Showing 120 of 120on this page. Filters & sort apply to loaded results; URL updates for sharing.120 of 120 on this page
Integral Test: A Second Example + How To Answer Harder Questions ...
Example 2 (i) - Find Integral ∫ (x^3 - 1) / x^2 dx - Class 12 Maths
The fundamental theorems of Integral Calculus: Exercise and Example ...
SOLUTION: Integral calculus practice questions with answer key and ...
CH 7 Integral Calculus Multiple Choice Questions (With Answers) | PDF ...
Multiple Choice Questions (Integration) | PDF | Integral | Square Root
[Solved] Example 5 (Challenging). Use the Integral Test to decide if ...
SOLUTION: Triple integral and integrated integral questions with answer ...
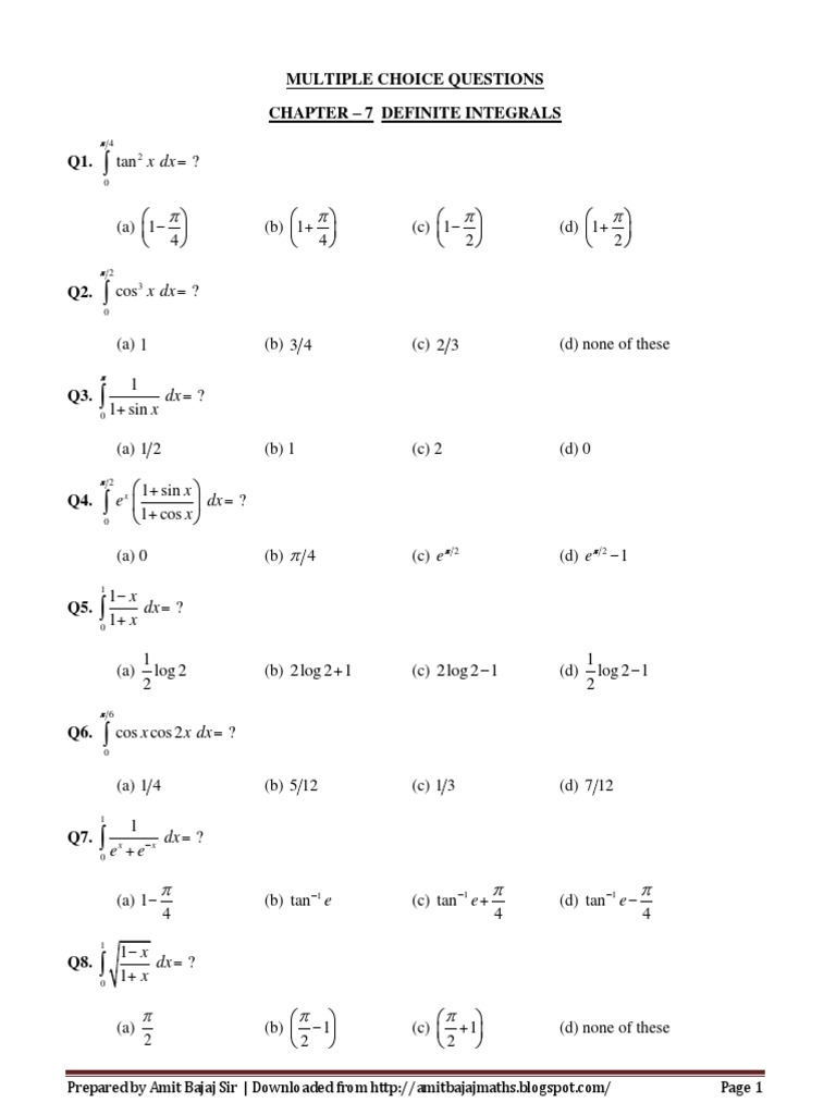
CH 7 Definite Integral Multiple Choice Questions (With Answers) | PDF ...
SOLUTION: Integral questions - Studypool
Definite Integral: Calculus Example (Problem and Answer) - PE Exam ...
Integration Worksheets 100 Questions and Answers - Maths Academy
Calculus II (Integration) Solved Questions and Answers - 11494
Integration Worksheets - 100 Questions and Answers - Maths Academy
Math Exercises & Math Problems: Indefinite Integral of a Function
Buzztutor Questions and Answers by Category
Definite integral calculator: simplifies complex math problems ...
Integral Formulas
Definite Integrals - Example 1 (Business Maths) - YouTube
Indefinite Integrals 20 Questions & Solutions - Calculus 2 Printable ...
144 Integration Questions + Answers (Calculus 2 Integrals) Worksheets ...
Integral Calculator Equation at Kathleen Perry blog
Integral Calculus Examples
Miscellaneous problems - Integral Calculus - I
Integration Questions
Calculus - Integral Calculus (video lessons, examples, solutions)
Definite integral x^2
Definite Integral Calculus Examples, Integration - Basic Introduction ...
Integral Problems
Math Tutor - Integral - Solved Problems - Integration
More examples. (a) Integral question with fractional coefficients and ...
Integrals calculus questions || integrals examples || integrals - YouTube
integration - solving integral with complex analysis - Mathematics ...
Integral Calculus - Definition, Formulas, Applications, Examples
Integral Formula Sheet
integration - A simple integral with one question - Mathematics Stack ...
INTEGRAL CALCULUS PRACTICE PROBLEMS (Power Formula & u- Substitution ...
Answered: Solve integral the integral x^3/sqrt(x^2+4) by using: a ...
Definite Integral Practice Problems
Solved definite integral question The answer is D. I just | Chegg.com
Integral and Double Integral Calculus Examples with Solutions
Lots of Basic Antiderivative / Integration / Integral Examples - YouTube
SOLUTION: Integral summary solved exercises - Studypool
Math Exercises & Math Problems: Definite Integral of a Function
A-Level Edexcel Maths Questions - Basic Integration 2 - Revisely
Basic Integral Problems - YouTube
Definite Integration JEE Questions PDF with Solution, Practice Now
Integral Calculus Formulas And Examples at Adrian Grounds blog
Integral Summary+ Solved Exercises - Mathematics - Stuvia US
62CHAPTER 3. INTEGRAL CALCULUSThe two simple examples given here follow..
Practice Questions on Properties of Definite Integrals
How to solve a simple integral - YouTube
Integral Calculator - Examples, Online Integral Calculator
This was the explanation to an integral problem. Did they integrate ...
Applications of Integral - Definition, Worked Examples, Exercise with ...
SOLUTION: Trigonometric integrals important questions with answers pdf ...
Trigonometric Integrals Case 3 | Sample Problem | Integral Calculus ...
SOLUTION: Integral calculus sample problems and solutions - Studypool
SOLUTION: Integral calculus sample problems - Studypool
Beginner Integral Question : r/calculus
1 Lots of Lovely Integrals QUESTIONS | PDF
SOLUTION: Mathematics integrals questions with solutions - Studypool
SOLUTION: Application of integrals most important questions with ...
Integration Examples And Solutions
Solved Integrals
Solved: Basic Integration Problems I. Find the following integrals. 1 ...
Solved Integrals While Solving Integration Question I Forget To Write
Exercise 11.1: Basic Rules or Formula of Integration - Problem ...
Solved CALCULUS 2 - INTEGRATION TECHNIQUES I am practicing | Chegg.com
Solved Calculate the following integrals. (Some definite | Chegg.com
Examples of Finding Integrals - Basic Integration (MTH 145 Section 6-1 ...
Evaluation of Problems using properties of definite integrals ...
100 Integration Problems | PDF
Indefinite Integrals Solved Problems
Integration Problems in Calculus | Examples & Solutions - Lesson ...
Basic Integration (examples, solutions, worksheets, videos, activities)
9. Triple Integrals | Problem#1 | Multiple Integrals - YouTube
SOLVED EXAMPLES [Integrals based on formulae and integration by parts] EX..
U-Substitution for Integration | Formula, Steps & Examples - Lesson ...
[Integrals Class 12] There are many practical applications of Definite
Ultimate Guide to Solving Hard Integrals: Step-by-Step Advanced ...
Solved Properties of Definite Integrals - | Chegg.com
SOLUTION: Integration sample problem with answer and solution - Studypool
Evaluating Definite Integrals Using Integration by Parts ...
SOLUTION: Mathematics – Standard Integrals (Questions + Answers ...
Solved: Definite Integrals of Exponentials Question Examples Evaluate ∈ ...
Definite Integrals Worksheet CBSE Class 12 Mathematics Indefinite And
Quiz & Worksheet - Calculus Integration Problems | Study.com
Solved Examples on Definite Inetgral - Study Material for IIT JEE ...
Most Difficult Indefinite Integrals. I did put up this list after ...
Integration - MATH100 Revision Exercises - Resources - Mathematics and ...
2. Double Integrals | Problem#1 | Multiple Integrals - YouTube
Integration Basic Formulas List Reduction Formulae Applications Of
Calculus Problems
Unit 6.2 - Accumulation Functions, the Fundamental Theorem of Calculus ...
SOLUTION: Definite integral, integration handwritten notes for JEE and ...
Integration by Parts - Worked Examples, Exercise with Answers ...
Solved Below you will find numerous integrals provided to | Chegg.com
SOLUTION: Question 427 some integrals - Studypool
Basic Integration Problems - YouTube
Integration - MATH100 Revision Exercises - Resources - Mathematics ...
core pure 3 notes: integration by parts: examples
Integration Rules And Integration Definition With Examples