Showing 120 of 120on this page. Filters & sort apply to loaded results; URL updates for sharing.120 of 120 on this page
SOLUTION: Introduction To Engineering Vector Mathematics Notes - Studypool
Vector calculus - Notes are good - Engineering Mathematics IV - Studocu
SOLUTION: Engineering mathematics vector calculus complete solved notes ...
Vector calculus class notes L1 - Engineering Mathematics III - Studocu
ENGINEERING MATHEMATICS Vector Calculus Notes (12122) - Studocu
SOLUTION: Vector calculus engineering mathamatics handwritten notes ...
SOLUTION: Engineering mechanics vector addition notes - Studypool
Engineering Mathematics II: Chapter 2 - Vector Calculus Notes - Studocu
Calculus engineering Mathematics 2 M2 Vector Calculus engineering Notes ...
Summary - civil engineering vector calculus - Summary Notes for Vector ...
Vector Math - Engineering Mechanics - Statics - Lecture Slides - Docsity
Vector Calculus.pdf - Engineering Mathematics - Notes - Teachmint
Engineering Mathematics Notes | Handwritten Note with Detailed
Vector Calculus for Engineers (MATH 101) Lecture Notes by J.R. Chasnov ...
SOLUTION: Vector calculus notes - Studypool
SOLUTION: Engineering mathematics vectors and vector integration ...
SOLUTION: Maths vector algebra notes - Studypool
SOLUTION: Vector notes important - Studypool
Vector Calculus - Lecture notes 7 - Calculus for Engineers - Studocu
Hand Written Notes For Eigen Values and Eigen Vectors - Engineering ...
Vectors Notes - EngineeringMaths2017 - Engineering Mathematics EE1X ...
Products – Engineering Notes with Palden
SOLUTION: Engineering mathematics eigen values and eigen vectors notes ...
SOLUTION: Vector calculas engineering mathematics - Studypool
SOLUTION: Vector notes - Studypool
(PDF) Engineering Mathematics - Vector Algebra
SOLUTION: Vector maths short notes 5 - Studypool
Hand Written Notes: Vector Calculus - Engineering Mathematics for ...
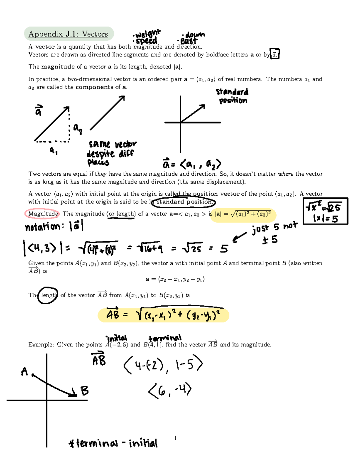
J.1-j.3 lecture notes - Appendix J: Vectors A vector is a quantity that ...
Revision Notes for Engineering Mathematics 1 | ENG1063 - Engineering ...
Vector calculus in engineering mathematics - VECTOR CALCULUS Line ...
Math Cheat Sheet | Vector Calculus
SOLUTION: Short notes on vector analysis - Studypool
SOLUTION: IIT/JEE Vector notes - Studypool
Vector Calculus for Engineers Lecture Notes
Vector Calculus for Mechanical Engineering | PDF | Gradient | Derivative
SOLUTION: Engineering mathematics vector calculus - Studypool
GCSE Mathematics Vector Notes | Teaching Resources
Vector Diagrams | Maths | Edexcel GCSE Revision Notes
Engineering Mathematics | Vector Calculus | Vector Differentiation ...
Unit 4 Vector Differentiation (1) Engineering Mathematics | PDF
Compiled Blank Notes M151 - J Introduction to Vectors and Vector ...
2 VECTOR MECHANICS FOR ENGINEERS STATICS Lecture Notes
Engineering Mechanics Vectors | PDF | Euclidean Vector | Torque
Engineering Mathematics: Vectors Course | PDF | Euclidean Vector | Force
Vector Analysis BSc Physics notes PDF Download | Physics notes, Physics ...
Engineering Mathematics 140 - Study Notes | 307538 - Engineering ...
Engineering Mathematics - Notes - LearnPick India
Engineering Mathematics 23 | Vector Calculus - Differential Vector ...
SOLUTION: vector explained mathematics hand written exclusive notes ...
Vector Mathematics - Engineering Mechanics Statics - Lecture Slides ...
Scalars AND Vectors Notes - Mechanical Engineering - Studocu
Vector Basics Notes, Examples, Handout & Assessments by Certified Math Geek
Vectors - A-Level Maths Notes - EngineeringNotes
Vector Cheat Sheet
Vectors Notes (IGCSE Cambridge Additional Mathematics) | Teaching Resources
IB Maths SL - Topic 4 Vectors - Notes | Teaching Resources
SOLUTION: A Level Maths Vectors Notes - Studypool
Notes for Lecture 5 - Vectors - Linear Algebra and Statistics for ...
SOLUTION: Mathematics vectors handwritten notes - Studypool
Vector calculus for engineers - Docsity
SOLUTION: Btech hand written notes for eigen values and eigen vectors ...
Vector Calculation Rules Examples And Vector Calculator
Vectors | Physics and mathematics, Basic physics, Math tutorials
A Level PURE Mathematics Vectors Notes - VECTORS Straight line in space ...
Notes on vectors and matrices
Unbelievable Vector Formulas Pdf Icse Class 9 Physics Solutions
ENG1001 Notes Matrices and Vectors | PDF | Teaching Methods & Materials ...
SOLUTION: Vectors quick revision notes - Studypool
SOLUTION: Vectors notes - Studypool
I Need to Study. : Photo | Math vector, Math notes, Map math
SOLUTION: Vectors and scalar physics notes - Studypool
Vectors Course Notes 2022 copy - Vectors Notes Unit 5 – Introduction to ...
Geometric Vectors - NOTES - 1 Geometric Vectors 1 Definitions ...
SOLUTION: Vectors class 11 notes types of vectors - Studypool
Using Vectors in Mechanics - A Level Maths Revision Notes
SOLUTION: Vectors notes and equations mathematics pdf - Studypool
SOLUTION: Mathematics Vectors notes with Solved Calculations - Studypool
Vectors Notes | PDF
SOLUTION: Notes vectors - Studypool
SOLUTION: Vectors and projectile motion notes - Studypool
SOLUTION: Physics vectors short notes - Studypool
SOLUTION: Vectors maths formulae/short notes in english - Studypool
SOLUTION: The plane of vectors notes - Studypool
SOLUTION: Basic engineering mathematics vectors - Studypool
SOLUTION: Scalars and vectors detailed notes - Studypool
Vector Calculus for Engineers (Mathematics for Engineers): Chasnov ...
Vectors - Mathematics Handwritten Notes | PDF
vectors notes - everything about vectors - Vectors Vectors are close ly ...
Physics Notes: ️ Vector Addition, Components of Vector | GoodNotes ...
Vector Mathematics and Geometry | PDF
Vectors Algebra Notes | PDF
Vector Calculus Tutorial for Engineers
Astounding Vector Cheat Sheet Pictures
Introduction to Vectors | Cambridge (CIE) IGCSE Additional Maths ...
SOLUTION: Statics For Engineering. Chapter 2- Force Vectors. Concepts ...
Physics introduction to vectors part 4 – Artofit
Vectors - Formula Sheet | PDF
Lecture notes, lecture 1 and 2 - Vectors - FACULTY OF MATHEMATICAL ...
vector-calculus-for-engineers
Formula Sheet Vectors Class 12 at Janis Clayson blog
Unit 4 Notes: Understanding Vectors in Mathematics - Studocu
Vectors 1 - This is from the first module lecture notes. - Vectors ...
Engineering-Mechanics Notes.pdf
06math-vectors.pdf