Math Site
Extreme Point -- from Wolfram MathWorld
Solved [Extreme directions] Find all extreme directions of P | Chegg.com
IE513 20110307 LECTURE16 Directions and unbounded LPs, extreme ...
Extreme Maths Grade 12 APK for Android Download
Extreme Mathematics Grade 11 APK for Android Download
Definition of extreme points@ Jyotideep Maths বাংলা - YouTube
Extreme Test Review AK - n/a - Studocu
EN how to find extreme points - YouTube
Lec5 Extreme Directions 0923 - IOE 510/Math 561/TO 518: Linear ...
Extraordinary Find The Direction Of A Vector Pictures
Magnitude and Direction of a Vector | A Level Maths | Mr Mathematics ...
Extreme Math! #bprp - YouTube
Solved Consider a polyhedron P with extreme points | Chegg.com
Maximum Math
Extreme Math: Pushing the Limits of Numbers and Logic - Hackerella
Calculus AB/BC – 5.2 Extreme Value Theorem, Global Versus Local Extrema ...
12.8: Extreme Values - Mathematics LibreTexts
3.1: Extreme Values - Mathematics LibreTexts
PPT - 1.4 The Extreme Point Theorem : Geometry of a linear programming ...
Identify the coordinates of any local and absolute extreme points and ...
Year 6 Geometry Position and Direction Maths Warm-Up PowerPoint
An introduction to the directional derivative and the gradient - Math ...
Extreme Mathematics Grade 9.pdf - dirzon
10. extreme values of functions
Extreme Math: Real Math, Real People, Real Sports (Grades 5-10) : Tyler ...
3.1: Using Derivatives to Identify Extreme Values - Mathematics LibreTexts
Inter 1st Year Maths 1B Direction Cosines and Direction Ratios Formulas ...
"Max./ Min. values in x-direction" items For drawing extreme values of ...
Calculus Lecture 4.1 Extreme Values of Functions - YouTube
Solved: The _is the extreme point on half of a hyperbola. A. vertex B ...
Download Extreme Maths Grade 12 android on PC
(PDF) A Novel Extracting Extreme Points Combining Multi-direction Phase ...
Direction Cosines and Direction Ratios Problems with solutions Archives ...
Calc 4.2- Extreme Values | Math, Calculus, Derivatives and ...
Math 5C
Solved Why does the following set have directions? Find all | Chegg.com
Solved [2.41] Why does the following set have directions? | Chegg.com
Solved 47 Why does the following set have directions? Find | Chegg.com
Direcciones extremas
linear programming - Find the values of $ \ a,b \ $ so that the ...
What Is Rotation in Math? Definition, Examples & How-to Guide
Solved Q1:a. Find the normalized set of directions and the | Chegg.com
Why does the following set have directions? Find only | Chegg.com
PPT - Elementary Statistics PowerPoint Presentation, free download - ID ...
6.3: Extrema and Models - Mathematics LibreTexts
ExtremeMath: Pushing Mathematical Boundaries
Grade 5 Mathematics Directions - YouTube
PPT - Graphical Solutions PowerPoint Presentation, free download - ID ...
Grade 3 Math: Directions in a classroom (teacher made)
Extrememath The Ultimate Resource for Advanced Mathematical Challenges
Algebra 2 Pacing Guide | DOC
Grade 2 Maths: Position and Direction: Vocabulary - Twinkl
8.E: Differential Equations (Exercises) - Mathematics LibreTexts
The mathematics of optimization for deep learning
4.4: Applications - Mathematics LibreTexts
Angles, Directions and Turns Doodle Activity Cards
Solved Direction: Apply basic mathematical methods when | Chegg.com