Showing 119 of 119on this page. Filters & sort apply to loaded results; URL updates for sharing.119 of 119 on this page
Director and Shareholder Declaration Form | PDF | Bearer Instrument ...
12. Director Declaration for conversion from sole prop into private ...
director declaration Doc Template | pdfFiller
DIRECTOR PROFILE AND DECLARATION FORM - Fraser Health
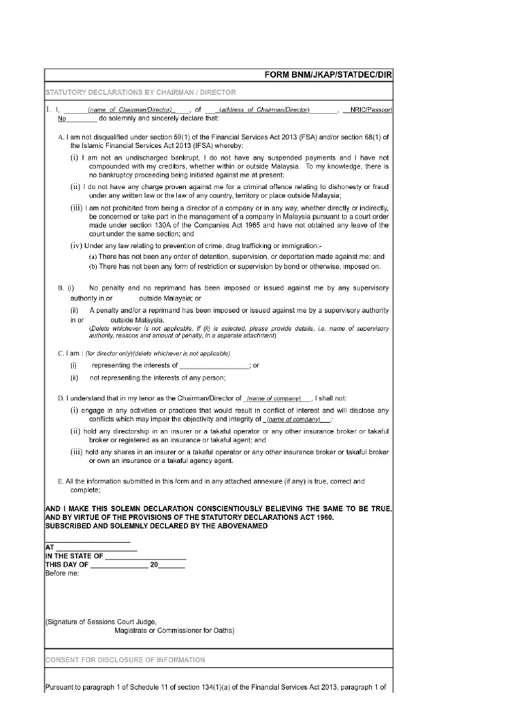
Statutory Declaration Chairman Director | PDF
Declaration of The Appointee Director - in Form DIR-2-040216 | PDF
Declaration from a director under rule 2(1)(C)VIII - Professional Updates
Great Barrington Declaration co-author turned acting CDC director Jay ...
Free Declaration Templates to Edit Online
Declaration of the appointee director, Managing director, in Form No ...
Declaration of The Appointee Director, Managing Director, in Form No ...
Declaration For List of Directors & Senior Management | PDF
Free Board of Directors Declaration Template to Edit Online
Director/Senior Manager Statutory Declaration Form | Fill and sign ...
directors self declaration letter templates
Declaration of Interests in 60-Seconds | Board Pack
Free Business Declaration Letter Template to Edit Online
Declaration of the Sole Shareholder Template | Free Word & PDF
Company Declaration Format in Word
Form DIR-2 - Director Consent for Company - Learn by Quicko
ICSI Independant directors declaration | PDF
Fillable Online Director's Declaration form - Positive Education ...
Free Dividend Declaration Template to Edit Online
Director General of Taxes Amelie Verdier attending the launch of the ...
Yokohama leads Asian Circular Cities Declaration as first signatory at ...
Seth Kimmel makes declaration to play football at Juniata College - AOL
Breaking: Special counsel seeks 7 years for ex-NIS director Cho Tae-yong
Karin Bergmann, Interim Artistic Director • Salzburg Festival
Civil servant, company director remanded in subsidised oil bribery ...
Emergency drought declaration issued for WA state
Trump signs federal emergency declaration for Kentucky flooding
FSU will host live Declaration of Independence performance on campus
ASEAN Police Chiefs Sign Bangkok Declaration to Combat Scams - Thailand ...
Health Product Declaration Collaborative Announces 2026 Board of ...
A ceremony of declaration of graduates of the recently conducted 4th ...
Governor Healey requests major disaster declaration for blizzard of '26
Declaration - Ultra M Tubes (LV) | Thermaflex
Declaration of Cash Dividends April 2026 - iPeople
Kyiv Okhmatdyt director general salary in 2025 was UAH 169,000 per ...
Director Sells 50,000 Shares of Digital Health Platform Stock for $1.9 ...
SUPERMARKET INCOME REIT PLC – Dividend declaration - Sens - Moneyweb
Tiger Woods Drops 4-Word Declaration on PGA Tour, LIV Golf Merger ...
Washington leaders issue drought emergency declaration
Tennessee’s winter storm disaster declaration amended to include FEMA ...
Asset Declaration Deadline Expires as Former President Fails to Comply
Drought declaration not ruled out if Utah's water woes intensify, Cox says
Bomb squad called to Director of Public Prosecutions office after ...
New exhibit in Philly showcases the Declaration of Independence ...
April 10, 1776 — Declaration Stories
Calligraphy that inspired a nation: The Declaration of Independence ...
iShares PLC Global Corporate Bond $ Dividend Declaration - ADVFN
The Kestra Director Who Built and Sold a Device Company Keeps Buying Stock
FSU to host live Declaration of Independence performance on campus
Alternative Income Declaration Form - Premier Community HealthCare
Scottish Signers of the Declaration of Independence - Scottish Cultural ...
iShares III MSCI Pac Ex-Jpn UCITSD$ Dividend Declaration - ADVFN
Peace for Iran: Declaration of global conscience
The Declaration of Independence and... - Hoover Institution | Facebook
"Age-verification for social media... - Together Declaration | Facebook
Statutory Declaration of Solvency | Edward Young
Ltd Company Registration in the United Kingdom - Business Starting ...
Sample Director's Certificate
Annual Report 2008
Consent to Act as Director: Letter in Form DIR-2 as per Rule 8
PPT - Resignation and Removal of Directors PowerPoint Presentation ...
Directors Resolutions – Resources For Canadian Business Owners
Directors Certificate Template | Board Of Directors | Corporations
Government declared Holiday on 14th April, 2026 on the birthday of Dr ...
DECLARATION... - Occidental Mindoro Police Provincial Office | Facebook
Double your impact this spring! | WDI USA
Memphis Mayor Jim Strickland declares emergency for coronavirus
WATCH: Michigan officials outline FEMA options following ice storm ...
'Sing Democracy 250' national concert series celebrates democracy ...
Disclosure of Interest by Directors: Companies Act 2013
The Pasco Board of County Commissioners has issued a Local State of ...
Delay in Beneficial Ownership Disclosure: MCA Penalises Company and ...
Digital Credentials Won’t Work Without a Complete Trust Framework ...
Anand Rathi Wealth Limited Strong Q4 Financial Performance, Dividend ...
Live updates: 1 confirmed dead in flooding, Morrisey asks for Disaster ...
YAMAHA VX LIMITED 2021 Owners Manual (123 Pages)
admin admin – Page 48 – Sherig – MoESD
Tax déclaration deadline 2026: complete calendar for France
Carvolix Strengthens its Board of Directors, and International Advisory ...
Shareholders approve all resolutions proposed by Board of Directors at ...