Showing 119 of 119on this page. Filters & sort apply to loaded results; URL updates for sharing.119 of 119 on this page
Supright Straddle | Stable Diffusion Online
Straddle Monorail Concept | Stable Diffusion Online
wide relaxed straddle pose Prompts | Stable Diffusion Online
concept Reverse upright straddle - , | Stable Diffusion Model - LORA ...
Long Straddle Options Strategy: Beginner's Guide | TradingBlock
The drift diffusion model as the choice rule in reinforcement learning ...
Outputs of Stable Diffusion with and without our drag-guidance ...
Diffusion - Applied Science: BTEC Level 3 National Extended Diploma
Long Straddle Strategy: Overview, Example, Uses, Trading Guide, P&L, Risks
Straddle Strategy in Options Trading | zForex
Diffusion Simple
611 Diffusion Gas Liquid Images, Stock Photos, 3D objects, & Vectors ...
Straddle diagram | PPT
What Is a Straddle Options Strategy and How To Create It
Straddle Option Strategy: Definition, Example, Chart | Britannica Money
16,930 Diffusion Liquid Images, Stock Photos & Vectors | Shutterstock
How We Trained Stable Diffusion for Less than $50k (Part 3)
What is Diffusion Models | Iguazio
Stable Diffusion Clearly Explained! - CodoRaven
Chapter 4: Understanding the Theory Behind Diffusion Models | Using ...
Diffusion Living Environment: Diffusion and Osmosis
Diffusion FAQ: The basics | Physical Lens on the Cell
Straddle là gì? Tìm hiểu ví dụ thực tế về Straddle - Đánh giá sàn Quyền ...
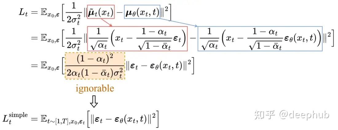
图解diffusion model:从模型角度理解stable diffusion - 知乎
Straddle Stretch. What is a straddle stretch? And how to do a straddle ...
What is the function of straddle carrier and why do you need one?
Straddle Option - What Is It, Examples, Types, How it Works?
Straddle Split: Tips From Cirque Du Soleil Artist
12.1: Diffusion with Drift - Chemistry LibreTexts
How does Stable Diffusion work?
Diffusion 和Stable Diffusion的数学和工作原理详细解释-腾讯云开发者社区-腾讯云
Long Straddle Options Strategy - What Is It, Graph, Example
The Illustrated Stable Diffusion – Jay Alammar – Visualizing machine ...
Stable Diffusion Explained. How does Stable diffusion work… | by Onkar ...
Diffusion Experiment
Diffusion 和Stable Diffusion的数学和工作原理详细解释 - 知乎
Exploring the Process of Diffusion in Cell: A Comprehensive Diagram
Example Of Diffusion Diffusion Vs Osmosis Differences Explained
Straddle Corto | Estrategias | Opción Delta
Diffusion - Definition, Examples, Types, Factors effecting & Causes
Diffusion: Passive Transport and Facilitated Diffusion
Option Straddle Strategy | Options Straddle Strategy Explained – MUCMV
Visualization of the cross-attention of Stable Diffusion and our ...
Diffusion and Effusion — Definition & Overview - Expii
Diffusion of Innovations - What Is It, Examples, Elements, Stages
Stable Diffusion 超详细讲解-CSDN博客
What Is Drift Diffusion Model - Catalog Library
The drift diffusion model and its key parameters, illustrated for a ...
What is a Stable Diffusion Model and Why is it a Step Forward for Image ...
How to Train Stable Diffusion to Get the Highest Quality Results ...
Diffusion Elites + World Models: surprisingly good, simple and ...
Straddle – Meaning, Types, Example and More|eFM
Best PC for Creating AI & Stable Diffusion Art (Offline)
Exploring the Capabilities of Stable Diffusion 3
Diffusion Equilibrium - Biology Simple
一文读懂Stable Diffusion 论文原理+代码超详细解读 - 知乎
Straddle Strategy - Types, Examples & How it Works?
What is the difference between Drift Current and Diffusion Current?
Beginners Guide to How Stable Diffusion Works (Illustrative)
Everything you need to know about stable diffusion :: Päpper's Machine ...
Streaming flag. Diffusion patterns in a streaming flag.... | Download ...
十分钟读懂Stable Diffusion - 知乎
Diffusion Model, Stable Diffusion, Stable Diffusion XL 详解_diffusion ...
40 Best Stable Diffusion Architecture Prompts - DC
Short Straddle - An Option Trading Strategy
Diffusion 和Stable Diffusion的数学和工作原理详细解释-CSDN博客
How and why stable diffusion works for text to image generation :: Read ...
Description of small intestine.pptx
Diffusion: Definition and How Does it Occur (with Diagram)
Straddle: Definition, How it Works, Advantage, and Disadvantages
Transport - Definition and Examples - Biology Online Dictionary
What Is Options Straddle: Maximizing Trading Profits - Phemex Academy
Stable Diffusion简介 - 知乎
Straddle: Definition, How it Works, Advantage, and Disadvantages 12
深入浅出解读Diffusion:Mid-Journey,DALL.E,Stable diffusion的内核模型 - 知乎
What is a Straddle? - 2019 - Robinhood
What is Stable Diffusion? A Complete Guide on How to Run, Copyright ...
iPhone上两秒出图,最快移动端Stable Diffusion模型来了!-CSDN博客
Channel Protein Diagram
Stradle Option Explained (2023): Complete Investor's Guide
通俗理解Stable Diffusion原理 - 知乎
十分钟读懂Stable Diffusion运行原理-腾讯云开发者社区-腾讯云
Exercises - Trainwell
Straddles
Passive transport of substance via plasma membrane (diffusion ...
Three Forms Of Transport Across The Membrane - Free Word Template
Stable Diffusion과 생성모델의 혁신
AI绘画必看,一次弄懂所有技术名词 | Stable Diffusion、Midjourney、Dall-E 、Lora、ControlNet ...
Cell osmosis Cut Out Stock Images & Pictures - Alamy
2024年了diffusion还有什么可做的? - 知乎
【Stable Diffusion】之原理篇 - 知乎
How to Trade News in Forex | News Affecting Forex Market | IFCM Canada
Stable Diffusion: A Comprehensive End-to-End Guide with Examples | by ...
Stable Diffusion原理详解 - 知乎
你用Stable Diffusion画出过哪些让你惊艳的图? - 知乎
万字干货!超全面的Stable Diffusion学习指南:模型篇 - 知乎