Showing 120 of 120on this page. Filters & sort apply to loaded results; URL updates for sharing.120 of 120 on this page
11 Dispersion through electrostatic repulsion (for reasons of clarity ...
(a) An Illustration of colloidal dispersion by electrosteric repulsion ...
Wave amplitudes, level repulsion and dispersion relation of the ...
The Mechanism of steric repulsion of comb polymer in dispersion [6 ...
Dispersion and repulsion contributions to the solvation free energy ...
(PDF) Repulsion of phase-velocity dispersion curves and the nature of ...
(PDF) Dispersion and repulsion contributions to the solvation energy ...
parameters used for modeling repulsion and dispersion interactions in ...
Attractive Dispersion Interactions Versus Steric Repulsion of tert ...
Figure 1 from Contact Repulsion Controls the Dispersion and Final ...
Contact Repulsion Controls the Dispersion and Final Distribution of ...
Sympathetic Vibratory Physics | Dispersion
(PDF) Quantum-mechanical force balance between multipolar dispersion ...
PHYSICAL PHARMACEUTICS II COARSE DISPERSION | PPTX
London Dispersion Forces - Definition, Examples, Formula & Van der ...
Dispersion of Light Through a Prism: Spectrum, Angle & Experiment
The electronic dispersion and density states of hBN, when N t = 50 × ...
Repulsion forces between agents | Download Scientific Diagram
Contributions of electrostatic, polarization, dispersion, and repulsion ...
Figure B7: Exchange-repulsion, induction, and dispersion contributions ...
The mode repulsion phenomenon at µ/T = 0.1. Left: Zoom on the ...
Attraction and Repulsion - Intro to Physics - YouTube
Electrostatic (E es ), exchange (E ex ), repulsion (E rep ...
The distribution of repulsion forces to take agents away from the front ...
Balancing Attraction and Repulsion: The Influence of London Dispersion ...
Attraction and repulsion simulation diagram. An individual is repelled ...
PPT - What are Dispersion Forces? PowerPoint Presentation, free ...
Dispersion interactions - PMC
Study of dispersion mechanisms of modified SiC powder: electrostatic ...
Example distributions of repulsion magnitude. (A) Unicolor, (B ...
Schematic of attraction and repulsion dynamics between three flowing ...
Schematic representation of; (A) repulsion between neighbouring ...
Schematic of attraction and repulsion dynamics between two flowing ...
Dispersion Forces - INTERMOLECULAR FORCES
A schematic of double layer repulsion between two charged surfaces ...
Schematic diagram of the mechanism of attraction and repulsion ...
Attraction or Repulsion? London Dispersion Forces Control Azobenzene ...
Schematic diagram of the electrostatic repulsion effect of PCE ...
Flipping the Metalation of 4‐Dimethylaminopyridine: Steric Repulsion ...
The non-empirical repulsion model - CRYSTAL STRUCTURE PREDICTION
(PDF) Quantum-Mechanical Force Balance Between Multipolar Dispersion ...
Pharmaceuticals Dispersion theory- Suspension and Emulsion | PPTX
Concept of dispersion forces | Download Scientific Diagram
a Schematic of a DO repulsion of two active porous particles under ...
Repulsion between an agent and other agents’ pheromones shown in an ...
(a) Attraction and (b) repulsion mechanism by the surface of dispersoid ...
Electrostatic (E es ), exchange energy (E ex ), repulsion energy (E rep ...
PPT - Dispersion Forces! PowerPoint Presentation, free download - ID:267273
Suspension Dispersion Examples at Michelle Owen blog
Dispersion Forces - Definition, Polarity, Consequences & Examples
Time evolution of the repulsion energy distribution between two ...
Background Information - Grade 11 University Chemistry
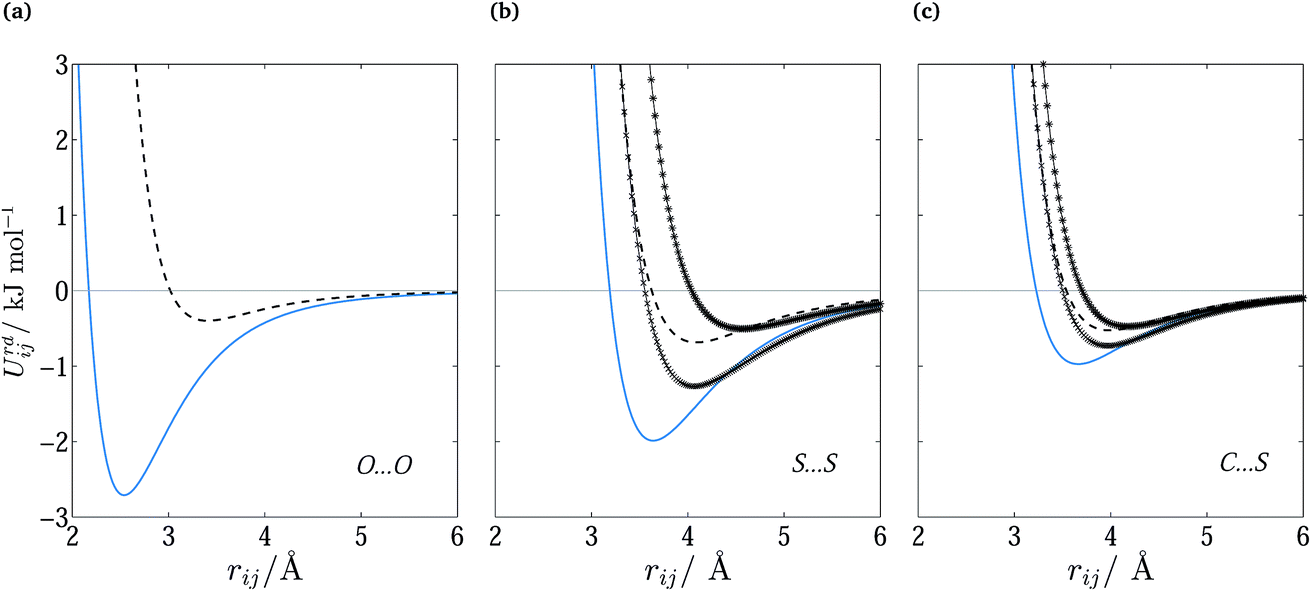
Repulsion-dispersion potential curves for (a) O...O, (b) S...S and (c ...
PPT - Ch 11 States of Matter and Intermolecular Forces PowerPoint ...
PPT - Unit 04: BONDING PowerPoint Presentation, free download - ID:2151037
Repulsion–dispersion parameters for the modelling of organic molecular ...
DFT-SAPT contributions (electrostatic, exchange repulsion, induction ...
Figure 2 from Defining the contributions of permanent electrostatics ...
Figure 8 from Repulsion-dispersion parameters for the modelling of ...
Colloidal Stability of CA, SDS and PVA Coated Iron Oxide Nanoparticles ...
Surfactant Basics 4 (Dispersants)
Figure 2 from Density-Dependent Formulation of Dispersion-Repulsion ...
Dispersants | PRODUCTS BY FUNCTION | SAN NOPCO
(PDF) Flipping the Metalation of 4‐Dimethylaminopyridine: Steric ...
PPT - Attraction Between Molecules PowerPoint Presentation, free ...
Repulsion-Based p-Dispersion with Distance Constraints in Non-Convex ...
Effect of Dispersing Agents on the Stability of Recycled Paints
Parameters for the Dispersion-Repulsion Potential | Download Table
Separation of coulombic/polarization/dispersion/repulsion terms to the ...
chapter 5.pptx
PPT - States of Matter and Intermolecular Forces PowerPoint ...
Fundamentals of Suspensions & Dispersion's | PDF
PPT - Solutions and Colloidal Dispersions PowerPoint Presentation, free ...
Density-Dependent Formulation of Dispersion–Repulsion Interactions in ...
EMULSION AND SUSPENSION | PPTX
Figure 6 from Defining the contributions of permanent electrostatics ...
PPT - Understanding Attraction, Repulsion, and Static Electricity in ...
PPT - Chapter 11 Liquids, Solids, and Intermolecular Forces PowerPoint ...
Forces and Exchange Particles | MME
Transition to level attraction via coherence-dissipation competition ...
Cover Feature: Flipping the Metalation of 4‐Dimethylaminopyridine ...
Chemistry – A European Journal: Vol 31, No 6 - Chemistry Europe
Figure 2 from Repulsion-dispersion parameters for the modelling of ...
Van der Waals (London Dispersion) Forces – The Credible Hulk
Attraction or repulsion? Theoretical assessment of bulky alkyl groups ...
Concept Explanation
Using Polymer–Surfactant Charge Ratio to Control Synergistic ...
A situation map which shows the distribution of the repulsion( ) of ...
PPT - Unit 04: BONDING PowerPoint Presentation, free download - ID:6721871
Dispersing Agent - Deco Chemical Technology Co.,Ltd
PPT - Chapter 10 Structures of Solids and Liquids PowerPoint ...