Showing 112 of 112on this page. Filters & sort apply to loaded results; URL updates for sharing.112 of 112 on this page
Exoskeleton patterns hi-res stock photography and images - Alamy
Premium AI Image | Intricate Beetle Exoskeleton Patterns
Intricate Beetle Exoskeleton Patterns | Premium AI-generated image
Premium AI Image | CloseUp Detail of Beetle Exoskeleton Patterns
5,000+ Exoskeleton Patterns Pictures
Stunning beetle exoskeleton patterns up close | Premium AI-generated image
Patterns Exoskeleton Images - Free Download on Freepik
Intricate exoskeleton patterns hi-res stock photography and images - Alamy
Closeup of robotic exoskeleton with detailed organic patterns designed ...
Page 3 | Exoskeleton patterns Photos - Download Free High-Quality ...
Exoskeleton Patterns PSD, High Quality Free PSD Templates for Download
Intricate exoskeleton patterns Stock Videos & Footage - HD and 4K Video ...
Exoskeleton Patterns Images - Free Download on Freepik
(PDF) Exoskeleton Training Modulates Complexity in Movement Patterns ...
Patterns Exoskeleton Vectors & Illustrations for Free Download | Freepik
MONITOREX - Exoskeleton Report
DARWING ABC Lift - Exoskeleton Report
Workplace ergonomic assessment and exoskeleton validation tool Archives ...
AWP | Exoskeleton — CS2 AWP Skin Price & Stats | HLTV.org
Chinese robotic exoskeleton slashes underwater diver oxygen use by 40%
Budapest Exoskeleton Robotics Powered Nature Hike
HAL Lumbar Type for Well-being - Exoskeleton Report
Miss Cellania: Kitten with an Exoskeleton
Building Your Revenue Exoskeleton
Grafted Exoskeleton 162 Scars of Mirrodin for sale | eBay
Chinese-developed exoskeleton in spotlight at Canton Fair – Simply ...
Building a high power Iron Man exoskeleton with hydrogen muscles
Dephy's $4,500 robotic exoskeleton gave me superhuman walking powers
Boy is first to trial 'life-changing' exoskeleton
3D Model: Creepy tiger animatronic with exposed exoskeleton from broken ...
Figure 8 from Design of an External Exoskeleton for Upper Limb ...
Figure 7 from Design of an External Exoskeleton for Upper Limb ...
Figure 3 from Design of an External Exoskeleton for Upper Limb ...
Figure 1 from Design of an External Exoskeleton for Upper Limb ...
Figure 4 from Design of an External Exoskeleton for Upper Limb ...
Figure 5 from Design of an External Exoskeleton for Upper Limb ...
Figure 2 from Design of an External Exoskeleton for Upper Limb ...
Table 1 from Design of an External Exoskeleton for Upper Limb ...
Exoskeleton News, April 25 2026 – Week 17 - New exo events on the ...
[Structure Design of Hip Joint Parallel Rehabilitation Exoskeleton ...
AI Exoskeleton Helps Paralysed Patient Walk at Canton Fair Demo
Good Shepherd Shows Off New Exoskeleton Technology | WDIY Local News
Miracle moment robot exoskeleton helps paraplegic woman walk at fair ...
Elderly resident uses exoskeleton to scale 30 floors of fire-damaged ...
fixory Power Walking Exoskeleton Booster Equipment Aluminum Alloy Body ...
Hypershell X Pro Exoskeleton Leg Strength With 800w Output 17 ...
Venez essayer le nouveau MATE Exoskeleton au salon Business Industries ...
World Exoskeleton Day | In Delft
SA-SVM-Based Locomotion Pattern Recognition for Exoskeleton Robot
Ankle exoskeleton overview and function. (A) Picture of the untethered ...
Hypershell: AI-Powered Exoskeleton for Hiking, Travel & Daily Use ...
A Carbohydrate That Makes Up The Exoskeleton Of Insects
| training with the exoskeleton hand driven by myoelectric pattern ...
Bionic exoskeleton repeating pattern | Premium AI-generated image
Figure 2 from Design of a Modular Exoskeleton Based on Distributed ...
Exoskeleton (human) - Wikiwand
Exoskeleton - Bespoke Geometry
Powered Exoskeleton FORTIS Human Powered Exoskeleton | ROBRADY Design
AI-driven universal lower-limb exoskeleton system for community ...
Control paradigm. A Examples of healthy and hemiparetic gait patterns ...
Exoskeleton Suit Design
Gait Phase Recognition of Hip Exoskeleton System Based on CNN and HHO ...
Five most unique and creative exoskeleton designs - Designbuzz
Premium Photo | Robotic exoskeleton revolution Technology repeating pattern
A schematic overview of the desired control scheme of an exoskeleton ...
Personalized Gait Patterns During Exoskeleton-Aided Training May Have ...
Exoskeleton by patternagainstuser on DeviantArt
How to Create Exoskeleton Facade In Revit By SK Architect - YouTube
Exoskeleton therapy - Fundacja Pomocy Dzieciom - Kolorowy Świat
Exoskeleton structure components. | Download Scientific Diagram
Full Exposure: 7 Exoskeleton Structures Achieve New Feats of ...
AWP | Exoskeleton - pattern.wiki
Futuristic Robotic Armor Exoskeleton Illustration | Jiffy Designs
#ces2026 #exoskeleton #wearabletech #healthtech #mobility # ...
Nine children are taking part in the first sessions using a paediatric ...
Emotional video shows woman, 27, take her first steps in a DECADE ...
Development and Validation of a Flexible Sensing Array for Placement ...
Can I Beat a Pro Athlete Using An Exoskeleton?
Human Enhancement Market to Reach USD 250.92 Billion by 2031 Driven by ...
Exoskeletons getting closer to superhuman powers : DesignWanted
Figure 2 from What Is the Proper Gait Pattern for People With ...
Left: A modeled human, the exoskeleton, and the box with their ...
Cell - Biology Simple
A close-up of an alien insect-like creature with bioluminescent body ...
Motion pattern verification of the hip exoskeleton. It enables that ...
Zaha Hadid Architects’ Latest Design Is the World’s First Free-Form ...
Commercially available passive upper limb exoskeletons. (a)-(c ...
Figure 2.
Arthropod exoskeletons structures could help us design better buildings
Mechanical structure of the exoskeleton. (a) Three-dimensional model ...
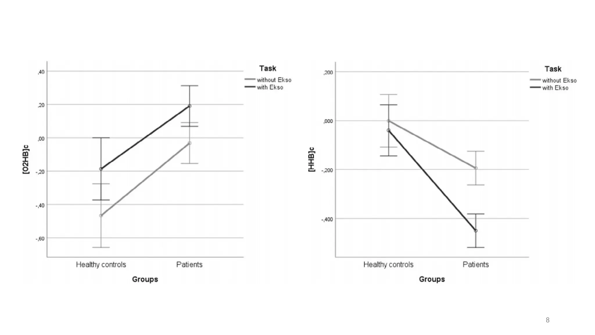
Exoskeleton-assisted gait in chronic stroke: An EMG and functional near ...
(a) Illustration of a human–exoskeleton system. (b) A dynamic model of ...
Types of exoskeletons according to their action, type of rigid ...
Robotic Exoskeletons in Rehabilitation: Transforming Recovery with Tec ...
Extreme closeup of a beetles exoskeleton, highlighting the metallic ...
Mechanical Structural Design and Actuation Technologies of Powered Knee ...
Structural Design and Experimental Analysis of the Self-Balancing Lower ...