Showing 120 of 120on this page. Filters & sort apply to loaded results; URL updates for sharing.120 of 120 on this page
Business Combination Journal Entries Example at Alonzo Christensen blog
Business Combination Notes | PDF | Goodwill (Accounting) | Private Sector
Business Combination Guide at Dexter Alba blog
Business Combination Summary Notes - Business Combination - a ...
BUS 402: Business Combination Notes (Part 1) - Key Points & Methods ...
CHAPTER 1: BUSINESS COMBINATION (PART 1) LECTURE NOTES 2026 - Studocu
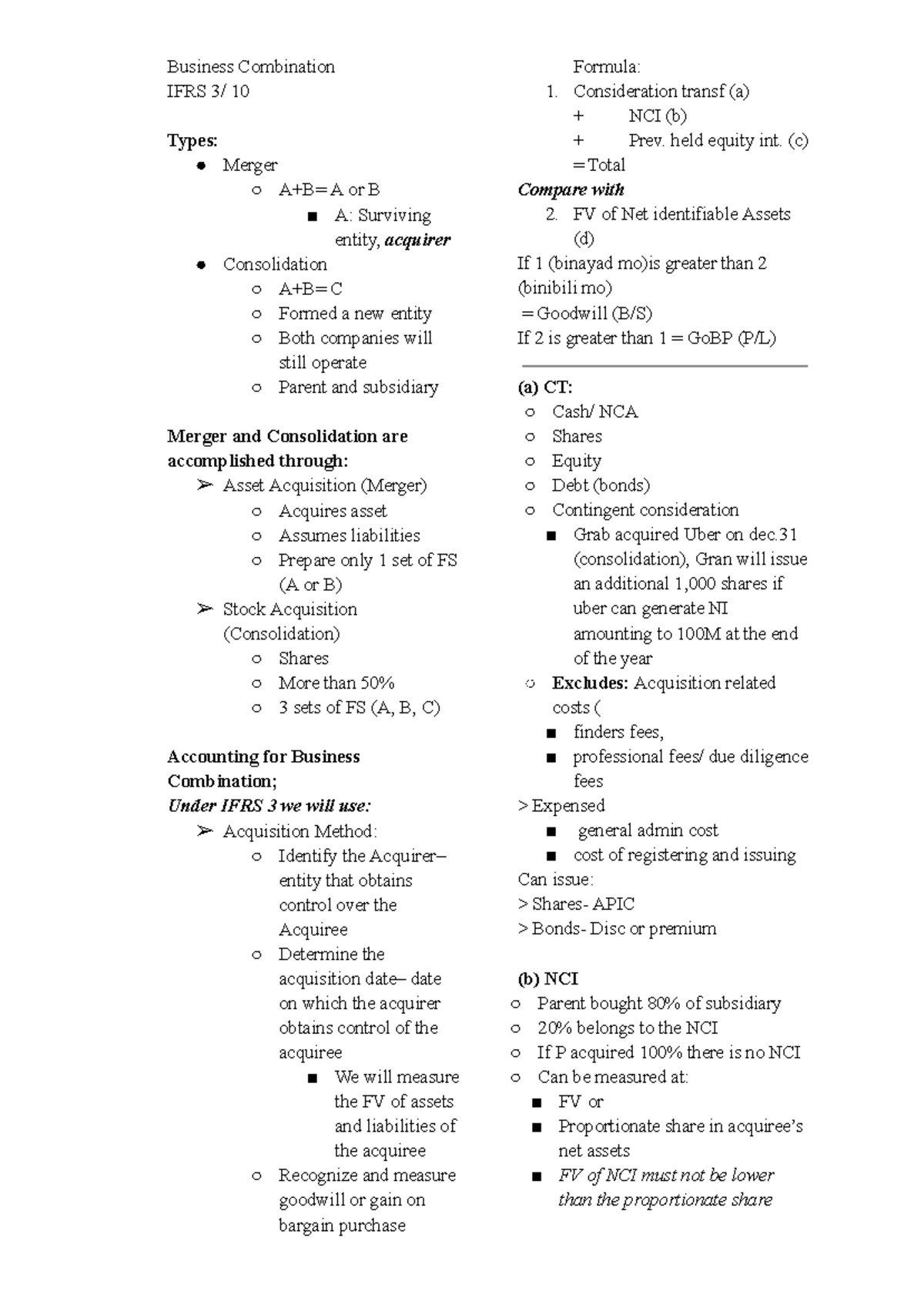
Notes in Business Combination Nano - NOTES IN BUSINESS COMBINATION ...
SOLUTION: Ifrs 3 business combination notes 1 - Studypool
Concept of business combination | PPT
Business Combination - Definition, Types, Examples
Business Combination - BUSINESS COMBINATION Occurs when one company ...
AFAR Review Notes - Business Combination - Review Notes I. Business ...
Business combination for the students - Bachelor of Science in ...
2. Buscom - business combination - Business Combination and ...
Business Combination - What Is It, Types, Examples
Module 1 - lecture notes - ACCOUNTING FOR BUSINESS COMBINATION BUSINESS ...
Business Combination Notes: PFRS 3, Goodwill, NCI
Notes in Business Combination - Notes in Business Combination Methods ...
Business Combination Disclosure Examples at Melissa Trexler blog
Business Combination Notes: Key Concepts & IFRS 3 Overview - Studocu
(DOC) BUSINESS COMBINATION FORMS OF BUSINESS COMBINATIONS
8918 Business Combination NOTES Live Chat PDF | PDF | Mergers And ...
Business Combination - BUSINESS COMBINATIONS LECTURE NOTES IFRS ...
Business Combination (Chapter 5) Reviewer Notes - Studocu
ACP 312 BUSINESS COMBINATION 1ST EXAM REVIEW NOTES - Studocu
Ch.3 Notes L1 Intro to Business Combination - Final - 1 Introduction to ...
Business Combination - Lecture notes - Bachelor of Science in ...
Business Combination - Summary Notes (Course Code: BUS 101) - Studocu
Business Combination (PART 2) - BUSINESS COMBINATION (PART 2 ...
BUSINESS COMBINATION Lecture Notes | PDF | Mergers And Acquisitions ...
AFAR Business Combination Notes - BUSINESS COMBINATION (PART 1 ...
Accounting For Business Combination Notes | PDF | Goodwill (Accounting ...
A11 Summary Notes Business Combination | PDF | Mergers And Acquisitions ...
Business Combination Notes Module | PDF
Business Combination Notes for IFRS 3/10: Mergers and Consolidations ...
ABC NOTES CHAP 1 - BUSINESS COMBINATION AND CONSOLIDATION OF FINANCIAL ...
Chapter 1 - notes in business combination - ACCOUNTING FOR BUSINESS ...
Chapter 2-Business Combination - BUSINESS COMBINATIONS (PART 2) RELATED ...
Business Combination Concept Notes | PDF | Mergers And Acquisitions ...
Business Combination notes - Chapter 1: Business Combination ...
Chapter 3. Business Combinations Part 3 Q and A - BUSINESS COMBINATION ...
Business Combination - Lecture notes 3 - BUSINESS COMBINATION On ...
Chapter 3 Business Combination - Introduction To Financial Accounting ...
📚 Paper Example on Business Combinations - Free Essay, Term Paper ...
50. Business Combination - Practical Accounting 1 Theory of Accounts 50 ...
SOLUTION: Business combinations class examples solutions to example 1 ...
Intro BUS com 1 - NOTES - BUSINESS COMBINATION A business combination ...
SOLUTION: Forms of business combination with examples - Studypool
Business Combination - Advanced Accounting - Studocu
Business Combination Lecture Notes PDF Mergers And Acquisitions ...
Joint Stock Companies and Business Combination notes - JOINT STOCK ...
Week 1 - business combination - Introduction to Business Combination ...
Accounting for business combination - PART 1 - Accounting for Business ...
Business combination - Business combinations are a standard manner for ...
HO5 Business Combination at Acquisition Date | PDF | Debits And Credits ...
Business Combination Discussion, examples and informative in business ...
Business Combination Examples | PDF
Full notes on IFRS 3 Business Combination | ACC4022 - Financial ...
Important Notes for Consolidation and Business Combination - Important ...
Business Combination - Business Combination Note: A. Tax Rate (Goodwill ...
Business Combination - Enjoy - Accounting, Tenth Edition and ...
ACTG 31: Business Combination Notes - Recognition & Measurement - Studocu
Business Combination - Part 1 | PDF | Subsidiary | Mergers And Acquisitions
Business Combination - Business combinations are a common way for ...
Business Combination | PDF | Goodwill (Accounting) | Mergers And ...
Lesson 2. Business Combination Part 2 | PDF | Finance & Money Management
PART 1 Business Combination - PART 1: Business combination Business ...
Business Combination Part 2 | PDF | Goodwill (Accounting) | Fair Value
IFRS 3 - Business Combinations Lecture Notes & Examples for Students ...
Business Combinations Notes: Topic Outline | PDF | Consolidation ...
Module 1 Notes - Business Combinations Introduction to Business ...
Business Combinations Notes - BUSINESS COMBINATIONS 1UI based on PFRS 3 ...
PPT - What is a Business Combination? PowerPoint Presentation, free ...
FRS 102 FACTSHEET 6 BUSINESS COMBINATIONS | Study notes Business | Docsity
Business Combination: Definition, Types and Forms of Business ...
Accounting for Business Combinations Complete Notes | 22320 ...
IFRS 3 Business Combinations | PPT
What is Business Combination? Meaning, Types and advantages
Summarizing and Note Taking
Biss Comb - Lecture notes 1,2 - BUSINESS COMBINATIONS I. Basic Concepts ...
Business Combinations Free Lessons - FAR CPA Exam
Chapter 3 business combinations | PPTX
Chapter 1 - Module on Business Combinations Part 1 - Module on Business ...
Chapter 2-Business Combination - Accounting - Studocu
Download Guide on IFRS 3 Business Combinations as at 2025
Instructional Strategies: Summarizing & Note Taking - ppt download
4AC3 Week 2 Chapter 3 - Chapter 3: Business Combinations Business ...
Accounting For Business Combinations | PDF | Goodwill (Accounting ...
PPT - Note Taking PowerPoint Presentation, free download - ID:4777435
Business Combination: Types and Forms
Business Combinations Notes | PDF | Mergers And Acquisitions | Goodwill ...
Advance Accounting II: Business Combinations & Consolidations Notes ...
Chapter 2 Business Combinations (Part 2) - Business Combinations (Part ...
Accounting for Business Combinations-introduction - Unit 3 Accounting ...
PPT - Chapter 8 - Appendix A Business Combinations PowerPoint ...
Business- Combination Solution - Advance financial accounting - Studocu
Guide To Business Combinations | PDF | Goodwill (Accounting) | Mergers ...
BSA PROF 2 - Lecture notes 1 - Types of Business Combinations ...
Chapter 2 - Notes on the Business Combinations second part discussing ...
Chapter-1-business-combinations-part-1 compress - Chapter 1: Business ...
Chapter 3-Business Combination - Accounting - Studocu
Fair Value in Business Combinations | PDF | Goodwill (Accounting ...
FRS 102 Business Combinations Factsheet 6 | Lecture notes Business ...
Chapter 2 Business Combinations Part 2 - Accounting - Studocu
Consolidated FS - This lecture notes contains concepts of business ...
Understanding Business Combinations and Accounting Entries | PDF ...
Business Combinations Types Examples Horizontal, Vertical
Understanding ASC 805: Guide to Mergers and Acquisitions With ASC 805
Business-Combinations Merger-Consolidation Advanced-Financial ...