Showing 120 of 120on this page. Filters & sort apply to loaded results; URL updates for sharing.120 of 120 on this page
Calculus Problems Derivatives Implicit Differentiation Examples - YouTube
Calculus: Differentiation Practice Problems - YouTube
SOLUTION: Differentiation Formulas and Solved Practice Problems - Studypool
Implicit Differentiation | 10 Practice Problems | Calculus 1 - YouTube
Solved DIFFERENTIATION-PRACTICE PROBLEMS Differentiation of | Chegg.com
Calculus Differentiation Practice Problems & Solutions
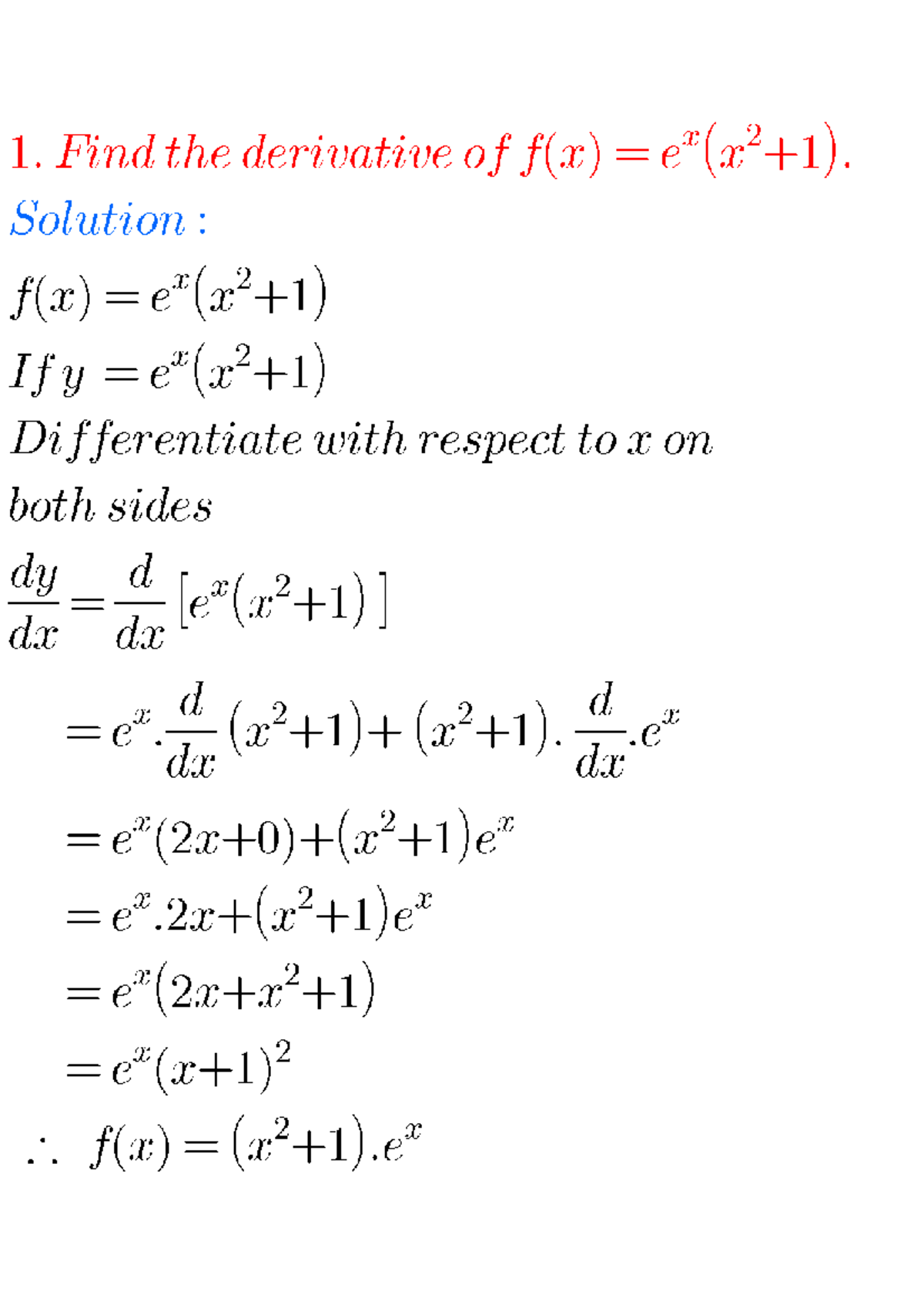
Differentiation Problems | PDF
Solved For problems 1−6 use logarithmic differentiation to | Chegg.com
Calculus Differentiation Problems and Applications | Course Hero
SOLUTION: Differentiation rules sample problems - Studypool
Solved: Activity: Create and Solve 3 Differentiation Problems using the ...
Solved In each of Problems 1-8, use the differentiation | Chegg.com
Solving Differentiation Problems Step by Step
Solving Problems using Differentiation - Corbettmaths - YouTube
Differentiation Formulas Explained with Examples | Calculus Basics ...
Differentiation techniques - Formula, Solved Example Problems, Exercise ...
Differentiation and the derivative - Midterm Review Project
Exercise 5.9: Successive differentiation - Problem Questions with ...
Differentiation Rules Differentiation: Basic Rules And Techniques
Differentiation practice questions - 1 Differentiation Find the ...
A level Maths DIFFERENTIATION Rules (Edexcel) | Teaching Resources
Differentiation questions (With detailed solutions) | MITIHANI POPOTE
Differentiation Rules
Differentiation and Applications - MATH100 Revision Exercises ...
Differentiation all formula | Study flashcards, Math tutorials, Math notes
Solved PRACTICE PROBLEMS IN CALCULUSFind the first | Chegg.com
Differentiation
Differentiation Formulas & Rules - Basic,Trig - Full list - Teachoo
Differentiation Questions and Answers - My Maths Guy
Calculus: Rules of Differentiation - YouTube
SOLUTION: CALCULUS - Differentiation formulas with examples - Studypool
Differentiation Formulas Differentiate A Function With Step By Step
Differential Calculus Problems With Solutions - Limits | PDF | Area ...
Differentiation Calculus Examples
Calculus Problems Derivatives Basic Rules - YouTube
Differentiation Rules | Class 12 | How to Solve Differentiation ...
Calculus - Rules of Differentiation - YouTube
Differentiation Worksheet | Download Free PDF | Tangent | Derivative
Calculus Differentiation Rules | PDF | Trigonometric Functions ...
Differentiation Rules [ Derivatives ] - Differential Calculus 1 Lecture ...
Calculus Worksheets | Differentiation Rules for Calculus Worksheets
Differentiation Formulas
Solved 62-139/140 Differential Calculus Practice Problems 1. | Chegg.com
Differentiation formulas – Artofit
Differentiation Formulas | GeeksforGeeks
Find the Derivative Using All 4 Rules: Calculus Differentiation Worksheet
Calculus Worksheets | Differentiation Rules Worksheets
Practice Problems (Calculus) | PDF | Function (Mathematics) | Maxima ...
SOLUTION: Calculus four step rule differentiation formulas exercises ...
SOLUTION: Differentiation solved examples with formulas part 1 - Studypool
Calculus lesson 2 part 2 - Differentiation practice questions - YouTube
Differentiation 1 | PDF | Mathematical Analysis | Calculus
Exercise 5.5: General rules for differentiation - Problem Questions ...
Differentiation of basic functions using Power Rule and Chain Rule ...
Differentiation Rules calculus with examples - YouTube
Differentiation || Problem of derivatives || Basic 11th class ...
Differentiation Problem Sheet Differentiate the following functions ...
Differential Calculus Problems
Differentiation Formulas Applied Maths at Priscilla Roberts blog
Calculus - Differentiation Formulas | PDF | Derivative | Algebra
Calculus I - Differentiation Formulas (Practice Problems) - - Studocu
Solve Calculus Problems Step-by-Step Online | Mathz AI Guide | Mathz AI
Differential Equation Problems 3 | PDF | Differential Equations | Equations
Differential Calculus Solved Problems | PDF | Curvature | Derivative
SOLUTION: Differentiation solved examples with formulas part 3 - Studypool
SOLUTION: Numerical differentiation with examples - Studypool
Differentiation Theorem in Maths: Concepts & Examples
SOLUTION: Differential calculus formulas sample problems and answers 1 ...
Solved In Problem 68, use logarithmic differentiation to | Chegg.com
Basic Calculus - Differentiation Rules Worksheet WITH Answer - Science ...
SOLUTION: Simplified differential calculus solved problems with step by ...
Basic Differentiation Rules Calculus | PDF | Elementary Mathematics ...
Calculus Differentiation - Higher order Derivatives - 5 Example ...
Differentiation - Intermediate mathamatics - Mathematics - Studocu
SOLUTION: Differentiation with solved examples and formulae - Studypool
Exercise 10.3: Examples on Chain Rule (Differentiation Rules) - Problem ...
Differential Calculus With Examples at Kenneth Kane blog
Differential calculus tutorial for beginners - verevan
Differential Equations
Calculus: Differentiation: Examples - Derivative of Algebraic functions ...
Differential Calculus - Terms, Formulas, Rules, Examples
This first part of a two part tutorial covers the concept of limits ...
Ap Calculus Derivatives Practice Worksheet
Calculus: Derivative Practice - Worksheets Library
4 Ways to Solve Differential Equations - wikiHow
Mastering Differential Calculus: A Comprehensive Guide
PPT - DIFFERENTIAL CALCULUS PowerPoint Presentation, free download - ID ...
Differential Calculus (Formulas and Examples)
Solved Problem 4: Basics of Calculus, Ordinary Differential | Chegg.com
Mathematics - Differential Calculus Formula Sheet Differential Calculus ...
Image
Differential Calculus Grade 12 Questions And Answers Pdf - John Howard ...
Exercise 10.2: Derivatives of basic elementary functions ...
Differential Equations - MATH100 Revision Exercises - Resources ...
Differential Calculus Problem Set | Download Free PDF | Derivative ...
Calculus 4 - CALCULUS EXERCISES 4 – Differential Equations 1 the ...
Differential Formulas List at Andrea Delreal blog
Differential Calculus Examples With Solutions at Ron Gerald blog
Exercise 5.4: Derivatives - Problem Questions with Answer, Solution ...
Basic Calculus Exercises at Claire Ryder blog
Basic Calculus Examples at Kenneth Mcgray blog
Khan Academy
Differential Calculus: A Basic Guide - Calculus Help
Solved Problem 1 Solve the following basic calculus | Chegg.com