Showing 120 of 120on this page. Filters & sort apply to loaded results; URL updates for sharing.120 of 120 on this page
Validating E2B Reports
Transmitting and Monitoring E2B Reports
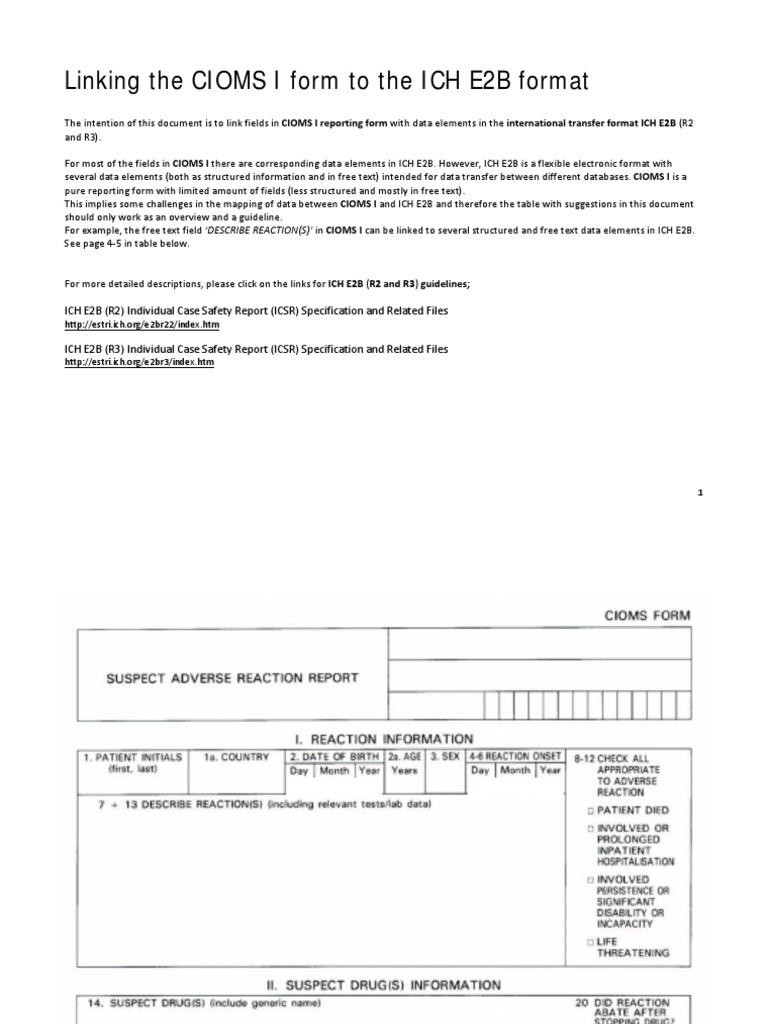
Linking CIOMS I to ICH E2B Format | PDF | Pharmacovigilance | Clinical ...
Importing E2B Reports
E2B (R3): Revision of The ICH Guideline on Clinical Safety Data ...
What Is E2B R3 at Harry Francisco blog
Reports: Bulk Reporting, E2B Pending, and Processed E2B Reports
Using the E2B Viewer
ICH E2B specifications in pharma industry | PDF
E2B Overview.Tools.Instructions 2018.doc - E2B Class Project ...
Documentation - E2B
Omron E2b Proxmity Instruction Sheet | PDF | Electrical Engineering ...
E2B Extensions (Applicable for R2 only)
E2B
Reviewing AER Details in E2B XML View or in E2B Easy View
E2B Configuration Guide | biologit MLM-AI 1.1
E2B | PDF | International Organization For Standardization | Reference
Schedule an E2B Report
E2B R3 Guidelines for ICSR Management | PDF | Pharmacovigilance ...
What Is E2B Format at Dan Lily blog
E2b breakdown
E2B - Assignment Worksheet - E2B – Digital I/O Part 2 Binary LEDs 1 ...
What is E2B Marketing? | PPT | Free Download
Common Profile Switches for E2B
What is E2B Marketing? | PPT
E2B 03 6dec | PDF
Exporting E2B
E2B Explained in 10 Minutes -- Secure Cloud Execution for AI Agents ...
Simplified Reporting: E2B XMLs' Mission in Streamlining Adverse Event ...
E2B data elements available in the selected apps | Download Scientific ...
Chem E2b Review | PDF | Conformational Isomerism | Chemical Reactions
e2b - Codesandbox
GitHub - e2b-dev/e2b-cookbook: Examples of using E2B
What Is E2B In Computer at Toya Mccloud blog
E2B 2026 Company Profile: Valuation, Funding & Investors | PitchBook
Information for pharmaceutical industry - Food and Drug Administration
ICH-GCP guidelines.pptx
How Oracle Argus Safety 8.x Supports Product Safety Needs
E2B(R3) - Stay compliant | JSC
E2B(R2) vs E2B(R3) ICSR ELEMENTS | PPTX
PPT - Clinical Data Management vs. Clinical Safety PowerPoint ...
Minimize the Impact of E2B(R3) on Drug Safety Operations with Argus ...
PPT - E-business en de nieuwe farmacovigilantie wetgeving PowerPoint ...
Validating ICSR Reports
Transitioning to E2B(R3) Electronic Safety Reporting for INDs - Eliquent
E2B(R3) Safety Reporting Guide | PDF | Food And Drug Administration ...
Planning for the New Individual Case Safety Report (ICSR) International ...
30+ Business Report Templates & Format Examples ᐅ TemplateLab
Integrating Oracle Argus Safety with other Clinical Systems Using Argus ...
Accessing Tools
[Efficacy] E2B(R3) - YouTube
ICH E2B(R3) Expert Working Group / Implementation Working ... / ich-e2b ...
Prudentia Group, LLC
ICSR Process Overview
Requirements for submission of E2B(M) Individual Case Safety
Business Report Format Overview | PDF | Cognition
E2B个例安全报告(ICSR)电子传输执行指导原则
30+ Business Report Templates & Format Examples - Template Lab
Custom Report Document Templates - Getting Started – Miradi Help Center
Oracle Argus Interchange Process Overview
PPT - Pharmacovigilance and electronic reporting Background and ...
PPT - Farmacovigilancia Mundial: Una Perspectiva Actual PowerPoint ...
SPOT Report | PDF | Military | National Security
Free Procurement Summary Report Template to Edit Online
V1305-E2B (37 HP X 3600 RPM) | PDF
Report Features
坚持学习|中国E2B (R3)区域指南浅解(上篇) - 知乎