Showing 120 of 120on this page. Filters & sort apply to loaded results; URL updates for sharing.120 of 120 on this page
An example of a possible parallel layout of local eigenproblems with ...
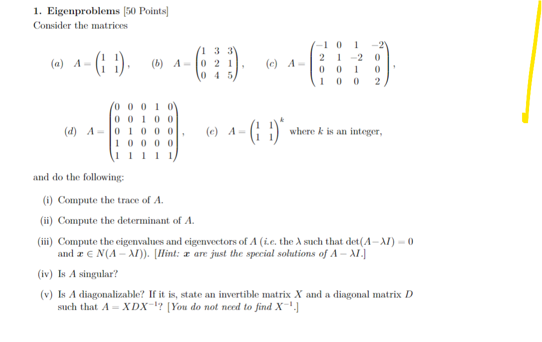
Solved 1. Eigenproblems [50 Points] Consider the matrices | Chegg.com
PPT - Sensitivity of Eigenproblems PowerPoint Presentation, free ...
(PDF) Quadratic eigenproblems are no problem
(PDF) Eigenproblems II: Computationgraphics.stanford.edu/courses/cs205a ...
(PDF) Eigenproblems in addition-min algebra
Generalized Symmetric Definite Eigenproblems
The N eigenproblems of the original problem. | Download Scientific Diagram
Nonlinear Eigenproblems in Image Processing and Computer Vision ...
(PDF) Eigenproblems in nanomechanics
Reduction of generalized symmetric definite eigenproblems to standard ...
Understanding Superposition and Eigenproblems in Linear Algebra ...
(PDF) An Inverse Eigenproblems for Pseudo-Symmetric Matrices
E Linear Algebra: Eigenproblems
Applications of Eigenproblems - YouTube
Eigenproblems - notes - Appendix A A Linear Algebra and Eigenproblems A ...
Understanding Algebraic Eigenproblems in Differential Equations ...
PPT - Resolution of large symmetric eigenproblems on a world-wide grid ...
Chapter2 Eigenproblems | PDF
Nonlinear Eigenproblems in Image Processing and Computer Vision Guy ...
Symmetric Eigenproblems (SEP)
Understanding Eigenproblems in Numerical Linear Algebra | Course Hero
Symmetric Eigenproblems
(PDF) Jacobi-Davidson Methods for Symmetric Eigenproblems
Dimension in the methods for solving interior eigenproblems using BEM ...
Figure 1 from Component-Based Reduced Basis for Eigenproblems ...
(PDF) Duality Perspective on Nonlinear Eigenproblems
Vectors Curves Surfaces Determinants & Eigenproblems Series Cheat Sheet ...
(PDF) Two Inverse Eigenproblems for Certain Symmetric and Nonsymmetric ...
Eigenproblems · CompactBases.jl
The Possible \Eigendecompositions" of Self-adjoint Eigenproblems ...
Nonsymmetric Eigenproblems (NEP)
Singular Eigenproblems
(PDF) Procrustes problems and inverse eigenproblems for multilevel ...
PPT - RKPACK A numerical package for solving large eigenproblems ...
Three different eigenproblems whose Hamiltonians are isomorphic: (a ...
(PDF) The method of fundamental solutions for eigenproblems with ...
Solving differential eigenproblems via the spectral Tau method ...
A Krylov--Schur Algorithm for Large Eigenproblems
(PDF) Solving dense generalized eigenproblems on multi-threaded ...
Figure 2 from Numerical solution of eigenproblems for linear ...
(PDF) Parallel Solution of Eigenproblems in Structural Dynamics Using ...
(PDF) Solving Large Top-K Graph Eigenproblems with a Memory and Compute ...
Figure 1.1 from Algorithms and theory for polynomial eigenproblems ...
The Possible \Eigendecompositions" of Non-self-adjoint Eigenproblems ...
Lecture 8: Eigenproblems III (QR iteration, conditioning); singular ...
Solution Methods for Eigenproblems in Finite Element Analysis | PDF ...
Figure 2 from Gröbner bases and matrix eigenproblems | Semantic Scholar
(PDF) Two inverse eigenproblems for symmetric doubly arrow matrices
(PDF) Variational Principles for Self-Adjoint Elliptic Eigenproblems
Table 3.1 from Structured Polynomial Eigenproblems Related to Time ...
Figure 4 from Using small eigenproblems to accelerate power method ...
Getting into the detail of eigenproblems — chanmuzi
(PDF) Efficient Solution Method of Eigenproblems for Damped Structural ...
(PDF) Inverse eigenproblems of real symmetric doubly arrowhead matrices
(PDF) Some numerical methods for large unsymmetric eigenproblems
(PDF) Nonequivalence transformation of?-matrix eigenproblems and model ...
(PDF) Bases and comparison results for linear elliptic eigenproblems
Exercises Week 6 - eigenproblems solutions - Engineering Mathematics ...
19.2: Solving Eigenproblems - A 2x2 Example - Mathematics LibreTexts
Figure 4 from Numerical solution of eigenproblems for linear ...
SLEPc: Matrix-free eigenproblems | | UPV - YouTube
Error in Tutorial sheet 4b- Eigenproblems, answer problem 10, part b ...
PPT - Eigenvalue solvers for data clustering and image segmentation ...
Eigenproblems, Diagonalisation | PDF | Eigenvalues And Eigenvectors ...
PPT - Resumo aula passada PowerPoint Presentation, free download - ID ...
Algorithms for a large sparse nonlinear eigenvalue problem
The Algebraic Eigenproblem | PDF | Eigenvalues And Eigenvectors ...
Solving Eigenproblems: Methods & Convergence Theorems | Course Hero
Eigenvalue problems .ppt
Aircraft Dynamics . Fundamentals of Dynamic Systems . General ...
Understanding Eigenproblems: Determinants and Linear Mappings | Course Hero
Understanding Differential Eigenproblems: Concepts and Examples ...
Eigenvalues and Eigenfunctions of Differential Eigenproblems: | Course Hero
Mathematical - Physics-14-Eigenvalue Problems | Download Free PDF ...
Computational Methods for Matrix Eigenproblems: Gourlay, A. R., Watson ...
How To Efficiently Transform A Generalized Eigen-Problem Into A ...
Computed first three eigenfunctions and corresponding final meshes of ...
Machine Learning Mathematics Cheat Sheet ML Math Learn Vectors Matrices ...
Computational Mechanics Journal Club Session #6 - Generalized ...
Figure 1 from Robust Coarse Spaces for Systems of PDEs via Generalized ...
PPT - THE EIGENVALUE PROBLEM PowerPoint Presentation, free download ...
(PDF) Efficient expansion of subspaces in the Jacobi-Davidson method ...
DATA FUNDAMENTALS (Matrices (Eigenproblems (Eigenspectrum (List of…
Lesson 15 - The Eigenvalue Problem (Linear Algebra) - YouTube
Figure 2 from Inverse Free Parallel Spectral Divide and Conquer ...
(PDF) A minimization method for the solution of large symmetriric ...
PPT - Eigenvalue Problems PowerPoint Presentation, free download - ID ...
(PDF) Geometric approach in numerical eigenproblem analysis
Eigenproblem with an annular domain. | Download Scientific Diagram
PPT - Ring resonators PowerPoint Presentation, free download - ID:4939651
(PDF) Component-based reduced basis for parametrized symmetric ...
For Hermitian eigenproblems, one only needs a ρ ref (µ) function that ...
Figure 3 from The member stiffness determinant and its uses for the ...
Figure 1 from Survey of methods for calculating sensitivity of general ...
Lecture 6: Eigenproblems: How they arise, properties (part II) - YouTube
Figure 3 from Universal Effectiveness of High-Depth Circuits in ...
Figure 1 from Implementation and testing of Lanczos-based algorithms ...
PPT - Lecture 17 Introduction to Eigenvalue Problems PowerPoint ...
Figure 1 from Two-level overlapping Schwarz methods based on local ...
Figure 2 from Two-level overlapping Schwarz methods based on local ...