Showing 116 of 116on this page. Filters & sort apply to loaded results; URL updates for sharing.116 of 116 on this page
IC Document Version Control Template Example 12215 | PDF | Version ...
EXAMPLE DOCUMENT CONTROL SOP.pdf | Quality Assurance | Technology ...
Example Interface Control Document at Winnifred Pitts blog
VI-401466-PS-1 Example ISO 9001 Document Control Procedure | Quality ...
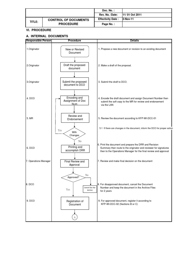
Control of Documents Procedure | PDF | Document | Computer File
The Blueprint of Quality: A Guide to Document Control in Quality ...
Document Control Procedure Example | Document | Specification ...
Free Document Control Templates: Plans, Registers & Logs
ISO 9001 Document Control Requirements | LGC Academy
Examples Of Document Management at Jonathan Landseer blog
Document Control Process Flow | Download Scientific Diagram
Document Control Procedure | PDF
Top 10 Document Control Best Practices to Follow | ETQ
Document Control Template Excel: Streamline Your Workflow
Document Control Register Excel Template With Automated Dashboard ...
Document Control Procedure Template | PDF | Quality Management System ...
The Complete Guide to Document Control and Management
Document Control Register Template | PDF | Computing
Galaxy Consulting Blog: Document Control Systems Reviews - Arena
Document Control Register, Document Control Template, Business ...
PPT - Documentation and Document Control PowerPoint Presentation, free ...
Document Control System ISO Consulting Solutions
Document Control Record format| Excel | PDF | Sample
Helpful Tips for a Successful Document Control System - YouTube
Document Control Register Template | PDF | Occupational Safety And ...
Document Control Register Template - Blog
FSMS Document Control Procedure
PPT - Document Control PowerPoint Presentation, free download - ID:270908
Document Control Dashboard - Rocket Sheets
Document Control Process: My simple (but complete) guide for 2026
Document Control Log Sheet
Document version control example: Managing documents properly
Accounting Document Control Procedure Template Word
Document Control Process: 7 Essential Steps for Efficient Workflow
Document Control Procedure | Templates at allbusinesstemplates.com
Document Control Dashboard: Dynamic Excel Report Management (instant ...
Document Control Log format | Report | Samples | Word Document Download
Document Control Register | PDF
What Is Document Control Management at Jamie Mealmaker blog
Document Control Register - Sample Quality Manual
Interface Control Document Template (MS Word) – Templates, Forms ...
Document Control Log Templates - Word Templates
Document Control Software | Intelex
Document Control Register | REDCAT SAFETY
Document Control Template - Excel off the grid
Document Control Template | Dawtek
Interface Control Document Template (MS Word) – MS Office Templates ...
ISO 9001 Document Control Procedure | PDF | Document | Specification ...
Iso Document Control
What Is Control Document Definition at Eliza Coles blog
Administration Document Control Log Template in Google Sheets, Excel ...
Engineering Document Control Process at Margaret Kyzer blog
Document Control Numbering System
Document Control Register | My Safety Works
Document Control Procedure for Manual & Electronic Document Management ...
Document Control Register - Eloquens
What Is A Control Document at Martin Delaney blog
Document Control Register – enableHR
Template Document Version Control Examples - prntbl ...
Free Document Version Control Templates For Google Sheets And Microsoft ...
Document Control Specialist Cover Letter Examples - QwikResume
I do Document Control - CadTracker
Document Control Procedure
5 Document Control Template Excel - Excel Templates
Sample Document Control Template - exampless papers
Document Control | PPT
Document Control: 7 Step Process & 5 Key Benefits
10+ Control Plan Examples to Download
Documents Control Process | PDF
Document Version Control: Examples and Best Practices | PM Study Circle
Documented Information Control Procedure ISO 9001 2015
What Is Document Management Software Workflow Technic - vrogue.co
Master Control Job Description at Jayden Nobbs blog
Free Document Management Flowchart Templates
Document Management System
PPT - Mastering Document Control: Foundations & Implementation ...
What Is Document Control? A Complete Guide for Businesses
Document Log Templates | 7+ Free Printable Word, Excel & PDF Formats ...
Document management system examples - DocFlite Powered by QuoteOnSite
What is Document Control? The simple and complete guide for 2026 ...
Ace Info About How To Control Documents - Tonepop
Standard Operating Procedure Format Document Template - Venngage
10+ Documentation Procedure Examples to Download
Standards.HTML.html
Understanding ISO 9001's Rules on "Documented Information" - Part 1 ...
example-document-control | ISO 9001 Zertifizierung
Presentation1 | PPT
Workflow Diagram Software - Create workflow diagrams rapidly with ...
ISO Documented Information vs. Documents & Records
Top 10 Process Workflow Templates with Examples and Samples
Laboratory Quality Stepwise Implementation tool