Showing 118 of 118on this page. Filters & sort apply to loaded results; URL updates for sharing.118 of 118 on this page
EPA Example Construction SWPPP: Small Commercial Site … / epa-example ...
Desco Asia - Example of an EPA - ESD Protected Area
Example of EPA for training and evaluation of nursing student ...
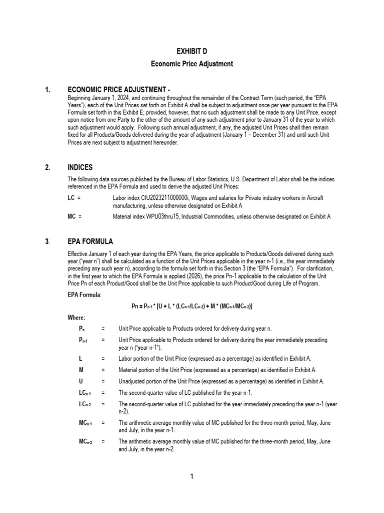
EPA Example - Contract Language | PDF | Labour Economics | Percentage
Annual Sales Report EPA Environmental Protection Agency | Templates at ...
EPA Explains...How to Read a Pesticide Product Label | US EPA
Lead-Safe Renovations: Why EPA Certification Matters in 2025
Pool Chemical Safety and Mandatory EPA Labeling: What You Need to Know
PPT - Mastering Medical Skills: End-of-Training EPA Guide PowerPoint ...
Explaining the EPA and Guidelines for Emissions – Furnace Cooling
PPT - Introduction to EPA Quality System Requirements PowerPoint ...
Have you questions about how the EPA measures water quality, the ...
EPA Revamps Risk Management, Hazardous Substance Programs » CBIA
EPA Banned a Pesticide That Can Harm Fetuses. What to Know
Collection: William byron webster collection - EPA Community Archive
EPA Launches Water Reuse Action Plan 2.0 | phcppros
Canton's air now meets health standards, EPA says
EPA checklist DIN A1 | DIN A4 | EP5002024
TOYOTA Supra A90 EPA Type Rear lip – EPR International
EPA approves RFS fuel pathway for Summit Next Gen | Biomass Magazine
FEMA and EPA direct millions to U.S. flood mitigation projects
EPA announces selection of members to the Science Advisory Board ...
J&K owner says EPA report vindicates him. The Riverkeeper disagrees
EPA to Penalize Mining Firms for Illegal Concession Activities
EPA seeks to extend compliance deadlines on use of two cancer-causing ...
San Mateo Co.: Epa To Fund Daly City Stormwater Upgrades With $34 ...
Obama EPA Correct About Deadly PM 2.5 Pollutants - WSJ
EPA announces $30 million to improve drinking water - American ...
SINP вводит новый процесс EPA с 23 апреля 2026 года
Graphene Manufacturing: EPA genehmigt THERMAL-XR®
papa lav kriz uskrs EPA - Novo.hr
Epa Structure
Reacción de la exnovia de Epa Colombia tras la condena a prisión
Epa Form - Fill and Sign Printable Template Online
PPT - Overview of EPA Quality System Requirements PowerPoint ...
Making Sense of the New EPA Mitigation Requirements for Pesticide ...
Frequently Asked Questions: Quality Assurance Project Plans | US EPA
EPA Small Residential Lot Stormwater Pollution Prevention Plan Template ...
Free EPA Report Template | PDF | SafetyCulture
🤔 What is EPA doing about PFAS? https://spgv.io/60435U | US ...
Renewable Portfolio Standards - US EPA / renewable-portfolio-standards ...
Epa Form 8570 1 ≡ Fill Out Printable PDF Forms Online
EPA Unleashes Four-Pronged Assault on Fossil Fuel Power Pollution
The EPA has a new, enforceable definition for PFAS. What does it ...
About EPA Permitting | US EPA
EPA risk management plans | Frontline Blog
Epa Report
What Is A Epa Certification - prntbl.concejomunicipaldechinu.gov.co
Epa Organization Chart In Powerpoint And Google Slides Cpb PPT Presentation
3M Cordova | US EPA
Description of the first EPA | Download Scientific Diagram
Process Diagram for a Quality Assurance Plan | US EPA
EPA Resources - American Board of Surgery
Sample of an EPA Certificate
Integrated Modeling 101: Training Module | Environmental Modeling | US EPA
EPA Presentation - Andy Smith | PPTX
EPA System Ppt PowerPoint Presentation Complete Deck With Slides
EPA Publishes Stormwater Pollution Prevention Plan Templates ...
SOLUTION: Epa certification exam with questions and answers - Studypool
Report to EPA Essay [722 words] | Nursing Paper
PPT - U.S. EPA Design for the Environment Program PowerPoint ...
Epa Environmental Incident Report Form - ReportForm.net
Epa Refrigerant Recovery Form at Jaime Cardenas blog
Lean & Chemicals Toolkit: Appendix B | US EPA
Epa Baseline Water Quality Standards at Marisa Randolph blog
EPA Tier 1 Qualified Facility SPCC Plan - Fill and Sign Printable ...
Information Related to Fraudulent EPA Notice of Violation Letters | US EPA
Upcoming EPA changes and how they will affect pesticide use in ...
EPA Water Quality Management Framework Source: Environmental Protection ...
EPA 608 Type I from practice test Questions and Answers (2024/2025 ...
Epa Hazardous Waste Labels
An infographic from the US EPA displays important steps in planning and ...
EPA Resources - Gateway Qualifications
EPA Diesel NSPS for Stationary Engines Standards ( , ppt download
An incredible example of EPA's commitment to protect vulnerable ...
What Is the Environmental Protection Agency (EPA)? | Assent
Environmental Contamination Lawsuits | Lawsuit Tracker
PPT - Government Online Community Building: How to Increase Followers ...
PPT - The Environmental Protection Agency’s Use of Voluntary Consensus ...
PPT - Identification of Non-Hazardous Secondary Materials That Are ...
Submitting a Notice of Intent to the EPA: What Do Permits Cover? - Path ...
PPT - Chapter 3 PowerPoint Presentation, free download - ID:389159
Advanced Clinical Practice (ACP) Trailblazer - ppt download
PPT - Standardization and Environmentally Preferable Purchasing ...
PPT - Enterprise Architecture at the US Environmental Protection Agency ...
What is the Environmental Protection Agency (EPA) - Servicon
Environmental Protection Agency Issues 2019 Year in Review - IADC.org
EPA: Ireland meets 2024 ammonia reduction target with help of LESS ...
AA/EPA-Verhältnis | Biomarker | Ahead Health
Protecting Human & Environmental Health With Key Regulations
ePA: Ärzte bemängeln „absurd komplizierte“ Registrierung | APOTHEKE ADHOC
PPT - Laws and Regulations PowerPoint Presentation, free download - ID ...
End-Point Assessment Organisations EPAOs - Apprenticeship Training ...
The Important Role of the Environmental Protection Agency
PPT - Rulemaking PowerPoint Presentation, free download - ID:1603208
U.S. Environmental Protection Agency - water, effects, pollutants ...
Environmental Protection Agency (EPA) Definition
Why Corporate America is Supporting EPA's Clean Power Plan
Pesticide Labeling: A Guide for Users | Gardening in the Panhandle
PPT - Title V Review PowerPoint Presentation, free download - ID:2530447
What Is the Environmental Protection Agency (EPA)?
From Field to Bin: The Environmental Impacts of U.S. Food Waste ...
PPT - ANACONDA MINE SITE Groundwater Investigation Community Meeting ...
Best Environmental Websites of 2026 | 10 Inspiring Examples
Design and Implementation of a National Program of Assessment Model ...
What Is the EPA? - Kelley Blue Book
Environmental agency logo hi-res stock photography and images - Alamy
PPT - Structuring Decisions PowerPoint Presentation, free download - ID ...
Which U.S. President is credited with creating the Environmental ...
28 Template For Project Plan page 2 - Free to Edit, Download & Print ...
week7and8-handout–epa-project
PPT - Milestones, EPAs, NAS…and Other ACGME Jargon PowerPoint ...
Are You Subject to EPA’s Greenhouse Gas Reporting Program (GHGRP)? We ...
Federal Economic Development Forum - ppt download
Operations/Departmental Manager Level 5 EPA- Project Proposal ...
#smallbusinesses #ai #pfas #recycling | US Environmental Protection ...
Environmental Protection Agency (EPA) – Planeta.com