Showing 120 of 120on this page. Filters & sort apply to loaded results; URL updates for sharing.120 of 120 on this page
Lille Non-Slip Jar Opener fra Dycern | Køb online hos PROcare.dk
Twice wallpaper by dycern download on zedge™ 8f94 – Artofit
Download Twice Wallpaper by Dycern - 94 - Free on ZEDGE™ now. Browse ...
DYSCERN
Dyscern (Dyscern.ai)
Affiliate Program Case Studies - Paulson Management Group
Dycerin Capsule 50mg, 10x10 at ₹ 146/box in Nagpur | ID: 2854592367791
Dycerin A Tablet 10's Price, Uses, Side Effects, Composition - Apollo ...
Dyscern • Studio | LinkedIn
Dycerin Diacerein Capsules 50mg (10 Count) at ₹ 155/box in Nagpur | ID ...
Dyscern Demonstrates Polaroid i835 Digital Camera - YouTube
50mg Dycerin Diacerein Capsule at ₹ 246/stripe | Diacerein Capsules in ...
Dycerin 50 Capsule at Rs 133/box | Nagpur | ID: 25851614962
Agence de communication digitale à Paris et Barcelone | Dyscern ...
Dycerin Capsule (Diacerein), 50 mg at Rs 146.5/strip in Bengaluru | ID ...
Diacerein (50mg) Dycerin, 10x10 at ₹ 300/box in Nagpur | ID: 2855699096812
AI Competitive & Market Intelligence Platform | Dyscern AI Intelligent ...
CSF fait peau neuve - Agence de communication digitale à Paris et ...
Dyscern Demonstrates iPod Nano 4th Generation - YouTube
FAP Learning Lab - Agence de communication à Bordeaux, Paris et ...
Dyscern Demonstrates NextLink Spider Bluetooth Stereo Headphones - YouTube
Les long formats de CSF / EMI - Agence de communication à Bordeaux ...
Dyscern Inc. | LinkedIn
AIDES : accompagnement au lancement du nouveau logo - Agence de ...
dyscern - YouTube
Faireprod - Agence de communication digitale à Paris et Barcelone | Dyscern
Refonte des sites du Festival de Cannes - Agence de communication à ...
Faireprod - Agence de communication à Bordeaux, Paris et Barcelone ...
DyscernAI
Expertises - Agence de communication digitale à Paris et Barcelone ...
Twitch
PPT - GEON: GEO sciences N etwork PowerPoint Presentation, free ...
Dyscern
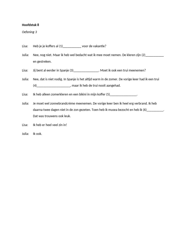
Hoofdstuk 8 - Gatentekst Luisteroefening 3 | PDF
How to use Dycem Non-Slip Reel Material on Furniture & Wheelchairs ...
Introduction to Dycem for Occupational Therapists - YouTube
Terravox - Digital communication agency in Paris and Barcelona | Blacksense
(Page 10) | Chris Beetles
Dyscern Demonstrates Sirius Sportster 5 - YouTube
Dyscern - American Express Plum Card Commercial 12/07 - YouTube
6 mois après le séisme au Népal - Agence de communication à Bordeaux ...
AIDES : Art Protect - Studio créatif de communication à Paris et ...
Dyscern - Fox News Live Shots - June 29, 2006 - YouTube
Dycerin Capsule diacerein, 10x10, Strength: 50 mg at Rs 246/stripe in ...
Timothy Gernitis - Co-Founder - Dyscern.ai | LinkedIn
Dyrrn the Corruptor | Eberron Wiki | Fandom | Dungeons and dragons ...
Dyscern - Jennifer Canty on the CBS Evening News - 11/27/07 - YouTube
Dyscern LLC
Dyscern - Jennifer Canty Interview on Fox News June 29, 2006 - YouTube
830+ Soviet Union Flag Stock Videos and Royalty-Free Footage - iStock
Ubur-ubur VS ikanLele - YouTube
Artist's Depiction of Dicyn [IMAGE] | EurekAlert! Science News Releases
AIDES: Boarding for a World Without AIDS - Digital communication agency ...
Dyscern - Jennifer Canty Interview on ABC 7 - Nov. 25, 2007 - YouTube
Gers Pardoel - Ik Neem Je Mee - Gatentekst | PDF
Stream 【UTAUカバー】エイリアンエイリアン-Bossa Nova Arrange- 【trist_gentle】 by vicgb ...
Dycem Non-Slip Self-Adhesive Strips (16" x 1-1/8") 3 Each, Blue ...
Yoan Rigart-Lenisa on LinkedIn: #wechat #ai #customerengagement #china ...
Write for Rights - Digital communication agency in Paris and Barcelona ...
Diacerein: View Uses, Side Effects and Medicines
Séance de brainstorming et travail partager des idées créatives ...
Tekst h7 - Kamer Te Huur | PDF
Electronics Coupons: Dyscern-RIM Blackberry 8703 8703e Sprint E-Mail ...
Claudia Mendez Carrasco - Dyscern | LinkedIn
DYEN | Dream Nation 2025 – Icon of Dutch Hard Techno
Lesoefening - Wat Heeft John in Zijn Vakantie Gedaan | PDF
The D.I.S.C.E.R.N.™ Process – Mark Porteous ∞ Soul Connector
Loki is a mood | Scrolller
ESC Distribution - Digital communication agency in Paris and Barcelona ...
James Frazier - Dyscern Inc. | LinkedIn
Lesmateriaal Reis Plannen | PDF
Comic Face Emoticon Isolated Icon Stock Illustration - Download Image ...
June 19, 2024 - YouTube
eu tentei 😟 - YouTube
48 ideas de Fondo de pantalla macbook | fondo de pantalla macbook ...
चुड़ैल को समझा दिया😂॥#shorts #shortsvideo #youtubeshorts #comedy #funny ...
Mere sath hi Aisa kyo🤣🤣🤣🤣 #kapilSharma #comedy #funny #youtube #reels # ...
1269918108_ipodnano.JPG
Dungu thili # raja mahotsav #kuldeep# odia singer - YouTube
Marshmallow idea - YouTube
Dyntjern
Pin di Wallpapers
Jennifer Starling Phone Number, Address, Age, Contact Info, Public ...
育正紅茶-日月潭阿薩姆紅茶專賣店 網友評價 | 愛食記
iPod > General Discussion > AR15.COM
Steve Yankovich - DyscernAI | LinkedIn
The Insider - November 22nd - Prime - Bell of Lost Souls
redraw by YelizavetaYelly on DeviantArt
真正的人生从聆听自己的声音开始 #motivation #认知提升 #mindset #冯唐 - YouTube
2019 - Asselin Et Al - Supplement Data | PDF | Palm Oil | Agriculture
79 Twice ideas | twice, kpop girls, korean girl groups
Dyren Portrait by Doomed-Dreamer on DeviantArt
DUMPSTER DIVING KAHON KHON N Jaa a ACKPOT/BUHAY CANADA#trending #viral# ...