Showing 86 of 86on this page. Filters & sort apply to loaded results; URL updates for sharing.86 of 86 on this page
Matrix Socolor Pre-Bonded Permanent Color Digital Shade Chart and ...
Matrix socolor pre bonded permanent color digital shade chart and ...
Color Digital Matrix Background Images, HD Pictures and Wallpaper For ...
ArtStation - Color Matrix Digital art | Artworks
Color Matrix Explained | Tutorials & Guides | Blog & Knowledge | AbelCine
Digital color image matrices. | Download Scientific Diagram
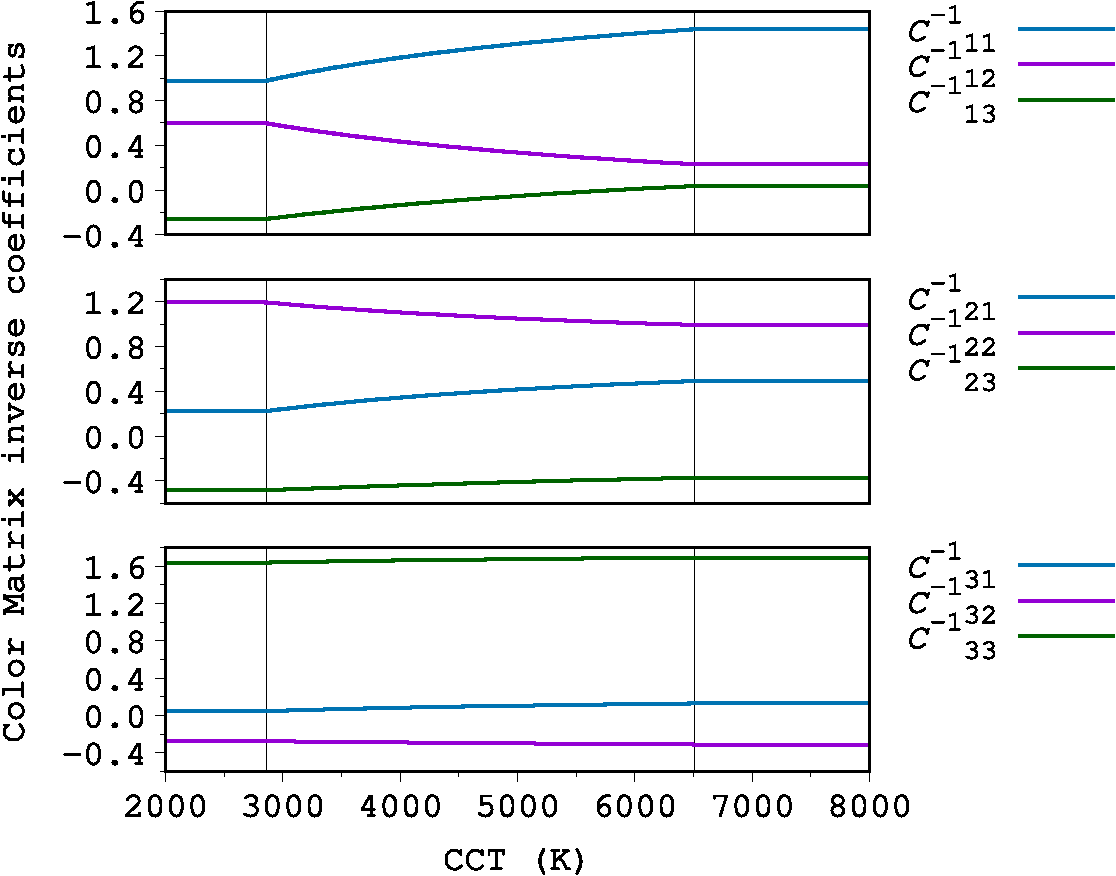
Color conversion matrices in digital cameras: a tutorial
Digital Matrix Code with rainbow colors - The image depicts a digital ...
Free Digital Light Matrix Image - Digital, Pixels, Technology ...
Matrix Color Chart Online
Color Matrix Explained at Ronald Whitehurst blog
Free Digital Matrix Glow Image - Digital, Pixels, Technology | Download ...
Premium Photo | Visualize a digital matrix with codes and symbols ...
Color Matrix Generator at Maria Baum blog
Explore a sparkling digital matrix that blends 3D code with vibrant ...
Color matrix background computer generated — Stock Photo © burmakin87 ...
Comparison Matrix Color Chart Comparison Table Matrix Template
A highresolution image of a digital matrix with bright colors and data ...
3D Matrix Color Image. | Download Scientific Diagram
Digital Color Palette, Ultimate Color Palette, Digital Download ...
Matrix color – Artofit
Matrix Color Sync Color Chart - Educational Chart Resources
Matrix Color Chart
matrix color palette
The Matrix Green Color Scheme: Symbolism, Impact & How It Was Created
Digital Permutation Matrix Overlapping Green Background, Digital ...
What Color Is The Matrix Green Screen On Canva - Infoupdate.org
Free Digital Watercolor Matrix Image - Watercolor, Digital, Matrix ...
Black and green computer digital matrix background with numbers ...
Digital matrix and pixels. | Download Scientific Diagram
Free Matrix Data Display Image - Matrix, Code, Digital | Download at ...
Digital matrix hi-res stock photography and images - Alamy
The Matrix 4K Ultra HD Digital Rain Wallpaper by QuantumCurator
Color Matrix in Android Jetpack Compose
Matrix Color Sync Color Chart Matrix Has A New Look + New SoColor
Free Digital Matrix Rain Image - Matrix, Digital, Numbers | Download at ...
Matrix Code Green Digital Abstract Background, Matrix, Program ...
Convert Photo to Matrix Color Style (Free Online & AI-Powered)
Binary code background. Digital data stream in green colors. Matrix ...
A closeup of a digital matrix with flowing data lines and bright lights ...
Digital Color Palette Vector Download
Matrix Digital Arrangement Light Effect Radial Blur Green Background ...
Abstract Geometric Shapes in a Digital Matrix of Bright Colors ...
What Color Is The Matrix Green Background In Canva - Infoupdate.org
Print Color & Digital Color - Bryant Graphics
Free Digital Light Matrix Image - Digital, Geometric, Pixels | Download ...
Digital Color | RGBMatic Color Glossary | RGBMatic
GADGETBENCH - Color Matrix Errors
DIGITAL Color Matching Guide(276 colors; DIGITAL DOWNLOAD) – Unreal ...
Free Digital Matrix Flow Image - Matrix, Cyber, Digital | Download at ...
Free Digital Matrix Flowing Image - Matrix, Code, Binary | Download at ...
Free Digital Light Matrix Image - Technology, Circuit, Digital ...
Free Glowing Digital Matrix Image - Digital, Matrix, Electronic ...
Free Digital Light Matrix Image - Pixels, Circuit, Neon | Download at ...
Rainbow digital matrix high quality high resolution | Premium AI ...
Free Neon Digital Matrix Image | Download at StockCake
Download Digital Matrix Background Wallpaper | Wallpapers.com
Premium Photo | Stylish digital matrix hologram dynamic cyan and ...
Futuristic digital matrix encrypted data and complex algorithms in ...
Matrix Color Sync Color Chart Gedangrojo
Color Sync Matrix Chart - Minimalist Chart Design
Digital stream binary code data, matrix background 23518754 Vector Art ...
Free Glowing Digital Matrix Image - Digital, Retro, Matrix | Download ...
Understanding Digital Colors: Definition, Meaning, and How They Differ ...
Understanding Categories of Digital Colors - The Official Register of ...
Enhancing Your Film's Visual Narrative: Color Grading and Color Theory ...
Create An Accessible Color Palette With 3 Free Tools
Colour-coded matrix to show the statistic compared results of each time ...
2560x1440 wallpaper | Cube, Digital, Matrix, Green, green color ...
Dynamic accessibility colour matrix with GeneratePress - SnippetClub
81,000+ Matrix Elegance Pictures