Showing 120 of 120on this page. Filters & sort apply to loaded results; URL updates for sharing.120 of 120 on this page
Het testen van de EMV score (Glasgow Coma Score) - YouTube
EMV score Glasgow coma schaal /AVPU: Bewustzijn controleren
[Solved] De score op de Glasgow coma scale en de EMV score te - Fysio ...
[Solved] De Glasgow coma scale en de EMV score - Fysio - Studeersnel
DOS score meten bij patiënten met een verminderde EMV score. by Jeanine ...
Plots of MMSE score of all participants (n = 30) against EL (A), EMV ...
EMV score patient op IC on Vimeo
Glasgow Coma Scale avpu alert verbal pain patient score first aid test ...
EMV Eye-motor-verbal (Glasgow Coma Scale) By, 43% OFF
Normal Gcs Score National Early Warning Score (NEWS2) Standardising
Glasgow Coma Scale (GCS) Protocol - EMV Summary Document - Studeersnel
Glascow coma scale EMV - Samenvatting hulpverlening - Titel: Glasgow ...
Pediatric Glasgow Coma Score | Emergency nursing, Pediatric nursing ...
Early Warning Score System at Linda Comstock blog
Early Warning Score (EWS) in the Digital Age - cosinuss°
Critical reward separates the EMV curves into regions. | Download ...
Normaalwaarden en Parameters voor EMV en Vital Signs - Studeersnel
PREDICT VV-ECMO score for ECLS patients | ELSO (The Extracorporeal Life ...
A wide range of possible EMV values for a given bid. | Download ...
Glasgow coma scale avpu alert verbal pain patient score first peintures ...
Cara Menggunakan Pediatric Early Warning Score (PEWS) - Aplikasi RME ...
Expected Monetary Value in Project Management (PMP) - EMV Formula ...
GCS// - Acute Zorg Blog
Glasgow coma scale bepalen - Werken bij RAV Hollands Midden
Glasgow Coma Scale bepalen | Ambulancezorg Nederland
Coma - Kinderneurologie
Voorbereiding VVO
Trauma - Kinderneurologie
PPT - SCHAKELS IN DE ZORG PowerPoint Presentation, free download - ID ...
Glasgow Coma Scale Canineprintable Glasgow Coma Scale
PPT - FOURmidabel? PowerPoint Presentation, free download - ID:2200793
Fysische diagnostiek - de Glasgow-comaschaal voor het meten van ...
Glasgow Coma Scale (GCS): What It Is, Interpretation & Chart
Glasgow Coma Scale Gcs Stok İllüstrasyon 309293585 | Shutterstock
The Glasgow Coma Scale (GCS) for first aiders | Glasgow coma scale ...
EMV-score: bewustzijn meten met de Glasgow Coma Scale | Gezondermeer
Glasgow Coma Scale _ Glasgow Coma Scale Zum Ausdrucken – GLJY
GCS Calculator (Glasgow Coma Scale) For Brain Injuries | Drlogy
Glasgow coma scale
Mastering the Glasgow Coma Scale: Complete Guide, Scoring System, and ...
What is the Glasgow coma scale? - The Scrub Nurse
Glasgow Coma Scale (GCS) Explained | Glasgow Coma Scale (GCS) Made Easy ...
Nursing Cards Gcs Scale Chart - Glasgow Coma Scale Presentation Id Card ...
EMV-score: Hoe zag da Glascow Coma Scale er ook alweer?
» EMV-score – Glasgow Coma Scale
Glasgow Coma Scale (GCS) | Glasgow coma scale, Assessment tools, Levels ...
EMV-score - de betekenis volgens Birgit Govers
PPT - WAA-lezing 09-04-2014 PowerPoint Presentation, free download - ID ...
Neurotrauma kind - Kinderneurologie
Jual Poster Kesehatan Glasgow Coma Scale-GCS | Shopee Indonesia
Schedel- en hersenletsel bij volwassenen | NTVG
How to Calculate EMV: A Simple Step-by-Step Guide – Reach Influencers
8 Avpu Scale Royalty-Free Images, Stock Photos & Pictures | Shutterstock
What We Learned Analyzing 1 Million Blog Headlines - Noah Kagan
Expertisecentrum medTzorg - casus bewust,onbewust,bewusteloos
Headline Emotional Marketing Value on news.nd.edu | Blog | Notre Dame ...
PPT - Decision Making PowerPoint Presentation, free download - ID:1033350
Google Search Results in Less Clicks - What's Next?
PPT - Decision making under uncertainty – EMV, EOL and Decision trees ...
MRI-based EMVI scoring system. EMVI will be reported as negative for ...
Decision curve analysis for MR-EMVI, T-score and the nomogram of the ...
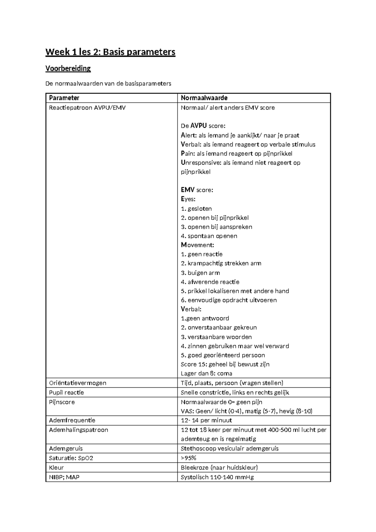
AFP P1 - Les 2: Basisparameters en Normaalwaarden - Studeersnel
GlasgowComaScale-v3.1(2019NL) - Zorginformatiebouwstenen
Compleet Neurologisch onderzoek - Compleet Neurologisch onderzoek ...
ESCULAAP | Nieuws | Rectificatie Klinisch Redeneren
Klinisch redeneren mbv Pro Active Nursing Judith van
5 Data-Backed Secrets of Social Media's Most Shareable Content
How to Calculate Earned Media Value? (2025 guide) | Mention
Figure 1 from Early Detection and Treatment for Children Experiences ...
SBAR EWS zakkaartje - Zorgcentrum Anker Kesteren
Blogging For Lawyers (2024 Update)
Neuroprotektionsvejledning - Dasaim
Estimated Value Test Note: EMOV: emotional value, EPIV: Epistemic ...
PPT - Decision Analysis PowerPoint Presentation, free download - ID:4091537