Showing 119 of 119on this page. Filters & sort apply to loaded results; URL updates for sharing.119 of 119 on this page
EWS1 Form KD Tower August 2020 | PDF
Jonathan Guard on LinkedIn: What is an EWS1 form? The EWS1 form ...
April 2025 EWS1 Form Updates
EWS1 Form - Need to Know Guide - Horizon Lets
The EWS1 Form Explained - HS RoofClad
Breaking Down Barriers: The EWS1 Form
EWS1 Form for Cladding External Wall System | SAM Conveyancing
What is an EWS1 Form
EWS1 Form Manchester | External Wall Survey Liverpool, Leeds, Sheffield
Fillable Online EWS1 Form - Everything you need to know - HMLEWS1 ...
What is an EWS1 Form - Home Search Properties
The EWS1 form - B-hive
The EWS1 Form – A Closer Look - Cardinus Risk Management
How much does an EWS1 form cost? "The cost of the initial fire risk ...
EWS1 Form Update | News | Estuary
Who Can Complete an EWS1 Form - Anstey Horne
EWS1 Form Guidance for Blocks of Flats | Red Brick Management
A guide to getting comfortable with the EWS1 form | Allsop
EWS1 form explained | MCP
EWS1 Form Certificate Services: Survey & Cost
Great EWS1 form news for many flat owners! - Peninsula Fire Safety
Verify your EWS1 Form - Building Safety Register
What Is An EWS1 Form And Do I Need One To Sell My Property | MyLondonHome
10 things you need to know about the new EWS1 form on external cladding
PPT - EWS1 Form & Cost PowerPoint Presentation, free download - ID:10669369
EWS1 Form Categories A and B Explained - Anstey Horne
EWS1 Form Scams - How to stay safe from fire and security scams
EWS1 Form for Cladding External Wall Systems | SAM Conveyancing
The EWS1 Form – what do you need to know? | Stephens Scown
7 Things to Know About the New EWS1 Form for External Cladding - Urban ...
SFI Pvt Ltd — The process of getting an EWS1 form
Selling without an EWS1 Form | LDN Properties
EWS1 Form Guide - Anstey Horne
Who needs an EWS1 Form and Why? | RealEstateRama
Fillable Online Form EWS1: External Wall Fire Review - PDF Free ...
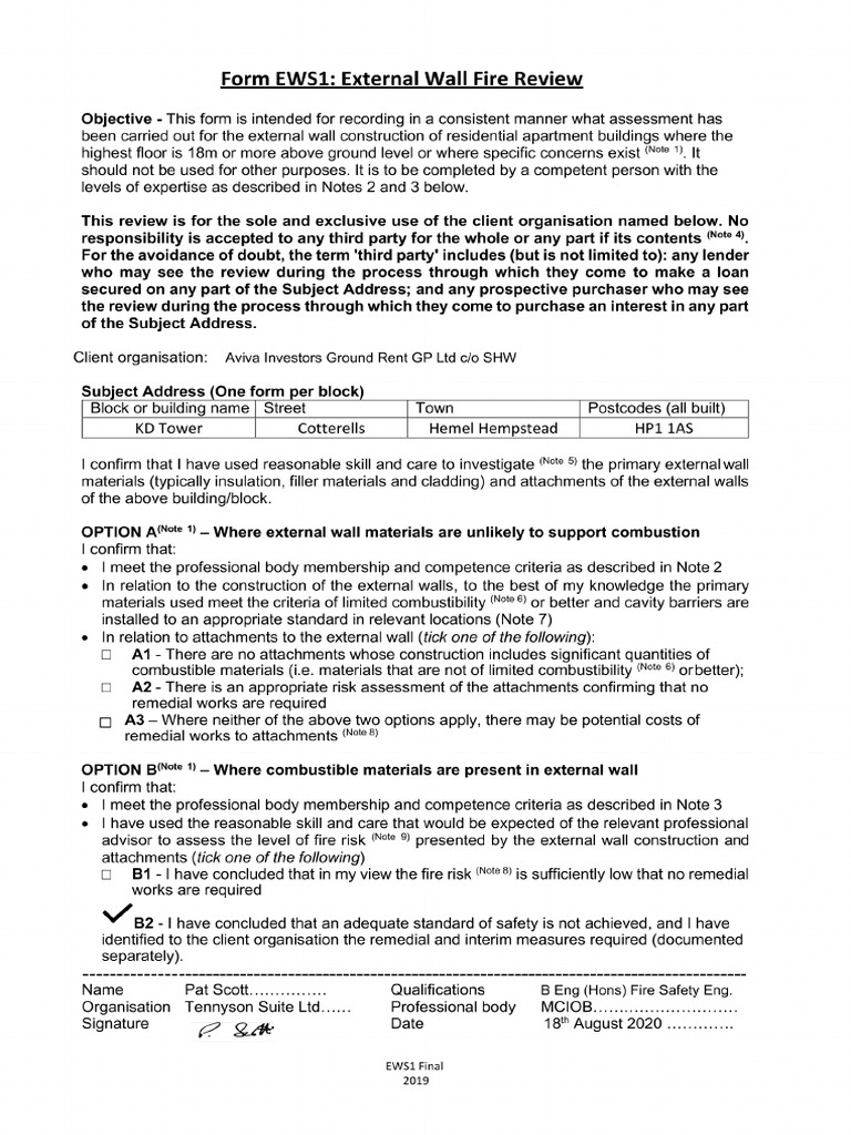
Form EWS1: External Wall Fire Review: (Note 1) | PDF | Safety | Fires
EWS1 Forms revisited - Brick Weaver
Understanding the EWS1 Certificate
Building Safety Programme: estimates of EWS1 requirements on ...
Form EWS1: External Wall Fire Review - RICS / form-ews1-external-wall ...
PPT - EWS1 Certification Cost PowerPoint Presentation, free download ...
EWS1 - External Wall Fire Review - HS RoofClad
EWS1 Surveys - External Wall Fire Review Surveys Across the UK
EWS1 Requirements: Changes in government guidance
EWS1 B2 Rating Explained - Anstey Horne
What is an EWS1 form? - HS RoofClad
What the new External Wall Fire Review (EWS1) form means for you? - YouTube
EWS1 Requirements, Cost, And Its Survey - 2023 Guide UK
Form EWS1: External Wall Fire Review
Fire Risk Appraisals of External Walls and EWS1 | Pennington Choices
Barker Consultants - EWS1 External Wall Fire Review
EWS1 forms explainer guide
EWS1 forms | GreenSquareAccord
PAS 9980 and EWS1 Solution - Capital | Capital
EWS1 Survey Fact sheet
EWS1 Survey FAQs
EWS1 Forms & Certificates - Anstey Horne
EWS1 Forms | Approved Fire Safety Certificates | Purplebricks
EWS1 Warnings | Alex & Matteo Estate Agents
What is an EWS1 Form? A Complete Guide : Anstey Horne
EWS1 Survey | Fire Risk Assessments London
Fire risk assessments and EWS1 forms | Poplar HARCA
EWS1 Certificate: Find Out if You Need One - Property Rescue
Form EWS1: External Wall Fire Review | SAM Conveyancing
What is an EWS1 Form? - Alexandre Boyes
EWS1 Consultation/Certification | External Wall System 1
PPT - Everything You Need To Know About the EWS1 Cost PowerPoint ...
What is an EWS1 Form? - Seraph Property Management
Do I need an EWS1 Form? – Fire Safety Compliance
EWS1 Forms: What You Need to Know - Safeguard Fire and Compliance Ltd
EWS1 Surveys Islington | UK Surveying Company
New EWS guidance does not solve the problem - MAF Associates
ews1-external-wall-fire-review-final-2 - Leasehold Knowledge Partnership
Help with mortgage lenders and building safety (EWS1) - FirstPort Scotland
External Wall Cladding Survey (EWS1 Survey) – An Independent Fire ...
What is an EWS1? – Fire Safety Compliance
FRAEW Survey External Walls-Anstey Horne
Fire safety performance of external walls, facades, balconies and the ...
External Wall System Fire Review Certificates (EWS1) – what you need to ...
EW1 Certificate | EW1 Meaning | SmoothSale
Façade and Cladding Inspections | Buildtech Consultancy
Who Needs an EWS Certificate? - July
The Cladding External Wall System (EWS)
’Architectural Powder Coatings - The Facts About Fire’ | Specification ...
Fire Risk Appraisal of External Walls (FRAEWs)