Showing 120 of 120on this page. Filters & sort apply to loaded results; URL updates for sharing.120 of 120 on this page
Draff :: Creative Dundee - Amplifying and Connecting the City
Drying Distiller’s Draff Using Residual Heat for Stabilised Animal Feed ...
Distillers Malt Draff
DRAFF Rangkaian Kegiatan | PDF
Luxury Draff Drinks Tray made in Scotland by Aymeric Renoud - AUTHOR
Where is Draff in Genshin Impact? - Pro Game Guides
Draff | Genshin Impact Wiki | Fandom
Draff Genshin Impact Location, Information & Best Time To Find Him
Draff Fan Casting for Genshin Impact Italian Dub Fancast | myCast - Fan ...
Draff Font - FFonts.net
The Draff Whisky Tray Takes A By-product And Turns It Into Luxury
Draff RKAS 2025 - Tahunan Draft | PDF
Draff BAB I - V Linda Lestari | PDF | Seni | Komputer
IBaodan Food Draff Filter Mesh - Large 20x30cm Super Soft Heat Proof ...
Grade 11 - Năm Học 25-26 - Draff 2 | PDF | Vietnam | Vietnamese People
MMN January 2025 - What to Use if Draff is Unavailable | Helping ...
Draff | Whisky Blog
Draff Studio | LinkedIn
DRAFF | Dublin Dance Festival
Spotlight on the maker: Draff Studio based in Dundee - Aymeric Renoud
Draff | PDF
Draff Young - Spouse, Children, Birthday & More
Do Be Do | Draff
Evo Draff MTB Helmet – Atelier Olympia
Draff | Productora de Animación 3D y Motion Graphics
Draff Surat Permohonan IO - PDFCOFFEE.COM
Draff Modul Projep5.Tema 3 | PDF
Draff Perdes Sukamanah - Tentang Keamanan Ketentraman Dan Ketertiban ...
Draff RKAS 2025 - Tahapan Draft | PDF | Pengelolaan Keuangan & Uang
Draff Bread - Spent Grain Bread | Button Soup
Smiling Draff from Austin Tx | Aaron Darling Mural Artist Merch
Lo que pienso sobre Diona y Draff Genshin Impact | HoYoLAB
draff
Draff Donator | PDF
Draff – Livestock Feed Co‑Product UK | KW Feeds
Draff Perjanjian Kerjasama SBLC | PDF
Draff Surat Kuasa Visa Singapore | PDF
Draff in stainless steel keg after draining the wort from the mash ...
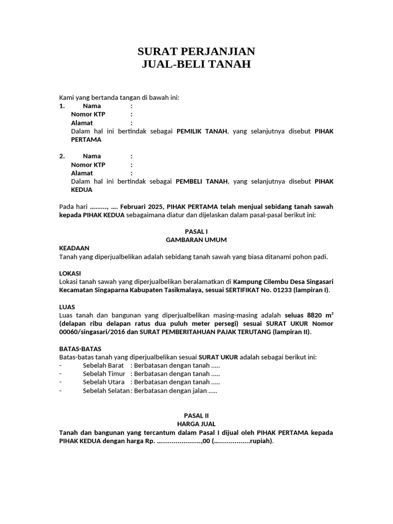
Draff Surat Perjanjian Jual Beli Tanah | PDF
BỘ DRAFF IN LOGO GẠO FARM STAY - Chuyên kinh doanh đồ dùng khách sạn ...
BỘ DRAFF IN LOGO MANDALA HOTEL - Chuyên kinh doanh đồ dùng khách sạn ...
Draff Peraturan | PDF
Draff of Drum (Original Mix) - YouTube Music
BỘ DRAFF IN LOGO HOÀNG ANH HOTEL - Chuyên kinh doanh đồ dùng khách sạn ...
Draff POS US 2023 JADI KORWIL DAU FIX | PDF | Pengelolaan Keuangan & Uang
Flan Napolitano 🥮 - DRAFF CAKES "Los sueños dulces de Pau”
Draff LPJ Tasykil | PDF
Draff - Genshin Impact - HoYoWiki
BỘ DRAFF IN LOGO DIAMOND HOTEL & APARTMENT - Chuyên kinh doanh đồ dùng ...
DRAFF SPOT CR - Motion Design Awards
Draff Perencanaan Tahunan PKPR | PDF | Ilmu Sosial
How to find Draff in Genshin Impact - Draff Location Guide - Touch, Tap ...
Draff Sripsi Pakben | PDF
Draff Perbub Bansos | PDF
Draff Infografis Emission | PDF
draff | TikTok
Marketing Research Draff | PDF
Draff Laporan Rakergab | PDF
Draff SE Ujian SAS Dan SAJ - Kls 12 - 2425 | PDF
Draff Surat Kuasa Menjual | PDF
Draff Manifest PT Basf Indonesia | PDF
20250313101647revisi Draff Edaran Verval Insentif Swasta 2025 | PDF
Clay Ariella Draff Plant at Rs 100/piece in New Delhi | ID: 2852699565648
Sustainability – The English Distillery
Discover
Draff.tv | Productora de Animación y Motion Graphics
Comercial - Draff.tv | Productora de Animación y Motion Graphics
MBAMIN - Draff.tv | Productora de Animación y Motion Graphics
Draff.tv on LinkedIn: draff.tv
Acerca de Draff.tv - Productora de Animación y Motion Graphics
Productora de animación - Motion Design - Motion Graphics
Draaf Paca Logo
We pride ourselves on giving our waste products a second purpose ...
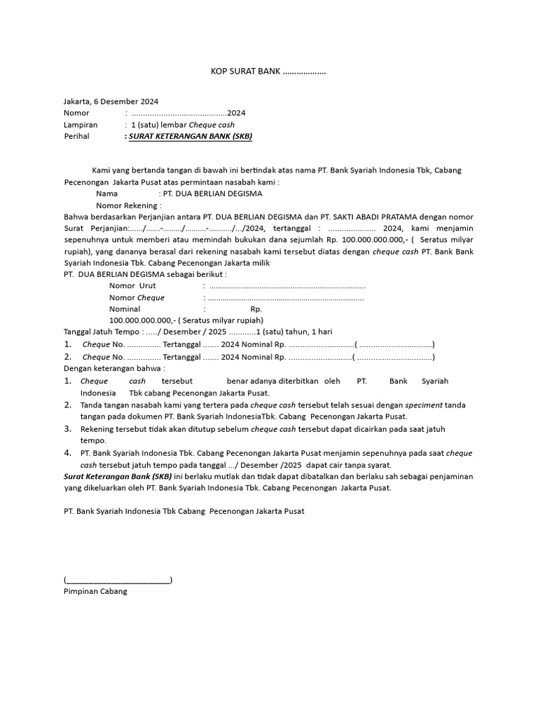
Surat Keterangan Bank untuk PT Dua Berlian | PDF
Aceite Belmont - Draff.tv | Animación y Motion Graphics
Is this a bad time Draff? : r/Genshin_Memepact
Draft Beer 101: Guide to Building, Using & Maintaining Draft Beer Systems
Game Club / Movistar - Draff.tv | Animation & Motion Design Studio
Draff.in | draff.in
Im SHOOK! What does this *mean* Draff? Genshin Impact | HoYoLAB
Defontana - Draff.tv | Animation & Motion Design Studio
Contact us - Draff.tv | Animation & Motion Design Studio
Transbank 36 Years - Draff.tv | Animation and Motion Design
Schematic showing a malt whisky distillation process, traditional ...
Mashing - Whisky.com
IndustrialNano - Draff.tv | Animation & Motion Design Studio
Draff.tv on LinkedIn: #3danimation #2danimation #motiongraphics # ...
Defontana - Draff.tv | Productora de Animación y Motion Graphics