Showing 120 of 120on this page. Filters & sort apply to loaded results; URL updates for sharing.120 of 120 on this page
Invitation Format and Samples - Final Exam Guide - Studocu
Exam1 Study guide - Chapter 1: Invitation To Management EXAM #1 1. What ...
E) B1 Preliminary For Schools Exam Invitation | PDF
Formal & Informal Invitation | English Core | Class XII | Board Exam 2024
Exam Invitation for November 2013 Exams - INTEC College
Free Exam Study Guide Template For Google Docs
InvitationBest Of Luck For Exam Wishes Invitation | Zazzle
Exam Registration Guide | PDF | Life Insurance
Exam Guide : Questionnaires For Competitive Exams - Exam Guide : इन ...
Free Exam Prep Study Guide Template For Google Docs
Exam Invitation | PDF
DCC Exam Invitation June 2022.pdf - 07 April 2022 Dear Student ...
Exam Study Guide Template - Download in Word, Google Docs | Template.net
Exam Study Guide Template in Word, Google Docs - Download | Template.net
LET Exam Prep Invitation | PDF | Career & Growth | Social Science
Exam Guide | PDF
How to Make Invitation card For Exam BEST Format 👌 Sample Of Invitation ...
Final Exam Study Guide for PSY 101: Intro to Psychology ...
Candidate Guide Exam Process January 2020 | PDF | Identity Document ...
Grade 12 Exam Control Test Invitation - INTEC College
Board Exam English | Invitation Writing | Invitation Writing format ...
Exam Guide for University Students | PDF | Qr Code | Image Scanner
Printable Exam Study Guide Exam Planner for Students - Etsy
EXAM GUIDE
Invitation to may/june 2011 exam session - INTEC College
Goethe Exam Registration Guide | PDF | Career & Growth
Invitation Writing Class 12 Board Exam 2024 - YouTube
Exam Guide
Exam Invitation - Help Center - OnlineExamMaker
Invitation To Exam Prayer | PDF
Ultimate Guide To Exam Preparation – Studeo Spaces Bookings
Exam Tips and Guide for Students
Exam Committee Invitation Letter | Templates at allbusinesstemplates.com
Invitation to Comment on Exam Released - NASBA
EXAM Study Guideline - this is a comprehensive guide to exams and ...
How to write an invitation in English | For O/L & A/L Examination | New ...
INVITATION TO AS LEVEL EXAMINATION - INTEC College
Invitation: Seminar on Exam Preparation for GCTU Students - GCTU
Exam Cover Images - Free Download on Freepik
Gmail - Invitation For Selection Test - Scholarship Undergraduate ...
Editable Study Guide Templates in Google Docs to Download
Free All-in-One Study Guide Template For Google Docs
How to Prepare Invitation card In English Class 9 & 10 SEE Exam💃 ...
9 Interview Invitation Emails That Will Wow Your Candidates
Free Modèle de Guide d'Étude d'Examen Modèle dans Google Docs and ...
Examination of Invitation 1 | PDF | Humanities
Invitationwriting Class 12 Board Exam 2025 | PDF
How to ️ an impressive Invitation cards।pre SEE,and SEE 2079 ...
TIAS Capacity Test - Guide and Practice [2025] - Aptitude Test Prep ...
The Ultimate Exams Guide | UWA Student Guild
How To Write Invitation In Exams? Invitation Format In English Grammar ...
How to Send Exam Invitations to Invite Candidates to Attend Exams ...
Invitation and Replies Format Class 12 Examples, Questions – Learn Cram
CBSE Class 12 Informal Invitation Format and Practice Questions 2025
Free Training Invitation Templates, Editable and Printable
Examination of Invitation
8 Invitation Email Templates to Boost Attendance + Examples
Invitation Letter Format Pdf Download | CBSE English Class 12th
Invitation for Chief Guest Format and Samples for Independence Day
The English School: Invitation to Pre-Exam Party
Creating Exam Invitations
Invitation to Treat in English Contract Law – UOLLB®
Zoom Meeting Invitations for Exam Review Sessions | Course Hero
Invitation Writing & its Replies- Formal & Informal Invitation Class ...
An Invitation to Health – Test Bank (20th Edition) | Complete Verified ...
Exam Instructions For Students | PDF
Invitations Reply Examples What You Should Wear To Informal Invitation
Test Drive Invitation - Creativegrape
How to write an invitation – A1 English writing - Test-English
Formal Invitation - English-I - Notes - Teachmint
DAILY TEST 2 INVITATION LETTER online exercise for | Live Worksheets
What Is Invitation Letter And Examples - Design Talk
test invitation | Zazzle
College Examination Arrangements Guide | PDF | Learning Disability ...
Exam Registration Instructions | PDF | Identity Document | Computing
Test Invite Exam Software: How to Import Candidates and Give Access ...
Board Exam Guides
FREE 50+ Study Guide Samples in Google Docs | MS Word | Apple Pages | PDF
Invitation and Replies Class 12 CBSE | Invitation Writing Class 12 ...
Exam Instructions For The Students | PDF
Meeting invitation.docx - Meeting invitation Dear all It is with great ...
FWD: Invitation For Your Students To Compete in 10th National ...
SIG Online Assessment/Quantitative Evaluation – Full Guide [2023 ...
DAILY TEST 2 INVITATION LETTER | Aqmarinadb | Live
Oral Exam Guides ASA
Q&A with Test Invite on use of exam software for recruitment, training ...
Online Exam Platform for Secure, High-Stakes Exams | Synap
Exam Instructions and Guidelines | PDF
How To Write In Invitation Card - Infoupdate.org
General Instructions For Online Exam 1 1 | PDF | Career & Growth | Business
Pilot Checkrides: 7 Tips to Pass & Everything Else You Need
How to Prepare for Board Examination - Ahmedabad Management Association
Build-Your-Own Test Invitations – Knowledge Base Home
The Institutes' QuizMe App - InsuranceExamGuides.com
ExamGuide - How to download, install and activate ExamGuide JAMB UTME ...
ExamGuide - WAEC Opens Portals for the 2025/2026 WASSCE School Recognition
Invitations & Replies: Format, Types, Examples & Practice Questions in PDF
ExamGuide - Pass Exams in One Sitting
Seminar Invitations | Send online instantly | RSVP tracking
Free AI Study Plan Generator, Free Study Plan Maker Online
Best CBSE School in Attapur, Hyderabad | OLIVEMOUNT SCHOOL | News ...
Instructions For Exams 2021-22 | PDF
[Code Tests Resources] How to create test and invite candidates | Elite ...
LearnEnglish – British Council - Here's a fantastic 💜 model of a letter ...
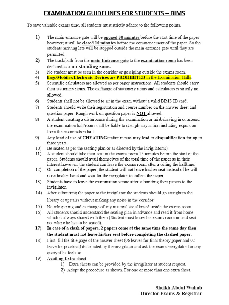
Examination Guidelines for Students | PDF
Scheduling Exams | Student Accessibility Services
When to send formal wedding invitations | Beachweddingtips.com