Showing 119 of 119on this page. Filters & sort apply to loaded results; URL updates for sharing.119 of 119 on this page
An example of the use of the 6NF design | Download Scientific Diagram
Normalization 1NF, 2NF, 3NF, BCNF, 4NF, 5NF & 6NF with Example [Hindi ...
Design of some of the tables in case of the 6NF design. | Download ...
What does 6NF mean? - Definition of 6NF - 6NF stands for Sixth Normal ...
normalization - Would like to Understand 6NF with an Example - Stack ...
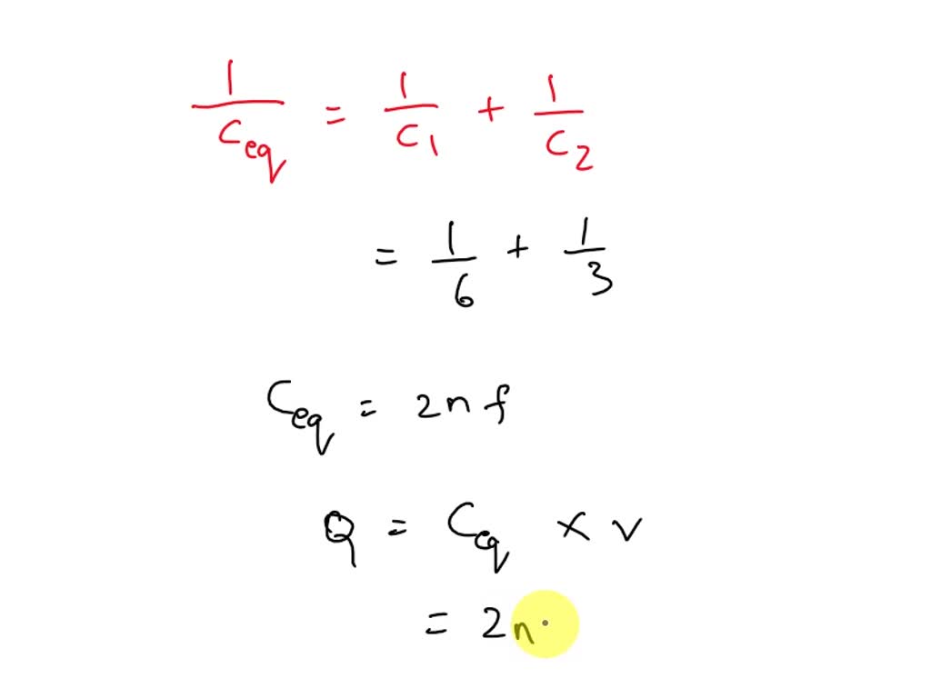
SOLVED: Two capacitors with capacities of 6nF and 3nF are connected in ...
Observation Brain Test: Are You One of the 5% Who Can Spot 6nF in 10 ...
3. 3 capacitor of capacitance 2nF, 6nF are | StudyX
Solved A) For the circuit of Fig. 3.29 Calculate VAB 6nF 8nF | Chegg.com
Column-First Data Model: 6NF and 7NF Explained | Yuzo Ishida posted on ...
[DB35] 6NF (DKNF): What is domain constraint? How to identity whether ...
All Normal Forms With Examples | 1NF 2NF 3NF BCNF 5NF 6NF - YouTube
6NF File Format. Filename Extension: .6nf | by Sergey Prokhorenko | Aug ...
Different Types of Normalization Techniques - Analytics Vidhya
新 6NF 檔案格式引發雙時態資料交換與時間戳精度爭議 - BigGo 新聞
Database Normalization: BCNF, 4NF, 5NF, 6NF Explained
Database Normalization Theory 1NF to 6NF simplified - YouTube
Database Normalization beyond 3NF Using BCNF, 4NF, 5NF, and 6NF - ppt ...
Understanding Database Normalization: BCNF to 6NF Explained | Course Hero
PPT - Normalization of Database PowerPoint Presentation, free download ...
Fraction Parts Of A Number Equivalent Fractions | Equivalent Fractions
Normalization in DBMS | Types of Normalization with Examples
Project manager cv example | PPTX
Normalization of SQL Database: Remove Redundancy – Sesame Disk Group
Fillable Online Chapel of st michael the archangel. Chapel of st ...
METZ 6NF - Metz
Park Lodge, Dyke Road, Hove, BN3 6NF 1 bed flat - £1,200 pcm (£277 pw)
PPT - Normalization of Database Lecture - ANS PowerPoint Presentation ...
Working video of 6NF-4 combine rice mill machine - YouTube
3 Chapter 3 6 7 Normalization of Database
SOLVED: Given the following table, determine its stage of normalization ...
Database Normalization Tutorial with example - Dot Net Tricks | Dot Net ...
Solved In the circuit of the figure C1=2nF,C2=7nF1C3=6nF: y | Chegg.com
Chapter 8 Relational Database Design n Features of
CV example 9 - 2 pages.doc - Dayjob Ltd 120 Vyse Street Birmingham B18 ...
Solved For the circuit shown, what must the voltage of the | Chegg.com
[DB] Basics of Functional Dependencies and Normalization for Relational ...
Database Normalisation 1 Introduction Two levels of relation
Chapter 6 - Normalization of Database Tables Flashcards | Quizlet
Sixth Normal Form (6NF). Sixth Normal Form (6NF) is the highest… | by ...
PPT - Database Design Issues: Part II - Normalization and Beyond ...
Anomalies in Database - Normalization - 1NF, 2NF, 3NF, BCNF, 4NF, 5NF ...
PPT - Temporal Data and The Relational Model PowerPoint Presentation ...
PPT - Data Modeling PowerPoint Presentation, free download - ID:4163017
1 Sixth Normal Form Royalty-Free Images, Stock Photos & Pictures ...
DBMS: What is Sixth Normal 6th normal form example||6NFOR Domain Key ...
A Comprehensive Guide to Database Normalization: Explaining 1NF, 2NF ...
Normalization in SQL and DBMS (1NF - 6NF): Complete Guide
Database Schema Design Simplified: Normalization vs Denormalization
DBMS - Domain Key Normal Form (DKNF) and Sixth Normal Form (6NF) - YouTube
2021 Form FL RT-6NF Fill Online, Printable, Fillable, Blank - pdfFiller
Database Normalization: A Step-by-Step Guide with Examples
Fractions and Decimals - ppt download
Database normalization. What is database normalization? | by Sourabh ...
Normalization vs Denormalization: The Trade-offs You Need to Know
Introduction to Data Normalization: Database Design 101
PPT - Chapter 8: Relational Database Design PowerPoint Presentation ...
Form RT-6NF - Fill Out, Sign Online and Download Printable PDF, Florida ...
Database normalization
Database Normalization In DBMS | Normal Forms 1NF , 2NF , 3NF
5NF vs 6NF: What Database Engineers Should Know
PPT - Mastering Database Normalization for Structured Table Design ...
Normalization in DBMS: 1NF, 2NF, 3NF and BCNF with Examples - Naukri ...
FL RT-6NF 2021 - Fill and Sign Printable Template Online
6NF系列喷风碾米机_山东精良海纬机械有限公司
Solved Q4. Normalization [5 points] Given the following | Chegg.com
understanding data denormalization features and advantages
Functional Dependencies and Normalization with well explained examples ...
Sixth Normal Form (6NF) in DBMS - DBMS Tutorial | Study Glance
IM-29. Medicaid Eligibility Authorization - dss mo Doc Template | pdfFiller
PPT - Chapter 7: Relational Database Design PowerPoint Presentation ...
A Beginner’s Guide to Database Normalization: 1NF, 2NF, 3NF, and Beyond ...
Normalization in DBMS | PPTX
Cv For Production Manager - 3 : Operational management project ...
Database Normalization.ppt
PPT - Functional Dependencies and Normalization for Relational ...
Chapter Four Logical Database Design (Normalization).pptx
Normalización de bases de datos (Parte 6 y última): Quinta y sexta ...
Form Rt-6nf - Employer'S Quarterly Report For Out-Of-State Taxable ...
Software Developer Resume Template - Software Engineer Resume 2021 ...
DATABASE NORMALIZATION What is Normalization Normalization allows us
PPT - Topic 10 Functional Dependencies and Normalization for Relational ...
Normalization in SQL DBMS: 1NF, 2NF, 3NF, and BCNF Examples | PopSQL
PPT - Database Normalization and Denormalization PowerPoint ...
Normalization - 1NF, 2NF, 3NF and 4NF - YouTube
Database Normalization | Web3us LLC
PPT - Chapter 6 Relational Database Design PowerPoint Presentation ...
Form RT-6NF Download Printable PDF or Fill Online Employer's Quarterly ...
PPT - Chapter 6 The Relational Model and Normalization PowerPoint ...
Second Normal Form (2NF). Second Normal Form (2NF) is a level of… | by ...
Solved this is a business information system: about data | Chegg.com
Denormalizing Snowflake 3NF Dimension Tables - Microsoft Data & AI
SOLVED: Explain the normalization with the statement from FIGURE 6.3, 6 ...
PPT - Database Normalization PowerPoint Presentation, free download ...
Dinesh's Blog :::: Being Compiled ::::: Database Normalization - 1NF ...
Database Normalization Made Simple: Understand 1NF, 2NF & 3NF in Just 5 ...
Database design & Normalization (1NF, 2NF, 3NF) | PDF
PPT - Chapter 12: Designing Databases PowerPoint Presentation, free ...
Database normalization is a systematic process used in database design ...
database normalization - Trying to Normalize tables to 2NF and 3NF ...
SOLVED: In the circuit diagram below, C = 6nF, C = 11nF, C = 14nF, C ...