Showing 120 of 120on this page. Filters & sort apply to loaded results; URL updates for sharing.120 of 120 on this page
Language Arts Notes | PDF
Module 4 Guided Notes LA2.docx - Module 4 Language Arts 2 Guided Notes ...
MS. RODRIGUEZ'S NOTES - Language Arts
Technical Data Encoding Guide | PDF | Language Arts & Discipline ...
Language Arts Anecdotal Notes by MS P | TPT
Language Arts Notes by Crystal Dunn | Teachers Pay Teachers
Language Arts: Taking Cornell Notes in the Language Arts Class - YouTube
Encoding Schemes and Number System Notes | PDF | Character Encoding | Ascii
Phonics Decoding and Encoding Activity with Sticky Notes
Encoding Decoding Model of Communication by Stuart Hall Notes | PDF ...
Encoding Notes | PDF
encoding schemes and number system notes - YouTube
Sentences notes: Language Arts
Encoding - notes - Encoding One-hot encoding is a process used in ...
Language Arts - Exam Cohort Notetaking Resource - Exam Cohort ...
AP CSP Demystified | Encoding Text | Lecture Notes | High School | U3L3
Language arts | PPT
Design Engineering - Visual Encoding Notes | PDF | Computers
Language Arts Interactive Notebook Grades: 4-7 – Learn in Color
Notes 9 | PDF | Binary Coded Decimal | Character Encoding
Simple **mens encoding of notes and rests. | Download Scientific Diagram
Encoding In Communication Systems - Notes - MyPrivateTutor UAE
Encoding Schemes and Number System Chapter Notes - Computer Science for ...
Semantic encoding during language comprehension at single-cell ...
Chapter 5 - Lecture notes 5 - Verbal Communication Encoding and ...
Encoding In Language | LlamasOnTheRun.github.io
Encoding Decoding - notes for readings - PSY222 - Studocu
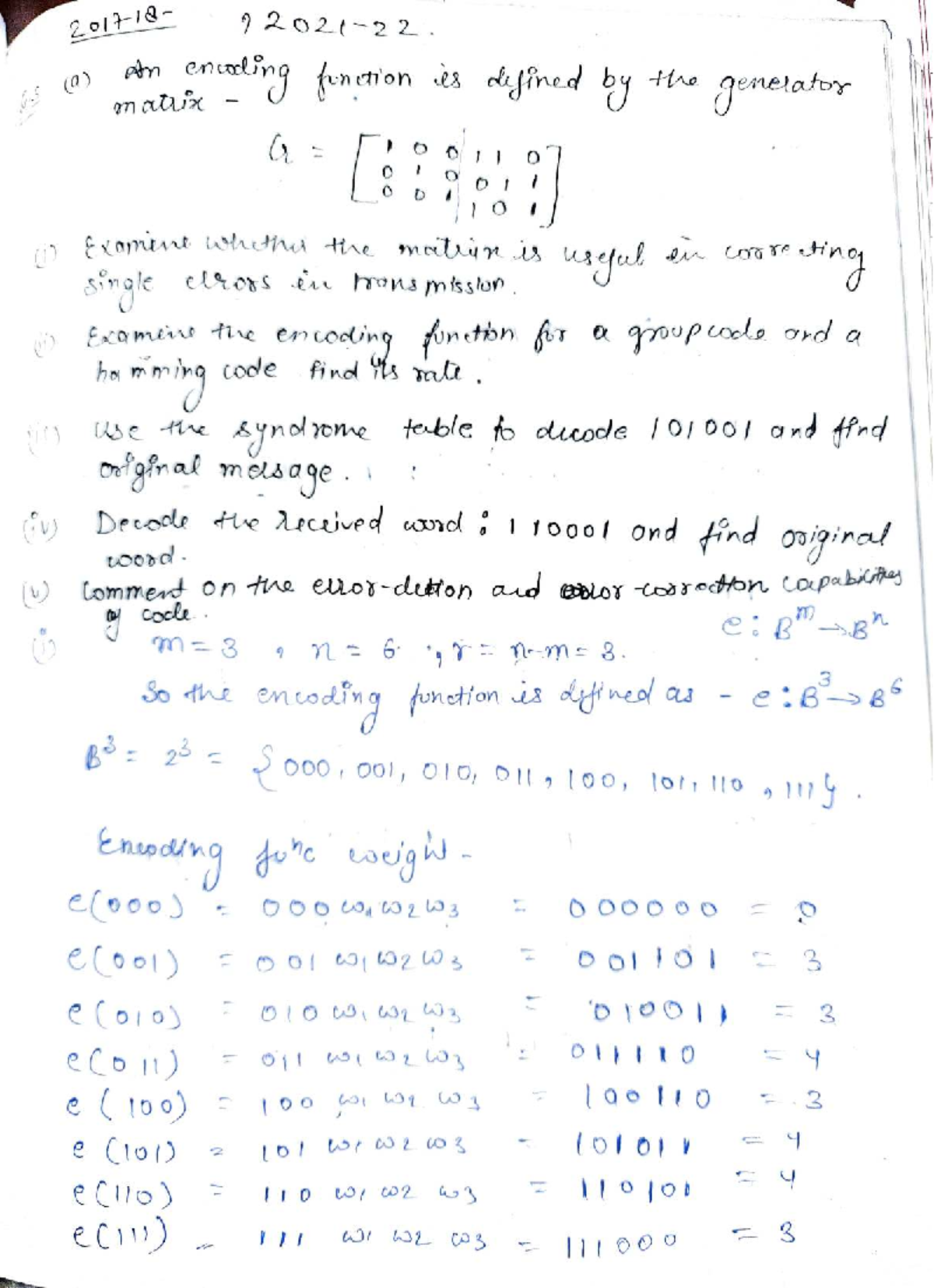
DMS 3 - Comprehensive notes on encoding functions and tables - Studocu
Encoding Spreadsheets for Large Language Models - ACL Anthology
Coding Systems Student Notes | PDF | Ascii | Character Encoding
823148448 CH 3 Encoding Schemes & Number Systems Notes - Studocu
L6 - HTML and Encoding - Lecture notes 6 - L6 HTML and Encoding Markup ...
NETWORKING - Data Encoding - Notes - LearnPick India
Additional Notes in Comms 3 | PDF | Ebcdic | Character Encoding
Psych Notes 3 29 - Encoding Definition: Receiving, labeling, and coding ...
Ch7 notes - CHAPTER 7: LTM ENCODING AND RETRIEVAL o Encoding is ...
Decoding and Encoding | Phonics instruction, Teaching phonics, Learning ...
Encoding And Decoding Reading
Stuart hall encoding decoding | PPTX
(PDF) Semiotics Semana 9 DB Notes -Encoding and Decoding - DOKUMEN.TIPS
-Linguistic strategies of encoding | Download Scientific Diagram
Encoding, Decoding and Understanding (Print) Language — The Literacy Bug
PPT - Deaf History Notes Illustrations by Brian Cerney PowerPoint ...
Encoding And Decoding In Communication
Studying 101: 3 Encoding Skills You Need To Know - Bettering Youth
Encoding and Decoding Interactive Easy Reader | TPT
What is encoding in literacy - opmsourcing
Lesson 1 Worksheet Encoding PDF | PDF
The Art of Encoding - Aksioma
5 Encoding Ideas to Practice Phonics and Build Spelling Skills - Tales ...
NCERT Textbook: Encoding Schemes and Number System - Humanities/Arts ...
Encoding ~ Alphabetic Principle~ Kindergarten Foundational Reading Skills
Class 11 Encoding Schemes Notes: Important Points - CS-IP-Learning-Hub
Encoding Decoding
Encoding Free Downloads
7 Must-know Techniques for Encoding Categorical Features
Decoding and Encoding by Learning Support Lady | TPT
Grammatical Encoding for Speech Production
Encoding and Dictation and Why is Matters — Literacy Edventures
Decoding and Encoding in Early Literacy: Strategies & Stages - Studocu
S4 E8 New Understandings about Encoding — Reading Teachers Lounge
Encoding and Decoding in Reading: Why Writing Words Absolutely Helps ...
Week 1&2 - Week 1 and 2 notes - ####### Text Preprocessing Techniques ...
LLM study notes: Positional Encoding | by xuer chen | Medium
PPT - Enhance Your Memory: Effective Encoding Strategies for Consistent ...
Solved 1. Use the encoding function | Chegg.com
Encoding and Decoding Techniques. | by Yousef09 | Medium
What Encoding Does Word Use at Cameron Malone blog
Encoding-Decoding - Essay - MA English Language and Literature - Studocu
BASIC ENCODING | PDF
Encoding Assessment - Full Version by REED Charitable Foundation
23 Encoding Practice ideas | first grade teachers, student learning ...
Effective Language Note-Taking Techniques for Learners | Galaxy.ai
Expert Strategies for Teaching Encoding and Decoding Skills - Orton ...
Encoding - ENCODING – MÃ HOÁ When information comes into our memory ...
What is encoding in literacy - plekeys
AP CSP Demystified | Encoding Text | Lesson Plan | High School | U3L3
Encoding vs. Decoding in Reading | Definition & Examples - Lesson ...
Encoding Strategies to Boost Your Learning
Decoding & Encoding: What Are the Differences? - Literacy Learn
VLC001: Overview
PPT - Elements in AGRIS AP PowerPoint Presentation, free download - ID ...
Phonics 101: A Teacher’s Guide to the Basics of Early Reading ...
Decoding and Encoding: How to Work on Spelling Skills - Naomi O'Brien ...
Elaborative Encoding: 10 Examples & Definition (2026)
You Teach Phonics… But Are You Missing This Key Step? (Hint: It’s ...
'Encoding' Explained - What It Is and Why It's Essential To Literacy ...
Free Class Note Templates, Editable and Printable
PPT - Interpersonal Communication PowerPoint Presentation, free ...
Communication Skills | PPT
Teaching Writing in Small Groups (and What the Other Kids Are Doing ...
PPT - Cognition 7A – Memory 7B – Thinking, Problems Solving, Creativity ...
Enhancing Literacy Skills: Decoding, Encoding, and Word Study | Course Hero
'Encoding' Explained: What It Is and Why It's Essential to Literacy
Encoding, Storage - Lecture Notes, Lecture 13,16 - Encoding, Storage 12 ...
WHAT IS DECODING?
How to Teach Sentence Writing using a Research-Based Approach — Ascend ...
Digital Technology & Electronics - ppt download
2+ +encoding | PDF | Memory | Learning
When students can’t decode but can encode and vice versa. – Teachie ...
Lecture No 8 Manchester and Differential Manchester Encodings
Video 17 - Decoding and Encoding.pdf - Reading Instruction Lectures ...
PPT - Why ESL Phonological Teaching Improves ELLs’ Literacy Skills ...
Encoding, Decoding and Understanding — The Literacy Bug
Visual literacy integration_in_the_classroom 2 | PPTX
Decoding Worksheet for Young Students