Showing 120 of 120on this page. Filters & sort apply to loaded results; URL updates for sharing.120 of 120 on this page
PPT - Random Generation and Enumeration of Proper Interval Graphs ...
Combinatorial Enumeration of Graphs | IntechOpen
Enumeration of Graphs - YouTube
COMPARISON AND ENUMERATION OF CHEMICAL GRAPHS - Computational and ...
(PDF) Enumeration of graphs with signed points and lines
Enumeration in Graphs | Graph Theory | Poornaprajna College - YouTube
Enumeration of Graphs Equivalence Relations Theorems in -GATE CSE Video
Figure 5 from SMT-based enumeration of object graphs from UML class ...
Figure 10 from Subgraph Enumeration in Dynamic Graphs | Semantic Scholar
Enumeration of Labeled Series-Parallel Tricyclic Graphs
An Exact Enumeration of Distance-Hereditary Graphs | Jérémie Lumbroso ...
Free Video: Enumeration of Regular Graphs - Part 5 from IAS | PCMI Park ...
Graphs showing cell enumeration 92 to 96 hours posttransfection. A ...
(PDF) Enumeration of labeled connected graphs with given order and size
(PDF) Enumeration of regular graphs by using the cluster in high efficiency
Table 1 from Combinatorial Enumeration of Graphs | Semantic Scholar
Graph enumeration - YouTube
Enumeration graph of the scheme outcomes in example 1 | Download ...
Enumeration performance in the subitizing and counting ranges. a ...
Plot enumeration rules — OpenTURNS 1.23 documentation
Sample graph enumeration. a Sample graph b Enumeration tree of the ...
Enumeration tree produced by Algorithms 1 and 2 for graph G of Fig. 2 ...
a A node-attributed graph and b the associated enumeration tree. For ...
Figure 1 from Recursive Formula for Labeled Graph Enumeration ...
A New Record of Graph Enumeration Enabled by Parallel Processing
Graph enumeration – act65 – More questions than answers
Figure 2.1 from CAYLEY GRAPH ENUMERATION | Semantic Scholar
3: Model Enumerator with Large Social Graphs | Download Scientific Diagram
A Generalized Implicit Graph Enumeration Algorithm For Graph Coloring ...
SOLUTION: Analysis of enumeration data or chi square - Studypool
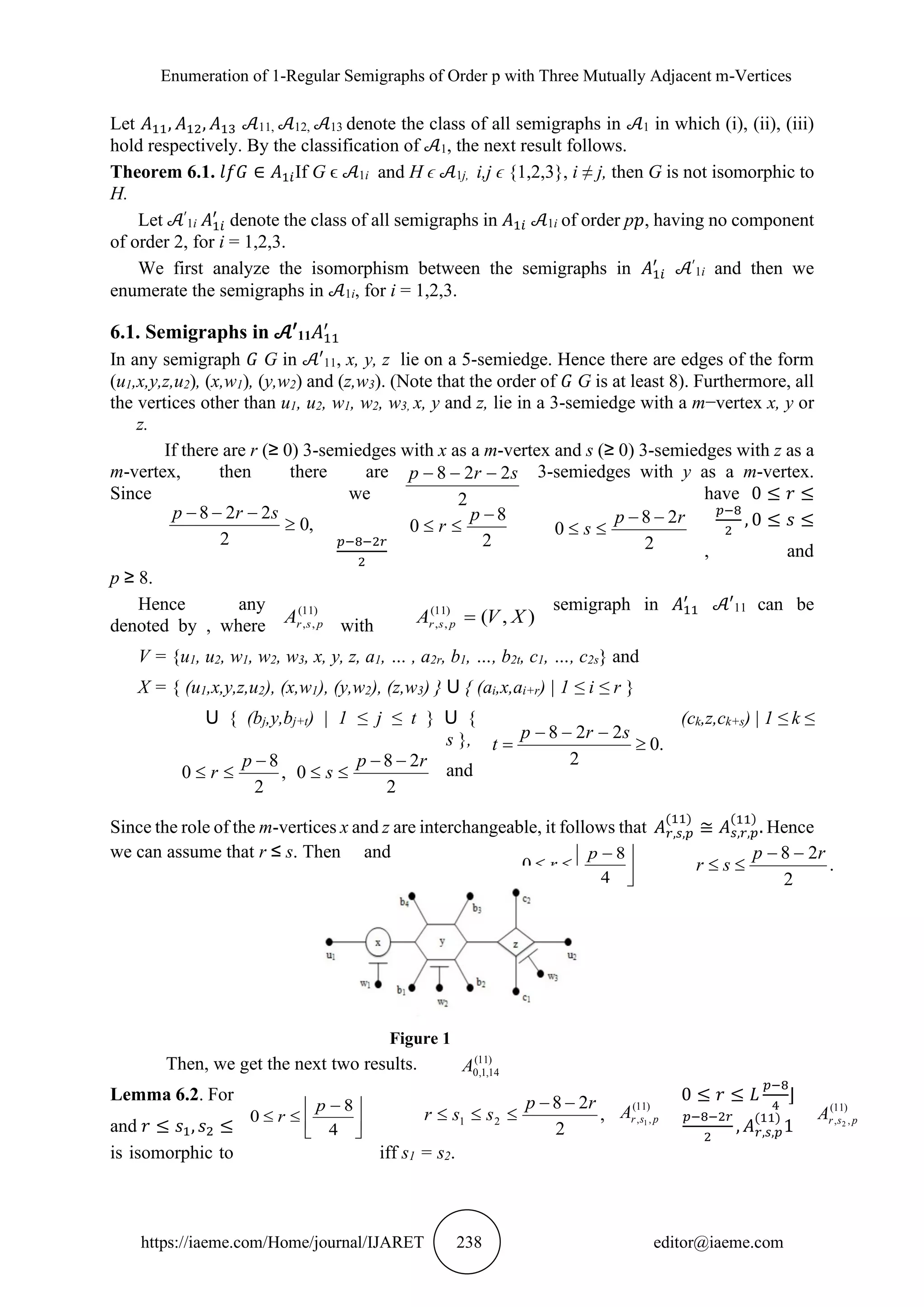
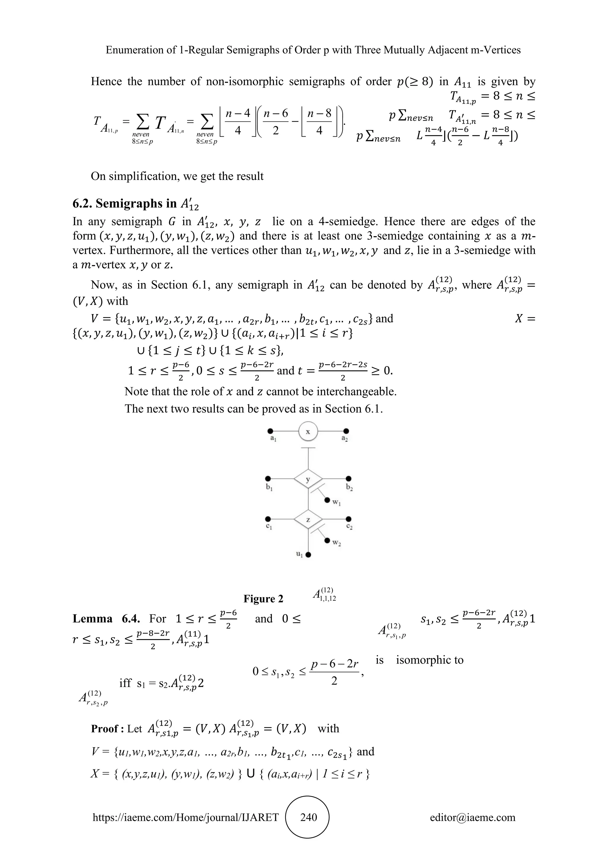
ENUMERATION OF 1-REGULAR SEMIGRAPHS OF ORDER p WITH THREE MUTUALLY ...
PPT - Enumeration PowerPoint Presentation, free download - ID:3987038
Comparison of subgraph enumeration methods. a Running time and b I/O ...
Cluster structure of the enumeration graph of the scheme outcomes ...
bnlearn - Counting and enumerating graphs
Distribution of enumeration errors as a function of the grouping ...
(PDF) ENUMERATION OF GRAPH COVERINGS
Graph enumeration - Wikipedia
Enumeration methods ppt | PPTX
Example illustrating the position enumeration process: a) initial ...
The process of building the enumeration tree for the input graph in ...
Enumeration A different approach to defining your own
Combinatorial Classes | An Invitation to Enumeration
Combinatorial enumeration of groups, graphs, and chemical compounds ...
(PDF) Record-Breaking Graph Enumeration via Supercomputing
Figure 2 from Recursive Formula for Labeled Graph Enumeration ...
Enumerating International Enumeration Update Australia Comscore,
PPT - Methods of Enumeration PowerPoint Presentation, free download ...
Graph signature enumeration algorithm. The figure depicts the ...
Comparing the exhaustive subgraph enumeration and random sampling on ...
Enumeration Algorithms Complexity on Enumeration Basic Algorithms Maximal
What Is Enumeration Method
An overview of the enumeration procedure | Download Scientific Diagram
Results of Exp-8: subgraph enumeration on the compressed graph over the ...
Labelled Constructions | An Invitation to Enumeration
GitHub - gowriganeshns/Enumeration: Enumeration Techniques
Enumeration of walks from a graph, ordered by lengths. Each color ...
Figure 3 from An Algebraic Representation of Graphs and Applications to ...
Automated reduction of attack surface using call graph enumeration | PPT
2.3: Graph enumeration is equivalent to finding solutions for the fine ...
Data, Cell assembly enumeration in random graphs, By OpenStax (Page 4/4 ...
(PDF) Enumeration of Full Graphs: Onset of the Asymptotic Region
Enumeration tree chart and frequent episode chart | Download Scientific ...
Enumeration graph for a serial episode | Download Scientific Diagram
Introduction, Cell assembly enumeration in random graphs, By OpenStax ...
Application of our enumeration algorithm to D = [(100, 110, 001), (n 1 ...
The enumeration time (minutes) of... | Download Scientific Diagram
e-Assessment of graph enumeration problems in Discrete Mathematics ...
An example rule derivation graph for base enumeration depth d = 2 ...
Enumeration RT for 1 to 3 items as a function of the number of items ...
Enumeration Types In C
A complete enumeration tree (dash line) and an example tree (solid line ...
PPT - Structs and Enumeration PowerPoint Presentation, free download ...
PPT - Graph Analytics PowerPoint Presentation, free download - ID:1947328
Graph Mining - Koji Tsuda - MLSS 2012 Kyoto Slides - yosinski.com
Performance in reporting numerosities in Experiment 1. In each graph ...
PPT - How to label a graph edge-gracefully? PowerPoint Presentation ...
Structure. - ppt download
PPT - Graph theory as a method of improving chemistry and mathematics ...
Using Graphic Organizers to Understand Text By Barbara Noel. - ppt download
Chapter 10 Simple Data Types: Built-In and User-Defined - ppt download
PPT - Value Types and Reference Types Enumerations and Structures ...
PPT - Enumerations PowerPoint Presentation, free download - ID:2884416
PPT - Chapter: 7-12 PowerPoint Presentation, free download - ID:306664
PPT - CMPE-013/L Enumerations PowerPoint Presentation, free download ...
Introduction_to_Enumeration_Rules_and_Problem_Solving.pptx
LDAP Enumeration: Unveiling the Double-Edged Sword of Active Directory
Drawing a set-enumeration tree using Java and GraphViz | The Data ...
PPT - Exact and approximate inference in probabilistic graphical models ...
Class diagrams - Astah
Example of enumerating a candidate graph | Download Scientific Diagram
Pruning Method 1
PPT - Kavosh : a new algorithm for finding network motifs PowerPoint ...
Enumerated and Analytical Statistics — Profound - Having intellectual ...
IS Program Design and Software Tools Introduction to C++ Programming ...
What is enumeration?
PPT - Introduction to advance class modelling PowerPoint Presentation ...
A Walk Through Combinatorics: An Introduction to Enumeration, Graph ...