Showing 120 of 120on this page. Filters & sort apply to loaded results; URL updates for sharing.120 of 120 on this page
5 Dimensionless plot of Sh Sc À1/3 versus Re [where Sh, Sc, and Re are ...
Plot showing dimensionless potential versus dimensionless depth for a ...
Dimensionless plot showing drawdown in a semi-infinite confining layer ...
(a) Plot of dimensionless concentrations u versus dimensionless ...
Plot of dimensionless temperature versus dimensionless space for ...
Dimensionless plot of pressure head versus flow rate. The curves ...
(a) Plot of dimensionless concentrations u and v versus dimensionless ...
3-D mesh plot (a) and contour plot (b) of the dimensionless hydrograph ...
Semi-log plot of the dimensionless GF's as function of dimensionless ...
16: Log-log plot of the dimensionless general solution derivative for ...
4 Dimensionless plot of the axial dispersion coefficient (D ax ) in a ...
Loglog plot of dimensionless discharge Q * = Q 1/2 w √ gds 5 of ...
Plot of dimensionless substrate concentration u versus dimensionless ...
A plot of the dimensionless force βy from the dimensionless deformation ...
Plot of dimensionless product 3 concentration b versus dimensionless ...
21: Semi-log plot of the dimensionless pseudo-pressure for several ...
Plot of dimensionless probability density f ˆ x ( ˆ x) versus ...
Plot of dimensionless concentration u versus dimensionless distance X ...
Plot of dimensionless concentration v versus dimensionless distance X ...
Dimensionless plot of the added mass * 1a µ (solid | Download ...
Plot of dimensionless product 1 concentration a versus dimensionless ...
Dimensionless plot of the experimental front position versus time for ...
(Color online) [(a) and (b)] Plot of dimensionless interparticle ...
a Surface plot of dimensionless effective mass against dimensionless ...
90: Semi-log plot of the dimensionless pseudo-pressure derivative for ...
Plot of dimensionless 10 Be concentrationˆnconcentrationˆ... | Download ...
Dimensionless plot of the analytical behaviour of Equation 4. Key: ± Á ...
Dimensionless plot of Eqs. (15) (dashed curve) and (16) (symbols) as a ...
Dimensionless plot of current maximum shown in Fig. 2 compared with ...
| Dimensionless plot of the inverted FPR used with CEM-2. | Download ...
23: Semi-log plot of the amplification of the dimensionless ...
Dimensionless plot of the parameter space β²κ against βγ showing ...
Dimensionless plot of the currentÀtime response for the deposition of ...
10: Plot of dimensionless load as a function of film thickness ratio ...
Dimensionless Plot of 1 st mode of relationship between (PIPcr) and ...
a. Dimensionless plot of force (per unit depth) over the range of ...
6: Semi-log plot of the dimensionless general solution for several ...
(a) Plot of U as functions of dimensionless interaction time at for ¼ 0 ...
Dimensionless plot of grid convergence of force on the wall for the two ...
Dimensionless plot of all overtopping tests | Download Scientific Diagram
A dimensionless plot of the data in figure 3a. Solid lines are obtained ...
Dimensionless plot of rear surface temperature history for diffusivity ...
A plot of the dimensionless function QðˆαÞQðˆ QðˆαÞ and κðˆαÞκðˆ κðˆαÞ ...
27: Log-log plot of the dimensionless first-order term for several ...
Dimensionless plot of power output P * out = P out /P max from the PTO ...
Dimensionless plot of rear surface temperature history | Download ...
18: Plot of Dimensionless load for various length ratios. | Download ...
Dimensionless plot comparing experimental and lag-model [Equation (10 ...
A 3D plot of the dimensionless activation range as a function of the ...
1: Log-log plot of the dimensionless permeability loss as a function of ...
Plot of the dimensionless velocity υd 0 /2D with respect to ...
Dimensionless plot between δ/δ0 and f/(EAR). | Download Scientific Diagram
Plot of dimensionless concentration U 4 (X) versus dimensionless radius ...
Plot of dimensionless concentration profile as a function of distance ...
77 Example of a dimensionless performance plot based on Fig. 10.23 of ...
Plot of dimensionless growth ratê versus dimensionless ratio T R /T D D ...
Dimensionless plot of excess flow caused by storage release versus ...
The sheared cantilever: a 3D dimensionless plot of deflection η versus ...
Dimensionless plot of (q ω 1 ) and (q ω 2 ) (dotted line) versus ...
Dimensionless plot of polyphenols concentration versus time for ...
Dimensionless plot of Wells turbine power output versus pressure-head ...
A log–log plot of dimensionless length of advancement of wetting front ...
Dimensionless plot of triaxial test results from laboratory tests on ...
Dimensionless plot of suspended-load distribution Rouse 1937; zRouse ...
shows that dimensionless plot of relationship between buckling load and ...
Dimensionless plot of the Janssen pressure depth variation function ...
Dimensionless plot of added mass A * 11 and radiation damping ...
Dimensionless plot of the flow rate Φ\documentclass[12pt]{minimal ...
Plot of dimensionless temperature versus dimensionless time for ...
The plots of dimensionless potentials z1,2=eφ1,2/kBT versus ...
15: Dimensionless Kratky plots For the generation of these plots from ...
Plots of dimensionless hydraulic head, h D , against dimensionless ...
Graph of the proposed equation for dimensionless pressure plotted ...
Dimensionless plots of the pressure depth variation function Y(z) for ...
-Dimensionless Plot to predict jet regimes at Colíder HPP The Colider ...
-Dimensionless plot for Limit Analysis method applied considering ...
Dimensionless plots of the positions of menisci versus the square root ...
The plot of iso‐dimensionless specific storage (dashed red) and ...
Box-plot of Dimensionless Slope. | Download Scientific Diagram
dimensional analysis - Dimensionless numbers plots - Physics Stack Exchange
Dimensionless pressure (P Ds ) at the location of a production well in ...
Three Dimensional Plot Types - PGFplots Manual
Three Dimensional Plot R at Pauline Dane blog
thesis - Dimensionless axis plots - Academia Stack Exchange
4 dimensional plot 2 | Plots, Dimensions, Calculus
Dimensionless
10 Marvel Friendships That Were Essential To The Plot
The Family Series Cast, Plot & Where to Watch Guide - Onedio
UMVA - CITY PLOT PSG RAID: MEGA-DEAL IMMINENT!
Man United plot summer move for Nico Williams
*PREMIUM CORNER RESIDENTIAL PLOT SALE* AT 📍 *QUTUB SHAHI ENECLAVE ...
How to make one-dimensional plots of many different measurements on one ...
British Counter-Terrorism Police Arrest Eight Over Suspected London ...
Stranger Things: Tales from '85 OTT Release: Know About Plot, Cast ...
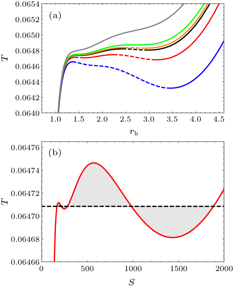
Triple points and phase transitions of D-dimensional dyonic AdS black ...
Belgaum Properties Buy/Sell | 🏡 Premium Plots for Sale in Kittur – Near ...
Residential Plots/ Lands For Sale in Global village Tech Park Road ...
Jon Kent. Trapped in a volcano “and he got through it, eventually…” The ...