Showing 120 of 120on this page. Filters & sort apply to loaded results; URL updates for sharing.120 of 120 on this page
Dimensionless Numbers | Shortcut trick to Remember | Fluid Mechanics ...
Fluid Dynamics Dimensionless Numbers at Todd Bass blog
Dimensionless Numbers Used In Fluid Mechanics - Mech4study
1 Important dimensionless numbers in multiphase flows | Download Table
CA1 Cheat Sheet: Dimensionless Numbers and Fluid Mechanics Concepts ...
Dimensionless Numbers in Fluid Mechanics
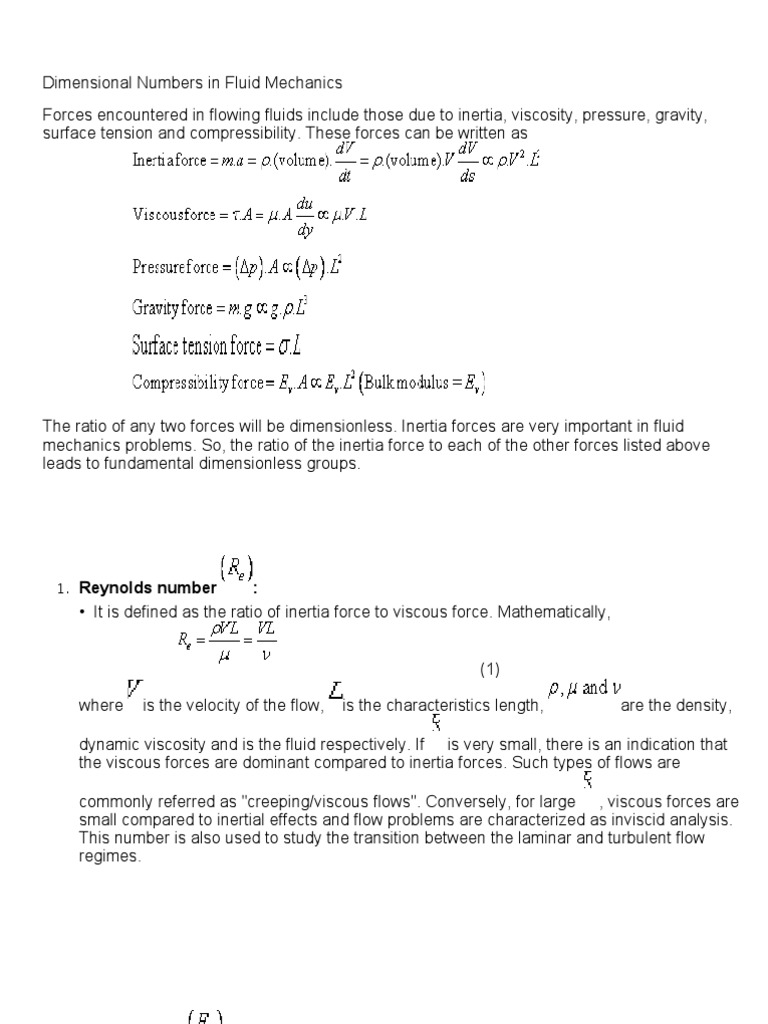
Dimensionless numbers | Types of forces in Fluid flow problems | Mach ...
Fluid Mechanics 10.3 - Common Dimensionless (Non-Dimensional) Numbers ...
Fluid Mechanics: Key Dimensionless Numbers | PDF | Heat Transfer ...
Key Dimensionless Numbers in Fluid Mechanics | PDF | Reynolds Number ...
Important Dimensionless Numbers and Their Significance | PDF | Fluid ...
Dimensionless Numbers in Fluid Mechanics | PDF | Fluid Dynamics | Viscosity
Dimensionless Numbers in Fluid Mechanics - Wikipedia | PDF | Fluid ...
Dimensionless Numbers in Fluid Mechanics | PDF | Mach Number | Force
Dimensionless Numbers in Fluid Mechanics | PDF | Reynolds Number ...
Dimensionless Numbers & Types of Forces in Fluid Mechanics Part 1 ...
Forces on Fluid | Fluid Mechanics | Dimensionless Numbers | Reynolds ...
dimensionless numbers | reynolds,weber's,mach,froude, euler's number ...
Dimensionless Numbers & Their Application.pptx | Fluid Dynamics | Mach ...
Dimensionless Numbers in Fluid Mechanics Part -2 - YouTube
Model Laws in Fluid Mechanics | Dimensionless Numbers - ExtruDesign
Dimensionless Numbers
Dimensionless Numbers in Fluid Mechanics(DIMENSIONAL ANALYSIS AND ...
Dimensionless Numbers in Fluid Mechanics: Reynolds, Mach & Froude ...
Dimensionless Numbers and their significance | Fluid Mechanics ...
Dimensionless Numbers in Fluid Mechanics & Heat Transfer
A Comprehensive Breakdown of Dimensionless Numbers Used in Fluid ...
Dimensionless Numbers | Fluid Mechanics | Mechanical Engineering - YouTube
Lecture 14 : Dimensionless Numbers - YouTube
Define Dimensionless numbers and give the significance of them -M3.06 ...
The expressions of the dimensionless numbers of fluid physics ...
Dimensionless Numbers / Fluid Mechanics Dimensional Numbers / Fluid ...
Dimensionless numbers used in flotation hydrodynamics characterization ...
Short Tricks for Dimensionless Numbers in Fluid Mechanics - YouTube
Dimensionless numbers of the boundary layers (Prandtl, Schmidt and ...
Dimensionless Numbers in Fluid Mechanics | Definition & List
Dimensionless Numbers to Characterize Fluid Flow and Mass Transfer in ...
Chemical Files: Dimensionless Numbers & their significance - 2 (Fluid ...
Solved a. In fluid mechanics, several dimensionless numbers | Chegg.com
List of the relevant dimensionless numbers for paper-based ...
Fluid mechanics - Civil engineering short notes - Dimensionless numbers ...
PPT - Important dimensionless numbers PowerPoint Presentation, free ...
dimensionless numbers in fluid mechanics /dimensionless number - YouTube
Dimensionless Numbers in Fluid Mechanics || Trick to remember ...
Dimensionless Numbers in fluid mechanics - YouTube
Fluid Mechanics Dimensionless Numbers & Models- Prototype | AKTU ...
Fluid Mechanics Dimensionless Numbers - YouTube
Dimensionless Numbers and Their Importance in Fluid Mechanics - The ...
|| DIMENSIONLESS NUMBERS || FLUID MECHANICS - YouTube
What are Dimensionless Numbers in Fluid Mechanics and their ...
Some common dimensionless and widely used numbers in chemical ...
Dimensionless
List of Dimensionless Number | PDF | Fluid Dynamics | Fluid Mechanics
Dimensionless Number Lift At Low Reynolds Number | The European
Introductory Fluid Mechanics L15 p1 - Common Dimensionless Groups - YouTube
Dimensionless Number in Heat Transfer and Fluid Mechanic - Easy to Learn
Dimension less numbers in applied fluid mechanics | PPTX
Dimensionless Number |Dimensionless Parameter | Fluid Mechanics | Easy ...
L 9 Dimensional Analysis, Dimensionless Number | Fluid Mechanics and ...
Understanding Dimensionless Parameters in Fluid Mechanics - YouTube
DIMENSIONLESS GROUPS
Flow Numbers |Dimensionless Numbers in Fluid Mechanics|Reynold, Froude ...
PPT - Understanding Forces in Fluid Mechanics & Dimensionless Groups ...
dimensionless no.-1.pptx for a heat and mass | PPTX
Dimensionless Number in Fluid mechanics || Concepts & Tricks - YouTube
Dimensionless number in Fluid mechanics,Reynolds Number,Froude Number ...
Dimensional Numbers in Fluid Mechanics | PDF | Fluid Dynamics | Viscosity
Dimensionless number | PPTX
#fluidmechanics #chemicalengineeringconcept #dimensionlessnumbers # ...
PPT - Introduction to Convection Heat Transfer in Fluid Mechanics ...
Dimensional Analysis
PPT - FINAL LECTURE of NEW MATERIAL!!! PowerPoint Presentation, free ...
PPT - Pharos University ME 259 Fluid Mechanics Lecture # 9 PowerPoint ...
PPT - Introduction to Fluid Mechanics PowerPoint Presentation, free ...
PPT - Fluid Dynamics for Brewing Fluids PowerPoint Presentation, free ...
CFD Handbook - Volupe.com
PPT - Fluid Mechanics PowerPoint Presentation, free download - ID:228719
PPT - Elementary Mechanics of Fluids PowerPoint Presentation, free ...
PPT - SUGGESTED MINIMUM KNOWLEDGE OF FLUID MECHANICS AND HEAT TRANSFER ...
Mechanical Engineering | Fluid Mechanics Short Trick to Remember ...
PPT - CONVECTION PowerPoint Presentation, free download - ID:2054279
Fluid Mechanics Lesson 12A: Nondimensionalization of the Equations of ...
#dimensionlessnumbers #fluiddynamics #heattransfer #masstransfer # ...
PPT - CE 150 Fluid Mechanics PowerPoint Presentation, free download ...
PPT - Dimensional Analysis and Similitude PowerPoint Presentation, free ...
PPT - Similitude and Dimensional Analysis PowerPoint Presentation, free ...
PPT - Exploring Fluvial Systems: Erosion, Transport, & Deposition ...
Fluid Mechanics Lesson 07A: Dimensional Analysis Introduction - YouTube
PPT - Unit 10 : Advanced Hydrogeology PowerPoint Presentation, free ...
PPT - Behavior of Powders - Outline PowerPoint Presentation, free ...
PPT - Convection: Free vs. Forced Convection Explained PowerPoint ...
PPT - Biomechanics PowerPoint Presentation, free download - ID:7095822