Showing 120 of 120on this page. Filters & sort apply to loaded results; URL updates for sharing.120 of 120 on this page
The in- and outputs for the Hildreth and qpOASES algorithm on the PLC ...
Adaptive MPC algorithm for WTS with parametric variations | Download ...
Example of an MPC algorithm | Download Scientific Diagram
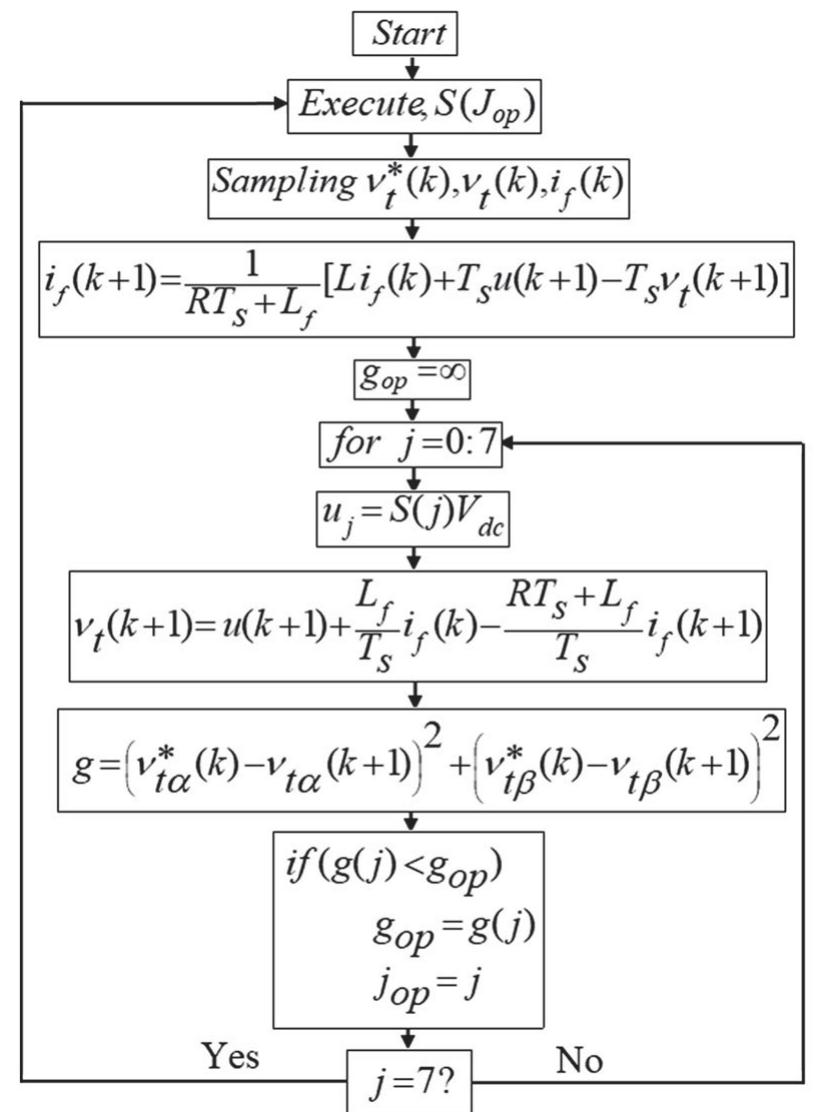
(a) MPC algorithm flow chart for the AFE rectifier; (b) MPC algorithm ...
An Auto-Generated Nonlinear MPC Algorithm For Real-Time Obstacle | PDF ...
A flowchart of the proposed MPC algorithm for Transformerless T-type ...
2 The general structure of the MPC algorithm | Download Scientific Diagram
The in- and outputs for the Hildreth, CVXGEN, and qpOASES algorithm on ...
Full article: Designing MPC algorithms for velocity control of brushed ...
Edge Detection Using Marr Hildreth Algorithm - YouTube
MPC Algorithm Flow Chart | Download Scientific Diagram
Workflow of the MPC problem for the free driving scenario. | Download ...
The structure of the MPC algorithm with nonlinear prediction and ...
Performance-driven MPC algorithm framework. | Download Scientific Diagram
The applied inputs to the system for both the Hildreth (H) and qpOASES ...
3: Structure of an MPC algorithm | Download Scientific Diagram
Proposed MPC algorithm | Download Scientific Diagram
MPC Algorithm Flow | Download Scientific Diagram
Flowchart of the proposed MPC method and the conventional algorithm ...
Structure of tube‐based MPC algorithm | Download Scientific Diagram
Flowchart for the proposed MPC algorithm. | Download Scientific Diagram
The schematic algorithm of the MPC program. | Download Scientific Diagram
Mpc algorithm flowchart
MPC algorithm loop and plant interaction. | Download Scientific Diagram
Comparative Study of Sphere Decoding Algorithm and FCS-MPC for PMSMs in ...
Setup for validation studies and MPC algorithm. | Download Scientific ...
Schematic figure of the procedure to implement the MPC algorithm on a ...
Fully Scalable MPC Algorithms for Clustering in High Dimension | DeepAI
mpc.pytorch: A fast and differentiable MPC solver for PyTorch
Skill Embedding Algorithm and MPC | Download Scientific Diagram
3: Distributed MPC algorithm flowchart | Download Scientific Diagram
Flow diagram of the proposed MPC algorithm | Download Scientific Diagram
Implementation of the MPC algorithm [1, 6) | Download Scientific Diagram
Flow Chart of MPC Algorithm | Download Scientific Diagram
Figure 5 from An MPC-Based Rescheduling Algorithm for Disruptions and ...
Diagram of an MPC motion cueing algorithm [42]. | Download Scientific ...
2 Block diagram of MPC algorithm | Download Scientific Diagram
Tank water levels obtained when the adaptive MPC algorithm based on ...
1: Example of the use of 3 types of MPC schemes on a wheeled-robot in a ...
Implementation of the MPC algorithm [2, 7) Fig. 3 Architecture of MG ...
Adaptive MPC Algorithm | Download Scientific Diagram
MPC algorithm flow diagram. | Download Scientific Diagram
(PDF) Analytical MPC Algorithm Using Steady-State Process Model
Effect of the σ parameter for the Marr-Hildreth (Gaussian) algorithm on ...
Analytical MPC Algorithm Using Steady-State Process Model
MPC simulation result with Hildreth’s algorithm. | Download Scientific ...
The MPC control algorithm. | Download Scientific Diagram
Marr–Hildreth algorithm | Semantic Scholar
Flowchart of the MPC algorithm. | Download Scientific Diagram
Review on Advanced Model Predictive Control Technologies for High-Power ...
Basic structure of MPC algorithm. | Download Scientific Diagram
(PDF) A Constrained Consensus Problem Using MPC
Flowchart of the sequential-processed MPC algorithm. | Download ...
Comparison among Canny, Marr-Hildreth algorithm and... | Download ...
MPC solution approach to MG operations. | Download Scientific Diagram
Application of MPC algorithm. | Download Scientific Diagram
The stages of the MPC algorithm. | Download Scientific Diagram
(PDF) Implementation and experimental validation of classic MPC on ...
A visual representation of a step of the MPC algorithm. The grey ...
Block diagram of the Marr-Hildreth algorithm 2. Compute the Laplacian ...
Schematic of the MPC algorithm. | Download Scientific Diagram
Original control system of MPC algorithm. | Download Scientific Diagram
L-MPC Control Algorithm | Download Scientific Diagram
MPC Algorithm. (A higher resolution / colour version of this figure is ...
Unconstrained MPC regulator with Kalman filter | PauLoMarconi
Marr-Hildreth algorithm | Zero-Crossing Edge Detector | LOG | python ...
Parameters of the MPC algorithm. | Download Scientific Diagram
Proposed MPC algorithm. | Download Scientific Diagram
The framework of algorithm MODE/MPC. | Download Scientific Diagram
Main stages of MPC algorithm. | Download Scientific Diagram
The structure of the MPC-NPL algorithm | Download Scientific Diagram
(PDF) Robust MPC algorithms using alternative parameterisations
Proposed MPC Algorithm. | Download Scientific Diagram
The process flow diagram of multi‐pattern clustering (MPC) algorithm ...
Flow chart of the Set-based MPC algorithm. | Download Scientific Diagram
Flowchart of the proposed finite control set MPC algorithm. | Download ...
CMU Research Introduces CoVO-MPC: A Game-Changing Sampling-Based MPC ...
Figure 1 from Distributed hierarchical MPC based on evolutionary game ...
This plot visualises the residual norms of the Hildreth iterations of ...
Hildreths Quadratic Programming Procedure If the active constraints
PPT - Filtering and Edge Detection PowerPoint Presentation, free ...
(PDF) Introduction to Model Predictive Control
Improved FCS-MPC algorithm3. | Download Scientific Diagram
Introduction to Model Predictive Control - imperix Technical notes
Block diagram of the Marr-Hildreth algorithm. | Download Scientific Diagram
Model Predictive Control Introduction - Research Blog
Overview of solution approaches of MPC. | Download Scientific Diagram
Typical Simple Distillation Column | Download Scientific Diagram
【Linear MPC入门】Model Predictive Control Algorithm, Feasibility and ...
Model Predictive Control (MPC) from Scratch - Derivation and C++ ...
Research on Cold Start of Proton-Exchange Membrane Fuel Cells Based on ...
PPT - DIGITAL IMAGE PROCESSING PowerPoint Presentation, free download ...
Young
PPT - Motion Perception: Theory and Experiments PowerPoint Presentation ...
CMU Research Introduces CoVO-MPC (Covariance-Optimal MPC): A Novel ...
CEC Conference, July 10, 2017 Comparison of different cryogenic control ...
Edge Detection in Detail: Explaining the Marr-Hildreth Edge Detection ...